运放平衡电阻解析
2017年11月13日 10:49 网络整理 作者: 用户评论(0)
运放输入端所接电阻要平衡,目的是使集成运放两输入端的对地直流电阻相等,运放的偏置电流不会产生附加的失调电压。 但有些电路对失调电压要求并不高,例如交流音频放大器。有些运放偏置电流很小,即使输入端电阻不平衡也不会对失调电压产生什么影响,这些电路就可以不要求 输入端电阻平衡。
以反相放大器来说明平衡电阻的作用。如图所示。

若运放为理想运放,输入为0时,则:

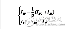
但实际运放有失调电压(VIO),失调电流(IIO),输入偏置电流(IIB)。依据失调电流,输入偏置电流的定义,有:

解方程组,得:

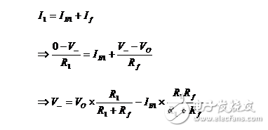
在反相端用KCL,有:

考虑到失调电压,实际反相端电压为:

而:

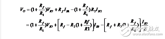
将所有参数代入,解得:

当R2=R1//Rf时,

此时由输入偏置电流IIB产生的失调电压为0。
运放输入端所接电阻要平衡,目的是使运放的偏置电流不会产生附加的失调电压。但有些电路对失调电压要求并不高。例如交流音频放大器,有些运放偏置电流 很小,即使输入端电阻不平衡也不会对失调电压产生什么影响,这些电路就可以不要求输入端电阻平衡。尤其是现在基于CMOS工艺的运放,输入偏置电流都是几 个pA,加不加平衡电阻的影响就微乎其微了。
非常好我支持^.^
(1447) 97.8%
不好我反对
(33) 2.2%
相关阅读:
- [电子说] 模拟直流电流表的基本要素 2023-10-24
- [电子说] 如何识别变压器引线 2023-10-24
- [电子说] 关于三极管的问题解答 2023-10-24
- [电子说] 功率模块内部门极电阻的作用 2023-10-24
- [电子说] 已经有电阻了,为何还要有电导? 2023-10-24
- [工业控制] 电机控制器生产工艺流程详解 2023-10-24
- [电子说] 为什么电路端接电阻能改善信号完整性? 2023-10-24
- [电子说] 怎样使用P型三极管实现反向、同相输出? 2023-10-24
( 发表人:龚婷 )
