您的位置:电子发烧友网 > 电子威廉希尔官方网站 应用 > 电子威廉希尔官方网站 > 控制威廉希尔官方网站 >
无刷直流电机的保护电路方案
2012年03月28日 14:45 来源:本站整理 作者:灰色天空 我要评论(0)
本文给出几种电机的保护方案,它不仅响应速度快,控制可靠,而且大大地降低了保护装置的生产成本。该保护电路与传统的保护电路相比,省去了热继电器、交流接触器等保护装置的能耗,与电机为一体。经测试验证,效果良好。
1 电流检测原理
要实现过流保护,首要的任务是检测电机的电流。通常有2种检测电流的方法:
(1)小阻值无感采样电阻。通常采用康铜丝或者贴片件,这是一种廉价的方案,但是要注意采样电阻阻值的选取,功率要足够大,同时电阻的电感要小,以排除感抗在电阻两端引起的电压降。
(2)霍尔电流传感器。适合驱动开发,采用LEM公司的LA28-NP霍尔电流传感器的电流测量,它的优点是精度高,可靠性高。
在电流采样的位置上也有2种方法可以选择:
(1)相电流采样。将采样电阻或者霍尔电流传感器置于每一相,假设三相电流分别为ia,ib和ic,又因为无刷电机的三相电流有如下关系:ia+ib+ic=0,所以只要检测出无刷电机中两相电流就可以得到另一相的电流信息。
(2)母线电流采样。一般是将采样电阻或者电力传感器置于母线负侧进行电流采样。
下面介绍一种基于LEM霍尔电流传感器采样母线电流的方法,该方法精度高,可靠性高。
将霍尔传感器LA28置于母线负侧到地之间进行电流检测,LA28将检测到的初级电流按1 000:1的比例进行缩小,得到次级电流,次级电流经过I/V电路之后转化为方便A/D(模/数转换模块)采集的电压量,但是I/V输出的电压信号含有丰富的PWM斩波的高次谐波分量,所以如果直接送单片机的A/D口,会检测不到电压信息,因此需要加信号调理电路,即将I/V电路得到的电压送入巴特沃思(Butterworth)二阶低通滤波器进行低通滤波。经过低通滤波之后可以将高次谐波分量滤除,进而得到直流分量,同时为了便于A/D口采集,将滤波后的小电压信号进行比例放大,之后送入A/D口进行检测。这个硬件电路示意图如图1所示。

I/V电路如图2所示。

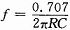
图3给出了二阶低通滤波器的设计方法。实际设计时,使R1=R2,C1=2C2,可以实现-40 dB/10倍频的频率响应。其截至频率的计算公式为:
在实际电路中电阻电容取值为R=100 kΩ,C=1μF,截至频率f=1.126 Hz,从而将方波电压信号的中高次谐波分量滤除,进而得到平稳的直流分量。

本文导航
- 第 1 页:无刷直流电机的保护电路方案(1)
- 第 2 页:同相和反向比例电路
- 第 3 页:单片机固件软件级过流保护
标签:





