光检测器的工作原理是什么?
光检测器的工作原理是什么?
(1)PN结的光电效应光电二极管(PD)是一个工作在反向偏压下的PN结二极管,如下图。由光电二极管作成的光检测器的核心是PN结的光电效应。
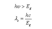
当PN结加反向偏压时,外加电场方向与PN结的内建电场方向一致,势垒加强,在PN结界面附近载流子基本上耗尽形成耗尽区。当光束入射到PN结上,且光子能量hv大于半导体材料的带隙Eg时,价带上的电子吸收光子能量跃迁到导带上,形成一个电子—空穴对。
在耗尽区,在内建电场的作用下电子向N区漂移,空穴向P区漂移,如果PN结外电路构成回路,就会形成光电流。当入射光功率变化时,光电流也随之线性变化,从而把光信号转换成电信号。当入射光子能量小于Eg时,不论入射光有多强,光电效应也不会发生,即产生光电效应必须满足:
λc为产生光电效应的入射光的最大波长,称为截止波长。
以Si为材料的光电二极管,λc=1.06μm;以Ge为材料的光电二极管,λc=1.60μm。
利用光电效应可以制造出简单的PN结光电二极管。但这种光电二极管结构简单,无法降低暗电流和提高响应度,器件的稳定度也比较差,实际上不适合做光纤通信的检测器。
(2)PIN光电二极管
1)PIN光电二极管的结构
PIN光电二极管是在掺杂浓度很高的P型、N型半导体之间,生成一层掺杂极低的本征材料,称为I层。在外加反向偏置电压作用下,I层中形成很宽的耗尽层。结构如图1所示。
由于I层吸收系数很小,入射光可以很容易地进入材料内部被充分吸收而产生大量的电子—空穴对,因此大幅度提高了光电转换效率。另外,I层两侧的P层、N层很薄,光生载流子的漂移时间很短,大大提高了器件的响应速度。
检测某波长的光时要选择合适材料作成的光检测器。
首先,材料的带隙决定了截止波长要大于被检测的光波波长,否则材料对光透明,不能进行光电转换。
其次,材料的吸收系数不能太大,以免降低光电转换效率。
Si―PIN光电二极管的波长响应范围为0.5~1μm。Ge―PIN和InGaAs―PIN光电二极管的波长响应范围约为1~1.7μm。
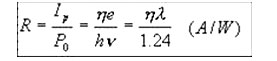
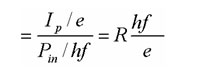
2)响应度
响应度是描述光检测器能量转换效率的一个参量。它定义为:
其中,P0为入射到光电二极管上的光功率;Ip为所产生的光电流。它的单位为A/W。
3)量子效率
量子效率表示入射光子转换为光电子的效率。它定义为单位时间内产生的光电子数与入射光子数之比,即:
η=(光电转换产生的有效电子-空穴对数)/入射光子数
其中,e为电子电荷,其值为1.6×10-19 C。所以有:
式中,λ单位取μm。可见,光电检测器的响应度随波长的增大而增大。
图2为PIN光电二极管的响应度、量子效率与波长的关系。可以看出,响应度、量子效率随着波长的变化而变化。为提高量子效率,必须减少入射表面的反射率,使入射光子尽可能多地进入PN结;同时减少光子在表面层被吸收的可能性,增加耗尽区的宽度,使光子在耗尽区内被充分吸收。
4)响应速度
响应速度是光电检测器的另一个重要参数,通常用响应时间(上升时间和下降时间),如图3来表示
图3 光检测器的脉冲响应
光电二极管在接收机中使用时通常由偏置电路与放大器相连,这样检测器的响应特性必然与外电路相关。
图4为检测器电路及其等效电路,其中CPN为检测器的结电容; Rb为偏置电阻;Ra、Ca分别为放大器的输入电阻和输入电容;Rs为检测器的串联电阻,通常只有几欧,可以忽略。
影响响应速度的主要因素有:
①检测器及其有关电路的RC时间常数,设它造成的脉冲前沿上升时间为:ιRC。要提高响应速度,就要降低整个电路的时间常数。从检测器本身来看,就要尽可能降低结电容。
图4 光检测器电路及等效电路
式中,ε为材料的介电常数,A为结面积,W为耗尽区厚度。
②载流子漂移通过耗尽区的渡越时间,设上升时间为:ιdr
光电二极管的响应速度主要受到耗尽区内的载流子在电场作用下的漂移通过所需时间(即渡越时间)的限制。渡越时间:
式中,vd为光身载流子的漂移速度。
漂移运动的速度与电场强度有关,电场强度较低时,漂移速度正比于电场强度,当电场强度达到某一值后,漂移速度不再变化。
③耗尽区外产生的载流子扩散引起的延迟,设上升时间为:ιdi。耗尽区外产生的载流子一部分复合,一部分扩散到耗尽区,被电路吸收。
由于扩散速度比漂移速度慢得多,因此,这部分载流子会带来附加时延,会使输出电信号脉冲拖尾加长。
总的上升时间为:
光检测器的功能
光检测器的主要功能是将光信号转换为电信号。光检测器是光接收模块的重要部件。目前光纤通信系统中使用的光检测器主要是移相开关二极管,即PIN二极管。PIN二极管对低频信号具有整流作用,而对高频信号,却只有阻抗作用。阻抗值的大小决定于中间层。当中间层为正偏时,因为有载流子注入中间层,器件呈低阻;而当中间层处于零偏或反偏时,器件呈高阻。从而可以用于信息的检测。
光检测器的一个重要性质就是接收灵敏度,它是外入光信号使接收器工作必须具有的最小功率。应该指出,接收器灵敏度是针对一定范围的光波长而言的。
光纤通信系统对光检测器的要求:
(1)在工作波长上光电转换效率高,即对一定的入射光功率,能够输出尽可能大的光电流;
(2)响应速度快,线性好及频带宽,使信号失真尽量小。
(3)噪声低,器件本身对信号的影响小;
(4)体积小、寿命长、高可靠、工作电压低等。
非常好我支持^.^
(98) 53.8%
不好我反对
(84) 46.2%
相关阅读:
( 发表人:admin )
