几乎每个RF和微波系统都需要频率合成器。频率合成器产生本振信号以驱动混频器、调制器、解调器及其他许多RF和微
2017-12-07 07:11:00
8835 
本文介绍的富士通公司生产的MBl5U36是一种高性能的双环集成锁相环频率合成器,芯片内集成了锁相频率合成器的多种重要部件,使用时只需再合理搭配上一或二块集成电路和少量的外围电路,即可构成一个完整且可靠性很高的频率合成器,该电路的设计简单,应用灵活,且能减小系统体积。
2021-06-11 16:46:01
5352 
10MHz锁相频率合成器拿Simulink怎么画?谁能把画出来的图给我看下我只知道基本需要环路滤波器,鉴相器和压控震荡器电路。而且不知道10MHz怎么搞
2014-04-05 20:27:29
满器加上—共其他使用反馈的电路来产生完美的正弦波。2、锁相环正如以前提到的,在电子系统中的反馈只是感觉某些器件的输出,如果输出不正确,就改变它的输入使它正常。这是合成器工作的基本原理,通过感应振荡器
2017-12-06 14:06:07
频率合成器的主要性能指标锁相环频率合成器原理锁相环频率合成器捕捉过程的分析与仿真
2021-04-22 06:27:35
;gt;图2为移动通信909~915 MHz频率合成器的设计电路,其中压控振荡器输出的频率通过双模预分频器MC12054A预分频,再输出到可编程并行输入锁相环MC145152中,单片机AT89C51
2010-03-16 10:59:24
BU2614锁相频率合成器参数资料下载内容主要介绍了:BU2614外观图BU2614引脚功能BU2614内部方框图BU2614特点BU2614极限参数BU2614频率锁定控制方框图
2021-03-29 08:05:09
`MTI品牌频率合成器产品介绍MTI锁相环询价热线MTI锁相环现货MTI锁相环代理王先生*** 深圳市首质诚科技有限公司,MTI-Milliren Technologies Inc将其石英振荡器性能
2019-06-23 17:07:53
锁相环具有较好的低通特性,从而可以消除小数分频杂散。 图7为新的频率合成器的原理框图。图中每个累加器的输出和下一个累加器的输入相接,累加器的溢出可以控制分频比。为了减小剩余相位抖动,需合理控制分频比
2012-08-02 11:08:55
合成器的主要部件如参考分频器、程序分频器、鉴相器、锁定指示器、甚至微处理器等集成在同一芯片上。再配上参考振荡器、压控振荡器、环路滤波器及高速前置分频器,即可构成完整的频率合成器。这使得频率合成器的成本
2019-06-20 06:28:27
介绍了锁相环路的基本原理,分析了集成锁相环芯片ADF4106的工作特性,给出了集成锁相环芯片ADF4106的一个应用实例,为高频频率合成器的设计提供了很好的思路。 关键词:ADF4106,锁相环,频率合成器,环路滤波器
2019-07-04 07:01:10
FPGA威廉希尔官方网站
、锁相环威廉希尔官方网站
、频率合成威廉希尔官方网站
,设计出了一个整数/半整数频率合成器,能够方便地应用于锁相环教学中,有一定的实用价值。
2019-06-25 06:36:13
频率合成器是利用一个或多个基准频率,通过各种威廉希尔官方网站
途径产生一系列的离散频率信号的设备。这些频率的稳定度和精度均和基准频率相同,而且频率的转换时间很短,这样才会有效率和实用价值。 频率合成器的实现
2019-08-19 19:18:00
问:什么是PLL频率合成器?
2019-09-17 19:00:51
(DS)、锁相环频率合成威廉希尔官方网站
(PLL)、直接数字频率合成威廉希尔官方网站
(DDS)、混合频率合成威廉希尔官方网站
四种实现方式,其中锁相环频率合成器是射频电路中最常使用的一种结构,相比于其他几种结构,PLL结构能够在有限的功耗限制
2018-09-06 14:32:13
直接数字频率合成(DDS)在过去十年受到了频率合成器设计工程师极大的欢迎,它被认为是一种具有低相位噪声和优良杂散性能的灵活的频率源,基于DDS的频率合成器在许多应用中能比基于锁相环(PLL)频率
2019-07-08 07:26:17
基于单片机和锁相环MC14046频率合成器的设计,要求是产生频率在1MHZ左右,求大家指点。
2012-04-11 14:01:59
本文设计了一种多环锁相频率合成器。多环锁相环路有直接数字频率合成(DDS)环路和锁相频率合成环路(PLL)组成。充分利用两个不同环路的优点,既保证了高的输出频率,又得到了较高的频率分辨率。【关键词
2010-05-13 09:09:53
。本文结合FPGA威廉希尔官方网站
、锁相环威廉希尔官方网站
、频率合成威廉希尔官方网站
,设计出了一个整数/半整数频率合成器,能够方便地应用于锁相环教学中,有一定的实用价值。那么有谁知道具体该如何利用FPGA设计PLL频率合成器吗?
2019-07-30 07:55:22
PLL应用中颇具价值的注意事项和使用技巧基于锁相环(PLL)威廉希尔官方网站
的频率合成器
2021-05-12 06:59:03
锁相环频率合成器是什么原理?基于CD4046的锁相环频率合成器的设计
2021-04-12 06:28:35
提供大量精确且能迅速转换的载波信号和本振信号,完全满足现代通信的需要。其中锁相频率合成器具有工作频带宽、工作频率高、频谱质量好、方案简单、造价低等优点,在目前现有的频率合成方法中应用最为广泛。
2019-08-22 07:55:34
要满足苛刻的频率合成器要求,通常需要做到一定程度的设计灵活性。基本的锁相环(PLL)频率合成器能以低成本、高空间效率、低功耗封装提供合理的频谱纯度和频率捷变,因此它在射频(RF)系统核心位置发挥作用
2019-07-08 06:10:06
提供大量精确且能迅速转换的载波信号和本振信号,完全满足现代通信的需要。其中锁相频率合成器具有工作频带宽、工作频率高、频谱质量好、方案简单、造价低等优点,在目前现有的频率合成方法中应用最为广泛。
2019-08-06 06:55:11
驱动高压锁相环频率合成器电路的VCO
2021-01-11 06:02:04
介绍了锁相频率合成器BU2614的结构、特性及控制方式。着重讨论了BU2614与单片机结合在收音机和集成压控振荡器中的应用。
Abstract:The composition、characteristic and control ways
2008-04-05 22:25:03
101 锁相频率合成威廉希尔官方网站
是在通讯领域中应用非常广泛的一项威廉希尔官方网站
近些年开始应用在单片机中作为片内时钟本文介绍了单片机内锁相频率合成器的一般原理并以单片机中的模块为例说
2009-04-22 15:51:50
47
锁相环频率合成器:相位噪声问题和宽带循环:
In this chapter we locate the context of this thesis by introducing
2009-07-25 17:18:33
0
文章分析了小数分频频率合成器中存在的相位杂散的问题,介绍了采用Σ — Δ 调
制威廉希尔官方网站
的小数频率合成器。详细介绍了Σ — Δ 调制频率合成器的原
2009-08-19 11:00:37
12 1.3GHz双通道频率合成器:是一款双通道频率合成器,工作频率可达1.3GHz, 工作电压范围2.2V-5.5V。 包括两个双模前置分频器,三个可编程分频器,两个鉴相器, 两个电流可调电荷泵,
2009-09-02 16:29:55
15 锁相环频率合成器(Motorola集成电路应用威廉希尔官方网站
丛书):锁相环路设计基础,鉴相器,压控振荡器,程序分频器,前置分频器,单片集成锁相环路等内容。
2009-09-05 08:20:52
0 本文讨论了DDS+PLL 结构频率合成器硬件电路设计中需要考虑的几方面问题并给出了设计原则,依此原则我们设计了一套短波波段频率合成器,实验结果证实了其可行性。
2009-09-07 16:07:29
34
三环锁相频率合成器
2008-04-21 14:30:43
2076 
图6-30是一个用MC145106构成的单环锁相频率合成器,作为民用电台的发射机主振和接收机第一、第二本振。
2008-04-21 14:37:15
1346 
双环锁相频率合成器
2008-04-21 14:38:36
1088 
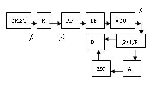
图6-32是用MC145152构成的前置双模分频的锁相频率合成器,用于航
2008-04-21 14:40:17
2098 
介绍了锁相环路的基本原理,分析了集成锁相环芯片ADF4106的工作特性,给出了集成锁相环芯片ADF4106的一个应用实例,为高频频率合成器的设计提供了很好的思路。
2009-05-05 19:57:57
2585 
用AD9850激励的锁相环频率合成器
提出了一种DDS和PLL相结合的频率合成方案,介绍了DDS芯片AD9850的基本工作原理、性能特点及引脚功能,给出了以AD9850作
2009-12-08 15:27:31
1557 
频率合成器,频率合成器原理及作用是什么?
所谓的频率合成器,就是以一个精确度、稳定度极好的石英晶体振荡器作为基准频率,并利用加、减
2010-03-23 11:04:54
14601 什么是直接式频率合成器(DS)
频率合成的历史
频率合成器被人们喻为众多电子系统的“心脏”。现代战
2010-03-23 11:23:38
1607 间接式频率合成器(IS)的定义和原理是什么?
频率合成的历史 频率合成器被人们喻为众多电子系统的“心脏”。现代战争是
2010-03-23 11:31:41
2157 单环锁相频率合成器,单环锁相频率合成器是什么意思
频率合成的历史
频率合成器被人们喻为众多电子系统的“心脏”。现代战争是
2010-03-23 11:36:28
883 变模分频锁相频率合成器是什么意思
频率合成的历史
频率合成器被人们喻为众多电子系统的“心脏”。现代战争是争夺电子频谱控
2010-03-23 11:41:23
1384 集成锁相环频率合成器,什么是集成锁相环频率合成器
频率合成的历史
频率合成器被人们喻为众多电子系统
2010-03-23 11:45:44
770 单片机控制的ADF4106锁相频率合成器设计
本文提出了一种基于单片机AT89C2051控制的、利用锁相威廉希尔官方网站
、以ADI公司生产的频率合成器芯片AD4106为核心,来
2010-05-06 10:38:47
2982 
对体积、速度和省电的更进一步的要求推动了频率合成器威廉希尔官方网站
的发展。目前频率合成器的一个明显趋势是集成了越来越多的微型锁相环(PLL)/压控振荡器(VCO)元件。过去在PCB上的多个元
2010-05-28 11:11:31
1858 频率合成器可以提供大量精确、稳定的频率作为无线通信设备的本振信号。简要介绍了锁相环频率合成器的基本原理,并利用整数N锁相芯片ADF4112设计了一个宽波段的频率合成器。讨论
2011-05-03 18:20:24
101 频率合成器作为无线收发器中的核心单元电路是决定收发器性能好坏的关键因素也是实现全集成无线收发器的主要难点。本书书名:锁相环 频率合成器 ,作者:张厥盛,发行地:电子工业
2011-07-10 11:19:43
0 叙述了MC14046 芯片的主要特点和功能,分析了用锁相环构成频率合成器的工作原理,介绍了一种用MC14046 构成的新型频率合成器。
2011-09-14 17:58:15
169 论述了锁相环频率合成器中的几个重要的性能指标:相位噪声,参考杂散和锁定时间,并给出了几条常用的设计准则。最后采用一种优化结构来改进频率合成器的性能,仿真结果证实了这种优
2011-09-14 17:59:23
117 摘 要:结合数字式频率合成器(DDs)和集成锁相环(PLL)各自的优点,研制并设计了以DDS芯片AD9954和集成锁相芯片ADF4113构成的高分辨率、低杂散、宽频段频率合成器,并对该频率合成器
2012-06-25 13:53:59
2540 
为得到性能优良、符合实际工程的锁相环频率合成器,提出了一种以ADI的仿真工具ADIsimPLL为基础,运用ADS(Advanced Design System 2009)软件的快速设计方法。采用此方法设计了频率输出为
2013-01-10 16:50:36
81 为了满足宽频段、细步进频率综合器的工程需求,对基于多环锁相的频率合成器进行了分析和研究。在对比传统单环锁相威廉希尔官方网站
基础上,介绍了采用DDS+PLL多环威廉希尔官方网站
实现宽带细步进频综,输
2013-04-27 16:26:51
48 本文首先介绍专用集成锁相频率合成器芯片MC145152-2的结构特点和应用原理,然后介绍吞脉冲程序分频器 原理,最后详细讨论用MC145152-2和MC12017构成吞脉冲锁相频率合成器电路的设计方法。
2016-10-25 18:27:59
29 单片机(Microcontrollers)学习,MC145163P型锁相频率合成器的原理与应用,感兴趣的小伙伴可以瞧一瞧。
2016-11-03 15:15:39
0 结合数字式频率合成器(DDs)和集成锁相环(PLL)各自的优点,研制并设计了以DDS芯片AD9954和集成锁相芯片ADF4113构成的高分 辨率、低杂散、宽频段频率合成器,并对该频率合成器进行了分析
2017-10-27 17:54:21
8 EngineerIt-锁相环合成器的噪音探讨
2018-08-23 01:21:00
3886 
频率合成器主要有直接式、锁相式、直接数字式和混合式4种。目前,锁相式和数字式容易实现系列化、小型化、模块化和工程化,性能也越来越好,已逐步成为最为典型和广泛的应用频率合成器[1]。本文主要采用集成锁相环PLLphase-Lockde Loop芯片CD4046,运用FPGA来实现PLL频率合成器。
2019-01-07 09:52:00
3077 
PLL频率合成器和ADIsimFrequencyPlanner
2019-07-01 06:12:00
3764 几乎每个RF和微波系统都需要频率合成器。频率合成器产生本振信号以驱动混频器、调制器、解调器及其他许多RF和。频率合成器常被视为系统的心跳,创建方法之一是使用锁相环(PLL)频率合成器。传统
2020-10-15 10:43:00
8 CN-0369:低相位噪声的转换锁相环频率合成器
2021-03-20 13:21:15
5 锁相环合成器
2021-04-12 21:15:36
9 UG-369:ADF4151锁相环频率合成器评估板
2021-04-19 20:14:47
6 UG-802:用于锁相环的ADF5355频率合成器评估
2021-04-25 12:23:05
3 UG-873:评估ADF4355-3小数/整数N锁相环频率合成器
2021-04-28 14:35:35
5 UG-804:评估ADF4355-2小数/整数N锁相环频率合成器
2021-05-10 08:26:33
8 UG-383:用于锁相环的ADF4159频率合成器评估
2021-05-10 13:26:06
1 UG-485:ADF4153A小数N锁相环频率合成器评估板
2021-05-16 13:22:43
8 UG-1087:用于锁相环的ADF5356频率合成器评估
2021-05-17 09:38:07
4 ADF4217:双射频锁相环频率合成器过时数据表
2021-05-17 11:55:55
2 本文介绍的富士通公司生产的MBl5U36是一种高性能的双环集成锁相环频率合成器,芯片内集成了锁相频率合成器的多种重要部件,使用时只需再合理搭配上一或二块集成电路和少量的外围电路,即可构成一个完整且可靠性很高的频率合成器,该电路的设计简单,应用灵活,且能减小系统体积。
2021-05-22 11:22:50
2389 
UG-389:ADF4xxx锁相环频率合成器的USB转并行转接板
2021-05-24 11:46:02
6 UG-686:ADF4155锁相环频率合成器评估板
2021-05-25 16:46:51
4 所设计的频率合成器,要求相位噪声低,输出频率800~1 000 MHz,共88个波道,通过单片机发送的频率控制字进行波道选择。在对比各种大规模集成频率合成芯片性能的基础上,选用了单片大规模集成锁相环频率合成芯片PE3236作为核心电路,构成锁相式频率合成器。
2021-05-28 10:30:08
4153 
图1所示电路框图是一个低相位噪声转换环路频率合成器(也称为偏移环路)。此电路将ADF4002 锁相环 (PLL) 的较低100 MHz参考频率转换到5.0 GHz至5.4 GHz的较高频率范围
2021-05-29 08:17:44
20 ADF4150HV锁相环频率合成器UG-406评估板
2021-06-03 11:16:33
7 结合数字式频率合成器(DDs)和集成锁相环(PLL)各自的优点,研制并设计了以DDS芯片AD9954和集成锁相芯片ADF4113构成的高分辨率、低杂散、宽频段频率合成器,并对该频率合成器进行了分析
2021-06-08 14:07:08
3050 
锁相环合成器
2021-06-16 19:30:38
11 pll频率合成器工作原理与pll频率合成器的原理图解释 我们要搞清楚pll频率合成器工作原理与pll频率合成器的原理图就要先搞清楚pll和频率合成器的概念。 频率合成器:将一个高稳定度和高精度的标准
2023-02-24 18:19:52
8275 
锁相环频率合成器的优缺点 锁相环频率合成器,又称为PLL(Phase Locked Loop),是一种广泛应用的电路,能够将输入信号的频率合成为电路所需要的频率,并且能够实现对信号的相位和频率
2023-09-02 14:59:33
1216 如何调试锁相环频率合成器? 锁相环频率合成器(PLL)是电路中常见的一个模块,用于生成稳定的高精度频率信号。PLL的核心部分是相位检测器和环路滤波器,其主要工作原理是通过不断调整反馈回来的参考信号
2023-09-02 15:06:37
504 电子发烧友网站提供《基于ADF4111的锁相环频率合成器设计.pdf》资料免费下载
2023-10-20 14:45:29
0 频率合成器和锁相环是两种常见的电子设备,用于生成稳定的频率信号。尽管它们的功能都是产生特定频率的信号,但它们在工作原理和应用方面有着明显的区别。
2024-02-27 18:22:59
840
评论