电源电路,电源电路原理和作用是什么?
背景知识:
DC/AC逆变威廉希尔官方网站 能够实现直流电能到交流电能的转换,可以从蓄电池、太阳能电池等直流电能变换得到质量较高的、能满足负载对电压和频率要求的交流电能。DC/AC逆变威廉希尔官方网站 在交流电机的传动、不间断电源(UPS)、变频电源、有源滤波器、电网无功补偿器等许多场合得到了广泛的应用。
DC/AC逆变威廉希尔官方网站 的基本原理是通过半导体功率开关器件(例如SCR,GTO,GTR,IGBT和功率MOSFET模块等)的开通和关断作用,把直流电能变换成交流电能,因此是一种电能变换装置。由子是通过半导体功率开关器件的开通和关断来实现电能转换的,因此转换效率比较高。但转换输出的波形却很差,是含有相当多谐波成分的方波。而多数应用场合要求逆变器输出的是理想的正弦波,因此如何利用半导体功率开关器件的开通和关断的转换,使逆变器输出正弦波和准正弦波就成了DC/AC逆变器威廉希尔官方网站 发展中的一个主要问题。
基本原理:
常用逆变器主电路的基本形式有两种分类方法:按照相数分类,可以分为单相和三相;按照直流侧波形和交流侧波形分类,可以分为电压型逆变器和电流型逆变器。具体如下:
DC/AC逆变器按拓扑结构划分,分为Buck型DC/AC逆变器,Boost型DC/AC逆变器,Buck-Boost型DC/AC逆变器。
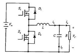
1,Buck型DC/AC逆变器
Buck型DC/AC逆变器电路基本拓扑如图所示。
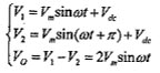
采用了两组对称的Buck电路,负载跨接在两个Buck变换器的输出端,并以正弦的方式调节Buck变换器的输出电压,进行DC/AC的变换。它包括直流供电电源Vm,输出滤波电感L1和L2,功率开关管S1-S4 。滤波电容C1和C2,续流二极管D1-D4,以及负载电阻R。通过滑模控制,使输出电容电压V1和V2随参考电压的变化而变化,从而使两个Buck变换器各产生一个有相同直流偏置的正弦波输出电压,并且V1和V2在相位上互差180度。由于负载跨接在K和代的两端,则DC/AC变换器的输出电压玲为如下式所示的正弦波,图2所示即为逆变器的基本工作原理。
虽然有一个直流偏置电压出现在负载的任一端,但负载两端电压为正负交变的正弦波电压,并且其直流电压为零。由于DC/AC变换器的输出电流是正负交变的,因此要求电路中的Buck变换器的电流能双向流通,如图1所示电路由两组双向Buck变换器组成。一组电流双向流通的Buck变换器可见图3所示。凡与又是一对互补控制的开关管,D1和D2为反并止极管。当开关S1闭合、S2打开时,若电感电流方向为正,则电流流经S1,若为负则电感电流经D1续流。当S1打开、S2闭合时,若电感电流方向为正,则电流经D2续流,若为负则电感电流流经S2。
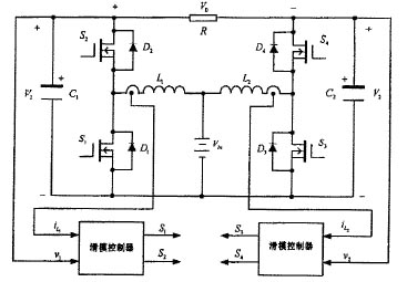
2,Boost型AC/AC逆变器
Boost型DC/AC逆变器电路基本拓扑如图所示。采用了两组对称的Boost电路,负载跨接在两个Boost变换器的输出端,并以正弦的方式调节Boost变换器的输出电压,进行D/AC的变换。它包括直流供电电Vm,输出滤波电感L1和L2,功率开关管S1-S4,滤波电容C1和C2,续流二极管D1-D4,以及负载电阻R。通过滑模控制,使输出电容电压K和K随参考电压的变化而变化,从而使两个Boost变换器各产生一个有相同直流偏置的正弦波输出电压,并且V1和V2在相位上互差180度。获得的输出电压为V0 = V1-V2,是一个正弦电压。
3,Buck-Boost型DC/AC逆变器。基本原理为上述两种结构的中和,这里就不做太多解释了。现状和发展:
一般认为,DC-AC逆变器的发展可以分为如下两个阶段。
1,1956-1980年为传统发展阶段。这个阶段的特点是:开关器件以低速器件为主,逆变器的开关频率较低,波形改善以多重叠加为主,体积重量较大,逆变效率低。正弦波逆变器开始出现。1960年以后,人们注意到改善逆变器波形的重要性,并开始进行研究。
1963年,F.G.Turnbull提出了“消除特定谐波法”,为后来的优化PWM法奠定了基础,以实现特定的优化目标,如谐波最小、效率最优、转矩脉动最小等。
1980年到现在为高频化新威廉希尔官方网站 阶段。这个阶段的特点是:开关器件以高速器件为主,逆变器的开关频率较高,波形改善以PWM法为主,体积重量较小,逆变效率高。正弦波逆变器威廉希尔官方网站 发展日趋完善。
20世纪70年代后期,可关断晶闸管GTO、电力晶体管GTR及其模块相继实用化。80年代以来,电力电子威廉希尔官方网站 与微电子威廉希尔官方网站 相结合,产生了多种高频化的全控器件,并得到了迅速发展,如功率场效应晶体管Power MOSFET,绝缘门极晶体管IGT或IGST,静电感应晶体管SIT,静电感应晶闸管SITH、场控晶闸管MCT, MOS晶体管MGT、IEGT以及IGCT等。这就使电力电子威廉希尔官方网站 由传统发展时代进入到高频化时代。在这个时代,具有小型化和高性能特点的新逆变威廉希尔官方网站 层出不穷,特别是脉宽调制波形改善威廉希尔官方网站 得到了飞速的发展。
今后,随着工业和科学威廉希尔官方网站 的发展,对电能质量的要求将越来越高,包括市电电网在内的原始电能的质量可能满足不了设备的要求,必须经过电力电子装置变换后才能使用,而DC/AC逆变威廉希尔官方网站 在这种变换中将起到重要的作用。
降压稳压器
背景知识:
电力系统传输电能的升压变压器/降压变压器/配电变压器等。
降压变压器,用来把10万V以上便于输送中的损耗降到用电户。降为380V的三相四线制,才能安全使用. 从交流发电机发的电先经升压变压器升成10kv及以上的高压(如35kv,110kv,220kv,500kv;距离越远需要的电压越高),有时候需经几级的变压器升压,然后经过输电线路送至目的地后再经降压变压器降至需要的电压,传输到家庭的为380/220v。
基本原理:
在这里我们引用一个降压变压器的实例来其进行介绍:
BGD/BGS降压变压器:
铁芯采用进口30ZH120高导磁优质冷轧取向矽钢片制造,铁芯为三级全斜接缝,铁芯柱用拉带绑扎,表面用有硅涂刷粘结,使铁芯形成整体。从而有效降低了空载损耗、空载电流。并采取特殊的措施,降低铁芯噪音。
低压线圈采用铜箔绕制,箔式绕圈结构,增强了线圈的稳定性,固化后绕组整体机械强度好,大大提高了抗短路能力。
高压线圈采用了分段层式线圈结构,有效降低了层间电压,并增强了抗雷电冲击能力。线圈内外表面均用NOMEX纸封包,通过多次真空压力浸漆,使线圈形成整体,提高了线圈的机械强度,提高了变压器防霉菌、防潮性能。
固有的介电强度:
压实形NOMEX芳香聚酰胺产品的短时间时耐电应力为450至1000伏/密耳(18至40千伏/毫米),视乎产品类型和厚度而定,而且无需用清漆或树脂作进一步处理。
由于NOMEX纸的介电常数为1.5-2.5,比常用的绝缘材料都低,接近空气的介电常数,因而使整个绝缘系统和冷却介质间的电场分布更为均匀,局放量少,且相当稳定。
热稳定性:
NOMEX产品在温度高达200℃(390)时,其电性能和机械性能所受的影响极小,甚至全无影响,其有效值可在显著高温下保持。
再者,NOMEX产品的性能,如连续露置于220℃(430)下,至少可保持十年。
低温性能:
由于NOMEX产品的聚合结构独特,因此被采用于各种不同的低温应用方面。在氮气沸点(77)时,NOMEX410型绝缘纸以及993型和994型合成纤维压板的拉伸强度都高于室温下的强度值。
无毒、阻燃:
NOMEX产品在人体和动物体内不会产生任何已知的毒性反应,在空气中也不会熔化或助长燃烧。由于NOMEX纸限氧指数高,能阻燃。
化学相容性:
NOMEX产品基本上不受大部分溶剂的影响,而且特别经得起酸碱的腐蚀。它能与各式各样的清漆和粘合剂、变压器流体、润滑油以及冷冻剂相容。由于NOMEX产品不易消化,因此不会受昆虫、真菌或霉菌侵袭。
机械韧性:
压实的NOMEX产品非常坚固、回弹力强,较薄等级的产品则具有挠性,所有产品都耐撕裂及耐磨。
对潮湿不敏感:
NOMEX电绝缘和合成纤维压板在相对湿度95%下处于平衡状态时,其在绝干时介电强度可保持百分之九十,同时许多机械性能也实际上有所改善。
耐辐射性:
800兆拉德的电离辐射可引致聚酯层压板粉碎,但NOMEX产品则基本无影响。经过八次此种剂量的辐射之后仍保持其有效的机械性能和电性能
升压稳压器
背景知识:
电力系统传输电能的升压变压器/降压变压器/配电变压器等。
升压变压器,用来升成10万V以上便于输送中的损耗,到用电户在用降压变压器降为380V的三相四线制,才能安全使用. 从交流发电机发的电先经升压变压器升成10kv及以上的高压(如35kv,110kv,220kv,500kv;距离越远需要的电压越高),有时候需经几级的变压器升压,然后经过输电线路送至目的地后再经降压变压器降至需要的电压,传输到家庭的为380/220v。
基本原理:
变压器作原理:利用导磁系数高的硅钢片插成铁芯组,初级绕组根据初级额定电压和铁心的截面积以及次级的输出电压计算出每伏匝数和初,次级的电流,就可以计算出绕组的截面积(换算出绕组的直径)。初级和次级要作好绝缘处理。绕好后要进行通电实验,合格后在做绝缘浸漆和烘干处理。
变压器有升压和降压两种,我生活周围的一般是降压变压器(为了得到合适的电压),发电厂外的是升压变压器(提高电压输送电能是为了减少电能的损耗)。原理是电磁感应原理
背景知识:
便携式移动设备大多以电池供电,其负载电路通常是微处理器控制的设备,比如移动电话、掌上电脑等等,此类设备要求供电电源效率高、输出纹波电压小。直流变换器就是把未经调整的电源电压转化为符合要求的电源。电池的广泛使用,给这一类电源带来特殊的要求:高效率、静态电流小、很小的面积、低重量并且价格便宜。传统的电源通常使用一个电感实现DC/DC变换,但是电感体积庞大、容易饱和、会产生EMI而且电感价格昂贵。为解决此类问题,现代电源通常采用电荷泵电路。电荷泵采用电容储存能量,外接组件少,非常适合用于便携式设备中,并且随着其电路结构的不断改进和工艺水平的提高,也可应用在需要较大电流的应用电路中。因此高效率电荷泵DC-DC转换器因其功耗小、成本低、结构简单、无需电感、二极管、MOSFET等外围组件、高EMI抑制等优点,在电源管理电路中己得到广泛应用。
基本原理:
电荷泵使用电容储存能量,并且随着电荷泵电路结构的改进,也可应用在需要大电流的应用电路中。一般电荷泵电路主要有两种工作模式——“LINEAR” 模式和“SKIP”模式。
当电荷泵工作在“LINEAR”模式下,可以获得较低的输出纹波,工作在“SKIP”模式下可以获得较低的静态电流。为描述方便,以下分析中的电荷泵四个开关管均用NMOS代替,而并非实际上电荷泵开关中既有PMOS又有NMOS。
无电感 型 电荷泵如图1所示,包含四个开关(M1-M4)、一个泵电容(flying capacitor) CF、输出电容(OutputCa pacitor)LOUT。一个简单的工作过程可分为三个阶段:
阶段A ( 充电阶段,M1和M2导通):泵电容被VIN充电,CF两端的平均压差为VIN减去充电电流在M1和M2产生压降。
阶段B (能量传输阶段,M3和M4导通):泵电容向负载电容放电,其两极平均电压为
阶段C (等待阶段,M1-M4均不导通):没有能量从VIN传输到CF和Cout。VCF =常量。
在等待状态,CF两端电压保持恒定,这意味着:
当用50%占空比的时钟时,△tA =△tB = △t,,所以CF的平均充电电流就等于其平均放电电流,假设阶段A和阶段B的时间常数足够大。
开关 M1 - M4周期性通过阶段A,B 和C翻转,能量就从电池Vin传输到负载(Vout)。在单个周期里,只有在阶段B才对负载电容Cout充电,在其余阶段(阶段A和C), Cout向负载放电。在死循环电路系统中,输出电压Vout为稳定值,这就要求电荷泵充电能量等于负载消耗的能量。所以,在能量传输的阶段B,输出电流IP可以写成:
即
现状和发展:
电源是各种用电设备的动力装置,是电子工业的基础产品。经济建设和社会生活各个方面的发展都会促进电源产业的发展。近十年来中国的信息产业以其他行业三倍的速度快速发展,“九五”期间,中国对电子工业的投资比重由过去五年的2.2%提高到5.4%,总投资规模达到4293亿元,比过去五年增长近12倍,因此成为电源产业发展的强大推动力。电源最大的应用领域是在通信行业,近十年来我国通信事业快速发展,通信电源也同步增长,1991年国内通信电源投资额为人民币0.8亿元,到2002年全国通信电源市场容量为45亿元以上。从1991年到2002年通信电源增长56倍多。
在国际上,日本和美国的电子工业和通信业很发达,因此对电源的需求量非常大。在2000年,由于亚洲通信事业的高速发展,对电源供应和管理电路的需求量在全球市场上的比例升至10%,并且这个比例在今后一段时间还将迅速增长,从而成为世界上最有发展潜力的电源供应市场之一。
背景知识:
电源是一切电子设备的心脏,一切电子设备都离不开电源提供能量。电源它广泛应用于科学研究、经济建设、国防设施及日常生活等各个方面,是电子设备和机电设备的基础,它与国民经济各个部门紧密相关,在工农业生产中应用广泛。
基本原理:
按现代电力电子的应用领域,我们把电源划分如下:
1 计算机高效率绿色电源
高速发展的计算机威廉希尔官方网站 带领人类进入了信息社会,同时也促进了电源威廉希尔官方网站 的迅速发展。八十年代,计算机全面采用了开关电源,率先完成计算机电源换代。接着开关电源威廉希尔官方网站 相继进人了电子、电器设备领域。
计算机威廉希尔官方网站 的发展,提出绿色电脑和绿色电源。绿色电脑泛指对环境无害的个人电脑和相关产品,绿色电源系指与绿色电脑相关的高效省电电源,根据美国环境保护署l992年6月17日“能源之星"计划规定,桌上型个人电脑或相关的外围设备,在睡眠状态下的耗电量若小于30瓦,就符合绿色电脑的要求,提高电源效率是降低电源消耗的根本途径。就目前效率为75%的200瓦开关电源而言,电源自身要消耗50瓦的能源。
2 通信用高频开关电源
通信业的迅速发展极大的推动了通信电源的发展。高频小型化的开关电源及其威廉希尔官方网站 已成为现代通信供电系统的主流。在通信领域中,通常将整流器称为一次电源,而将直流-直流(DC/DC)变换器称为二次电源。一次电源的作用是将单相或三相交流电网变换成标称值为48V的直流电源。目前在程控交换机用的一次电源中,传统的相控式稳压电源己被高频开关电源取代,高频开关电源(也称为开关型整流器SMR)通过MOSFET或IGBT的高频工作,开关频率一般控制在50-100kHz范围内,实现高效率和小型化。近几年,开关整流器的功率容量不断扩大,单机容量己从48V/12.5A、48V/20A扩大到48V/200A、48V/400A。
因通信设备中所用集成电路的种类繁多,其电源电压也各不相同,在通信供电系统中采用高功率密度的高频DC-DC隔离电源模块,从中间母线电压(一般为48V直流)变换成所需的各种直流电压,这样可大大减小损耗、方便维护,且安装、增加非常方便。一般都可直接装在标准控制板上,对二次电源的要求是高功率密度。因通信容量的不断增加,通信电源容量也将不断增加。
3 直流-直流(DC/DC)变换器
DC/DC变换器将一个固定的直流电压变换为可变的直流电压,这种威廉希尔官方网站 被广泛应用于无轨电车、地铁列车、电动车的无级变速和控制,同时使上述控制获得加速平稳、快速响应的性能,并同时收到节约电能的效果。用直流斩波器代替变阻器可节约电能(20~30)%。直流斩波器不仅能起调压的作用(开关电源), 同时还能起到有效地抑制电网侧谐波电流噪声的作用。
通信电源的二次电源DC/DC变换器已商品化,模块采用高频PWM威廉希尔官方网站 ,开关频率在500kHz左右,功率密度为5W~20W/in3。随着大规模集成电路的发展,要求电源模块实现小型化,因此就要不断提高开关频率和采用新的电路拓扑结构,目前已有一些公司研制生产了采用零电流开关和零电压开关威廉希尔官方网站 的二次电源模块,功率密度有较大幅度的提高。
4 不间断电源(UPS)
不间断电源(UPS)是计算机、通信系统以及要求提供不能中断场合所必须的一种高可靠、高性能的电源。交流市电输入经整流器变成直流,一部分能量给蓄电池组充电,另一部分能量经逆变器变成交流,经转换开关送到负载。为了在逆变器故障时仍能向负载提供能量,另一路备用电源通过电源转换开关来实现。
现代UPS普遍了采用脉宽调制威廉希尔官方网站 和功率M0SFET、IGBT等现代电力电子器件,电源的噪声得以降低,而效率和可靠性得以提高。微处理器软硬件威廉希尔官方网站 的引入,可以实现对UPS的智能化管理,进行远程维护和远程诊断。
目前在线式UPS的最大容量已可作到600kVA。超小型UPS发展也很迅速,已经有0.5kVA、lVA、2kVA、3kVA等多种规格的产品。
5 变频器电源
变频器电源主要用于交流电机的变频调速,其在电气传动系统中占据的地位日趋重要,已获得巨大的节能效果。变频器电源主电路均采用交流-直流-交流方案。工频电源通过整流器变成固定的直流电压,然后由大功率晶体管或IGBT组成的PWM高频变换器, 将直流电压逆变成电压、频率可变的交流输出,电源输出波形近似于正弦波,用于驱动交流异步电动机实现无级调速。
国际上400kVA以下的变频器电源系列产品已经问世。八十年代初期,日本东芝公司最先将交流变频调速威廉希尔官方网站 应用于空调器中。至1997年,其占有率已达到日本家用空调的70%以上。变频空调具有舒适、节能等优点。国内于90年代初期开始研究变频空调,96年引进生产线生产变频空调器,逐渐形成变频空调开发生产热点。预计到2000年左右将形成高潮。变频空调除了变频电源外,还要求有适合于变频调速的压缩机电机。优化控制策略,精选功能组件,是空调变频电源研制的进一步发展方向。
6 高频逆变式整流焊机电源
高频逆变式整流焊机电源是一种高性能、高效、省材的新型焊机电源,代表了当今焊机电源的发展方向。由于IGBT大容量模块的商用化,这种电源更有着广阔的应用前景。
逆变焊机电源大都采用交流-直流-交流-直流(AC-DC-AC-DC)变换的方法。50Hz交流电经全桥整流变成直流,IGBT组成的PWM高频变换部分将直流电逆变成20kHz的高频矩形波,经高频变压器耦合, 整流滤波后成为稳定的直流,供电弧使用。
由于焊机电源的工作条件恶劣,频繁的处于短路、燃弧、开路交替变化之中,因此高频逆变式整流焊机电源的工作可靠性问题成为最关键的问题,也是用户最关心的问题。采用微处理器做为脉冲宽度调制(PWM)的相关控制器,通过对多参数、多信息的提取与分析,达到预知系统各种工作状态的目的,进而提前对系统做出调整和处理,解决了目前大功率IGBT逆变电源可靠性。
国外逆变焊机已可做到额定焊接电流300A,负载持续率60%,全载电压60~75V,电流调节范围5~300A,重量29kg。
7 大功率开关型高压直流电源
大功率开关型高压直流电源广泛应用于静电除尘、水质改良、医用X光机和CT机等大型设备。电压高达50~l59kV,电流达到0.5A以上,功率可达100kW。
自从70年代开始,日本的一些公司开始采用逆变威廉希尔官方网站 ,将市电整流后逆变为3kHz左右的中频,然后升压。进入80年代,高频开关电源威廉希尔官方网站 迅速发展。德国西门子公司采用功率晶体管做主开关元件,将电源的开关频率提高到20kHz以上。并将干式变压器威廉希尔官方网站 成功的应用于高频高压电源,取消了高压变压器油箱,使变压器系统的体积进一步减小。
国内对静电除尘高压直流电源进行了研制,市电经整流变为直流,采用全桥零电流开关串联谐振逆变电路将直流电压逆变为高频电压,然后由高频变压器升压,最后整流为直流高压。在电阻负载条件下,输出直流电压达到55kV,电流达到15mA,工作频率为25.6kHz。
8 电力有源滤波器
传统的交流-直流(AC-DC)变换器在投运时,将向电网注入大量的谐波电流,引起谐波损耗和干扰,同时还出现装置网侧功率因数恶化的现象,即所谓“电力公害”,例如,不可控整流加电容滤波时,网侧三次谐波含量可达(70~80)%,网侧功率因数仅有0.5~0.6。
电力有源滤波器是一种能够动态抑制谐波的新型电力电子装置,能克服传统LC滤波器的不足,是一种很有发展前途的谐波抑制手段。滤波器由桥式开关功率变换器和具体控制电路构成。与传统开关电源的区别是:(l)不仅反馈输出电压,还反馈输入平均电流; (2)电流环基准信号为电压环误差信号与全波整流电压取样信号之乘积。
9 分布式开关电源供电系统
分布式电源供电系统采用小功率模块和大规模控制集成电路作基本部件,利用最新理论和威廉希尔官方网站 成果,组成积木式、智能化的大功率供电电源,从而使强电与弱电紧密结合,降低大功率元器件、大功率装置(集中式)的研制压力,提高生产效率。
八十年代初期,对分布式高频开关电源系统的研究基本集中在变换器并联威廉希尔官方网站 的研究上。八十年代中后期,随着高频功率变换威廉希尔官方网站 的迅述发展,各种变换器拓扑结构相继出现,结合大规模集成电路和功率元器件威廉希尔官方网站 ,使中小功率装置的集成成为可能,从而迅速地推动了分布式高频开关电源系统研究的展开。自八十年代后期开始,这一方向已成为国际电力电子学界的研究热点,论文数量逐年增加,应用领域不断扩大。
分布供电方式具有节能、可靠、高效、经济和维护方便等优点。已被大型计算机、通信设备、航空航天、工业控制等系统逐渐采纳,也是超高速型集成电路的低电压电源(3.3V)的最为理想的供电方式。在大功率场合,如电镀、电解电源、电力机车牵引电源、中频感应加热电源、电动机驱动电源等领域也有广阔的应用前景。
现状和发展:
现代电力电子威廉希尔官方网站 是开关电源威廉希尔官方网站 发展的基础。随着新型电力电子器件和适于更高开关频率的电路拓扑的不断出现,现代电源威廉希尔官方网站 将在实际需要的推动下快速发展。在传统的应用威廉希尔官方网站 下,由于功率器件性能的限制而使开关电源的性能受到影响。为了极大发挥各种功率器件的特性,使器件性能对开关电源性能的影响减至最小,新型的电源电路拓扑和新型的控制威廉希尔官方网站 ,可使功率开关工作在零电压或零电流状态,从而可大大的提高工作频率,提高开关电源工作效率,设计出性能优良的开关电源。
电力电子及开关电源威廉希尔官方网站 因应用需求不断向前发展,新威廉希尔官方网站 的出现又会使许多应用产品更新换代,还会开拓更多更新的应用领域。开关电源高频化、模块化、数字化、绿色化等的实现,将标志着这些威廉希尔官方网站 的成熟,实现高效率用电和高品质用电相结合。这几年,随着通信行业的发展,以开关电源威廉希尔官方网站 为核心的通信用开关电源,仅国内有20多亿人民币的市场需求,吸引了国内外一大批科技人员对其进行开发研究。开关电源代替线性电源和相控电源是大势所趋,因此,同样具有几十亿产值需求的电力操作电源系统的国内市场正在启动,并将很快发展起来。还有其它许多以开关电源威廉希尔官方网站 为核心的专用电源、工业电源正在等待着人们去开发。
背景知识:
系统能可靠工作通常依赖于供电质量。电源电压过低会造成失效操作,如会导致微控制器、FPGA或ASIC会发送失效数据到存储器或外。电压过高则会造成器件永久损坏。除了在电压波动时提供保护外,用户可能还需要识别故障源。
基本原理:
用一个调压器加一对FET及几只电阻来实现电源关断功能。调压器的双线接口和故障寄存器应该提供故障监测能力,并且提供一片EPROM(建议地址容量为4KB)用于保存制造信息和维修服务卡等信息。
此调压器监测三个输入电压,电压阈值分别为4.6、2.9和1.0V。图中所示的电路给出了这样一种配置:如果5V的电源电压过低,或3.3V的电源电压过低或过高,则关断3.3V的输出。
如果5V的电源电压过低,或3.3V的电源电压过低或过高,则该过压/欠压关断电路将会关断3.3V的输出
设计采用一只金属氧化物场效应管(MOSFET)Q1作为主要的导通元件或开关。MOSFET是PMOS器件,仅需要2.5V的VGS就可以导通,所以当电源电压降到2.5V时即可发挥作用,其RDS(导通电阻)也小于0.1欧姆。调压器通过一颗最大VGS为2.5V的FET(Q3)来控制FET的栅极。在低电压情况下,MOSFET和FET可以用双MOSFET来代替,如Siliconix的Si4913,其VGS为1.8V,其1.8V电压下的RDS(导通电阻)为24毫欧姆。
在这个示例中,调压器的VCC监测由Intersil的X40435来完成。在VCC高于4.6V的阈值后,X40435即关断其开路泄流端RESET输出200毫秒(tPOR)。当3.3V的电源电压高于2.9V时,X40435的V3MON输入监测电路即关断其开路泄流端V3FAIL输出。当上述两个条件都满足时,FET(2N7002)栅极即被拉高而导通,使V2FAIL输出可以控制MOSFET的栅极(在本例中即是Si3443)。如果不希望5V输入有tPOR时延,则可以用LOWLINE输出代替RESET输出。
X40435的V2MON输入端对3.3V电源有个分压。分压电阻的配置使得当3.3V电源电压达到3.6V时V2MON电压为1V。但当3.3V的电源电压低于3.6V时,V2FAIL变为“LOW”高平,向负载供电的MOSFET即导通。
当3.3V的电源电压达到3.6V时,V2FAIL输出置“HIGH”高电平,关断输出电源。当3.3V或5V电源电压低于其相应的阈值时,2N7002器件关断,Si3443门拉高,再次关断负载。
X40435有一个双线接口,可以访问EPROM和故障检测寄存器。在X40435加电时,即将所有故障位复位到零。而且,任何故障状态也会使相应位复位到零,这样,如果微控制器在写故障位之前首先检查故障位,就可以确定引起系统重置复位的原因。例如,如果所有位被置零,则5V电源被关断。如果LV3F位置零,则3.3V电源关断。如果LV2F位置零,V2MON电压超过其阈值后又回落到阈值以下,这表明发生了过压。另外还有一些位用来指示看门狗超时或系统的手工复位。
在上述电路的一个变种电路中,3.3V电源欠压状态仅仅引起系统复位,并不关断3.3V电源,仅在3.3V输入超过上限时才关断到负载的3.3V电源。
基准电压源
背景知识:
基准电压源或电压参考(Voltage Reference)通常是指在电路中用作电压基准的高稳定度的电压源。随着集成电路规模的不断增大。尤其是系统集成威廉希尔官方网站 (SOC)的发展,它也成为大规模、超大规模集成电路和几乎所有数字interwetten与威廉的赔率体系 系统中不可缺少的基本电路模块。
在许多集成电路和电路单元中,如数模转换器(DAC)、 模数转换器〔ADC)、线性稳压器和开关稳压器,都需要精密而又稳定的电压墓准。在数模转换器中,DAC根据呈现在其输入端上的数字输入信号,从DC基准电压中选择和产生模拟输出;在模数转换器中,DC电压墓准又与模拟输入信号一起用于产生数字化的输出信号。
在精密测量仪器仪表和广泛应用的数字通信系统中都经常把基准电压源用作系统测量和校准的基准。因此,基准电压源在模拟集成电路中占有很重要的地位,它直接影响着电子系统的性能和精度。近年来对它的研究也一直很活跃,运用双极型工艺制成的基准电压源已能达到相当高的性能和精度。
与之同时,二十世纪七十年代以来,由于对MOS晶体管的基本理论和制造威廉希尔官方网站 的深入研究,加上电路设计和工艺威廉希尔官方网站 的进步,MOS模拟集成电路得到了迅速发展。其中CMOS电路更是凭其工艺简单、器件面积小、集成度高和功耗低等优点,成为数字集成电路产品的主流。在这一背景下,为了获得低成本、高性能的模拟集成电路产品,基于标准数字CMOS工艺的各种高精度模拟电路受到了人们的关注,并成为集成电威廉希尔官方网站 中的一个重要研究领域。而各种高精度基准电压源由于其在数字模拟系统中的广泛应用,更加具有广阔的开发与应用前景。
基本原理:
理想的基准电压源应不受电源和温度的影响,在电路中能提供稳定的电压,“基准”这一术语正说明基准电压源的数值应比一般电源具有更高的精度和稳定性。
一般情况下,可用电阻分压作为基准电压,但它只能作为放大器的偏置电压或提供放大器的工作电流。这主要是由于其自身没有稳压作用,故输出电压的稳定性完全依赖于电源电压的稳定性。另外,也可用二极管的正向压降作为基准电压,它可克服上述电路的缺点,得到不依赖于电源电压的恒定基准电压,但其电压的稳定性并不高,且温度系数是负的,约为-2mV/℃。还可用硅稳压二极管(简称稳压管或齐纳管)的击穿电压作为基准电压,它可克服正向二极管作为基准电压的一些缺点,但其温度系数是正的,约为+2mV/℃ 。因此,以上几种均不适用于对基准电压要求高的场合。于是,在这种迫切的市场需求和设计者的不断努力下,高精度的基准电压源应运而生,并且种类繁多。
从工作原理的角度来看,主要分为三类:标准电池、温度补偿基准稳压管和集成电路固体基准电压源(简称集成基准电压源)。
一,标准电池
标准电池可分为饱和型和非饱和型两种。
饱和型标准电池输出电压为1.018V,长期稳定性能达到1µV/年(即1ppm/年);但温度系数较大,在接近200℃时,总温度系数约-40µV/℃ 。由于饱和型标准电池正负级的温度系数不同,在电极间温差仅0.0010℃时,就能引起0.3pV左右的电动势变化,因此要求使用中保持正负级的温度均衡。
非饱和型标准电池的温度系数较小,在接近20'C时约为-5µV/℃左右;但长期稳定性较差,年变化大于20-40µV/年。
以上两种电池都有温度特性的滞后效应,且不能满载使用,但因其噪声低、电动势稳定、制造方便、造价便宜,因此在大多数只要求短期稳定性的精密电源中有广泛的应用。
二,温度补偿基准稳压管
温度补偿基准稳压管的温度系数可低达5µV/℃,且体积小、重量轻、结构简单便于集成;但存在噪声大、负荷能力弱、稳定性差以及基准电压较高、可调性较差等缺点。这种基准电压源不适用于便携式和电池供电的场合。
三.集成基准电压源
运用半导体集成电路威廉希尔官方网站 制成的基准电压源种类较多,如深埋层稳压管集成基准源、双极型晶体管集成带隙基准源、CMOS集成带隙基准源等。“带隙基准源”是七十年代初出现的一种新型器件,它的问世使基准器件的指标得到了新的飞跃。从这些基准源中可获得1.22V至l0V中的各档基准电压。由于建立在非表面的带隙机理上,因此比基于表面击穿的稳压管器件更加稳定,选就能实现优于温度系数可达µV/℃(即2ppm/℃) ,输出电阻极低,更重要的是它无需挑60ppm的长期稳定性。由于带隙基准源具有高精度、低噪声、优点,因而广泛应用于电压调整器、数据转换器(A/D, D/A)、集成传感器、大器等,以及单独作为精密的电压基准件,低温漂等许多微功耗运算放。
从电路的连接方式角度来看,基准电压源主要分为两类。一类是三端式(输入、输出和公共引出端),又称串联式基准源。这种基准源的主要优点是静态电流比较低,可预先调整好标准输出电压,输出电流可以很大,而又不损失精度。另一类是二端式,又称并联式基准源。这种基准源的主要优点是工作极性比较灵活,但对负载要求比较严格,有时只能提供非标准电压。
现状和发展:
随着集成电路尤其是系统集成威廉希尔官方网站 的发展,基准电压源的应用更为广泛。而复杂多变的工作环境、日益广阔的应用空间,都为基准电压源的发展提供了机遇和挑战。尤其是如何进一步降低基准电压源的温度系数和噪声,提高它的电压稳定度和长期稳定性,将成为人们长期关注和努力的课题。目前,己经出现利用MOS管中载流子的迁移率和阅值电压的温度效应进行互补偿的英国威廉希尔公司网站 等等。这预示着随着VLSI和SOC威廉希尔官方网站 的迅猛发展,及各种新威廉希尔官方网站 、新工艺的不断应用,高精度基准电压源的英国威廉希尔公司网站 还将不断进步,具有更加广阔的发展空间。
不间断电源(UPS)
背景知识:
不间断电源(UPS)是计算机、通信系统以及要求提供不能中断场合所必须的一种高可靠、高性能的电源。交流市电输入经整流器变成直流,一部分能量给蓄电池组充电,另一部分能量经逆变器变成交流,经转换开关送到负载。为了在逆变器故障时仍能向负载提供能量,另一路备用电源通过电源转换开关来实现。
现代UPS普遍了采用脉宽调制威廉希尔官方网站 和功率M0SFET、IGBT等现代电力电子器件,电源的噪声得以降低,而效率和可靠性得以提高。微处理器软硬件威廉希尔官方网站 的引入,可以实现对UPS的智能化管理,进行远程维护和远程诊断。
目前在线式UPS的最大容量已可作到600kVA。超小型UPS发展也很迅速,已经有0.5kVA、lVA、2kVA、3kVA等多种规格的产品。
基本原理:
UPS(Uninterruptiable Power Supply)译为不间断电源。由20世纪60年代的旋转发电机发展到目前的具有一定智能化程度的静止式全电子电路,它也是随着电子威廉希尔官方网站 特别是功率器件和自动控制威廉希尔官方网站 的飞速发展而日趋成熟的。其基本功能是:
市电中断供电时,能不间断供电;
始终向负载提供高质量的交流电源,达到稳压.稳频.抑制浪涌.尖峰.电噪音.补偿电压下陷.长期低压等因素干扰。
按其工作原理分为动态式(又称旋转式ROTATORY TYPE)和静态式(STATIC TYPE)。动态式UPS由引擎与发电机组构成,它是靠交流市电驱动交流电动机旋转,从而带动同轴的交流发电机和惯性飞轮同速旋转运行,由发电机向负载供电。市电波动时由于惯性飞轮对短时间的电压突变后干扰无反应,保证了输出电压的稳定;市电断电靠飞轮的惯性将额定电压供电再延长5秒钟,由于保存数据信息。后来发展到内燃机式UPS系统,但这类UPS体积大噪音大.效率低,在目前应用不多。就目前用得最多的,最常用的UPS还是静态式UPS,现在一般讲的UPS也是指静态式UPS,但在概念上还是应分清楚。
静态式UPS
动态式UPS因应用较少,所以在人们通常所指的UPS大都指静态式UPS。静态式UPS根据供电方式可分为在线式(ON-LINE),后备式(或称离线式,OFF-LINE/BACK-UP)及线上交互式(LINE-INTERACTIVE)三类。
真在线式UPS电源的定义是:当输入,负载和UPS本身都正常工作时,UPS电源将输入的交流市电先通过整流器变成直流电,然后通过逆变器将直流电逆变成交流电,输出标准的稳定的纯净的正弦波电源,也即在一切都正常的情况下,负载得到的是由逆变器输出的高质量的正弦波电源。
后备式UPS电源的定义是:当输入,负载及UPS本身都正常工作时,UPS仅仅是将市电做简单的升压,降压和滤波处理,然后直接输出给负载使用,只有当输入电源不符合要求时,UPS才将电池的直流逆变成交流电,输出给负载使用。也即,在大部分时间,负载使用的是输入电源本身或经过简单处理的输入电源。
互动式UPS电源的定义是:当市电电源在约150~264伏的范围内,它向用户提供经铁磁谐振稳压器或经变压器抽头调压处理的一般市电电源(这就意味着:来自一般市电电网的频率波动,由“谐波污染”而形成的高波形畸变度及从电网串入的干扰等所困扰的低质量电源就是用户所实际使用的交流电源)对于这种UPS来说,仅仅当市电电源电压低于150伏或高于264伏左右时,它才有可能向用户提供真正的“UPS逆变器高质量的正弦波”电源。
现状和发展:
智能型UPS是当今UPS的一大发展趋势,随着UPS在网络系统上应用,网络管理者强调整个网络系统为保护对象,希望整个网络系统在供电系统出现故障时,仍然可以继续工作而不中断。因此UPS内部配置微处理器使之智能化是UPS的新趋势,UPS内部硬件与软件的结合,大幅度提高了UPS的功能,可以监控UPS的运行工作状态,如:UPS输出电压频率,电网电压频率、电池状态以及故障记录等。还可以通过软件对电池进行检测、自动放电充电,以及遥控开关机等。网络管理者就可以根据信息资料分析供电质量,依据实际情况采取相应的措施。当UPS检测出供电电网中断时,UPS自动切换到电池供电,在电池供电能力不足时立即通知服务器做关机的准备工作并在电池耗尽前自行关机。智能型UPS通过接口与计算机进行通讯,从而使网络管理员能够监控UPS,因此其管理软件的功能就显得极其重要。
非常好我支持^.^
(6) 60%
不好我反对
(4) 40%
相关阅读:
- [电子说] 全志R128应用开发案例—获取真随机数 2023-10-24
- [电子说] 启动电源接反会烧哪里?务必确保正确接线 2023-10-24
- [电子说] BUCK电路—5V转1.2V设计实例 2023-10-24
- [电子说] 浅析BUCK芯片在电路中的应用及特点 2023-10-24
- [电子说] 自锁控制电路图和工作原理讲解 2023-10-24
- [电子说] USB Type-C 240W知识科普 2023-10-24
- [电子说] DC-DC变换之BOOST拓扑电路 2023-10-24
- [电子说] 电源高压测试是什么?有哪些测试标准? 2023-10-24
( 发表人:admin )
