运放的基本分析方法 运放在有源滤波中的应用 运放是一种特殊的电子元件,其作用是将来自输入端的信号放大到输出端。运放内部具有多个放大器,以及其他小型电子元件,其内部结构和原理较为复杂。在电子电路中
2023-10-24 09:58:34
29 工作频率范围内,电阻的热噪声可以认为是白噪声。热噪声是由导体中电子的热震动引起的,它存在于所有电子器件和传输介质中,它是温度变化的结果,不受频率变化的影响。热噪声是不能够消除的。热噪声是由导体内电子密度的热波动引起的。奈奎斯特公式中给出了热噪声的计算方法。
2023-10-23 16:47:10
67 
运放的偏置电流是运放自己产生吗?怎么给运放提供偏置电流? 运放是一种重要的电子器件,在电子电路中发挥着重要的作用,用于放大信号、比较信号、求和、求差等。一般而言,运放的工作需要一些偏置电流来保证正常
2023-10-23 10:23:55
43 什么是运放的虚短和虚断?什么是运放的饱和?运放积分电路上并联的电阻有什么作用? 运放,也称放大器,是电路设计中非常重要的元件。作为一个高增益、高输入阻抗、低输出阻抗的器件,它能够将电压或电流
2023-10-23 10:10:23
47 ` 本帖最后由 eehome 于 2013-1-5 09:51 编辑
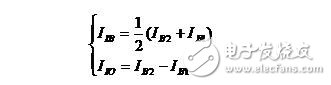
计算运放的反馈电阻和输入电阻有4种典型例子设:运放为理想的,如TLV247X方程:y=+- mx +-b有4种情况 y=+mx +by=+mx -by=- mx -by=- mx +b`
2012-04-02 16:48:25
MOSFET噪声的来源和计算方法。 噪声来源 在MOSFET中,主要有两种噪声源:导体噪声和本底噪声。 导体噪声是由通道载流子的随机运动、复合和注入产生的。在MOSFET的源极电阻和通道电阻中产生热噪声。 本底噪声是由于杂质、缺陷和热扰动引起的。这种噪声
2023-09-19 16:49:58
418 噪音计算方法解析 仪器标准
2023-09-15 17:54:53
121 
如何判断运放类型 运放作为电路中极为常见的元器件,它具有放大电压和电流的功能,广泛应用于信号获取、信号转换、滤波、调节和控制等领域。在实际的应用场景中,不同类型的运放往往有着不同的性能指标和适用范围
2023-08-27 14:55:09
535 运放的反馈电阻阻值选择 一、引言 运放(Operational Amplifier,简称Op Amp)是一种集成电路,广泛应用于模拟电路和数字电路中。运放拥有许多优秀的性能特性,如高增益、高输入阻抗
2023-08-27 14:54:57
670 设计模拟电路的关键之一。本文将详细介绍运放的选择要点和关键参数。 一、运放选择要点 运放选择要点包括输入电压范围、输入电阻、输出电流、增益带宽积、噪声等。 1. 输入电压范围 输入电压范围是指运放正常工作的输入电压
2023-08-27 14:49:57
879 运放2-运放的电阻选型 之前一章节我们讲的是理想运放和虚断虚短的基本概念,这一章节来看看运放的电阻的选型,电阻的选型是比较重要的章节,前一章讲述了运放电路的增益就是两个电阻的比值,如果要增益等于2
2023-08-12 10:54:12
1183 
电流略微流过LED。本文将详细介绍led电阻器是如何工作的,led电阻计算方法,感兴趣的朋友可以往下看哦。
2023-07-20 09:43:28
461 
在电路选型运算放大器时,用户经常比较关心运放输出电压的上升时间是如何计算的,上升时间到底与运放的带宽增益积GBW有关,还是与运放的压摆率SR有关,还是某些时候与两者同时都存在一定的约束关系?
2023-05-18 11:37:58
655 
平衡电阻的目的是为了减小运放输入偏置电流在电阻上形成的静态输入电压而带来误差详细看书。(减少失调电压)
2023-05-09 09:11:29
477 
虽然我们学过三大放大电路,在实际应用中,直接使用三大放大电路的情况很少。大多数情况都是采用运放搭建的,运放使用起来真是很方便。但是,运放到底是如何制成的呢?我们先来看一张经典的运放LM741。
2023-02-14 14:27:53
1326 
EMC计算方法概述2021/11/16大家好!我是ROHM的稻垣。本文是第16篇,从本文开始我们来谈一谈电磁兼容性(EMC)的计算方法和仿真。
2023-02-14 09:26:28
1637 エンジニアコラム第19篇 EMC计算方法和EMC仿真(4)传导抗扰度(CI)的试行计算方法什么是IEC 62132-4 DPI法?大家好!我是ROHM的稻垣。
2023-02-14 09:26:26
865 
变频器制动电阻设计计算方法一(简单计算)
2023-01-03 14:36:49
2302 本文介绍一些关于运放的平衡电阻的知识,感兴趣的朋友可以看看。
2022-12-02 09:23:27
1117 本文利用多数电压反馈型运放符合的一阶 RC 模型来拟合运放的开环增益曲线,通过运放的低频开环增益 Am ,电路的衰减系数 M,反馈系数 F,来准确计算电路中所需要运放的 GBW。
2022-11-03 11:21:41
1632 运放的基本分析方法:虚断,虚短。对于不熟悉的运放应用电路,就使用该基本分析方法。
2022-10-17 09:56:07
2053 运放的基本分析方法:虚断,虚短。对于不熟悉的运放应用电路,就使用该基本分析方法。运放是用途广泛的器件,接入适当的反馈网络,可用作精密的交流和直流放大器 、有源滤波器、振荡器及电压比较器 。
2022-09-19 09:23:32
1080 运放的基本分析方法:虚断,虚短。对于不熟悉的运放应用电路,就使用该基本分析方法。
2022-09-06 10:42:05
776 1)电阻分压法电阻分压方法的电路原理图如图4(a)所示。这是一种最常用的偏置方法。他通过用2个100kΩ的电阻R1,R2组成分压网络,形成VCC/2的偏置电压。该方法不仅简单而且成本低。但是该偏置
2021-11-06 18:51:00
25 开关电源变压器的计算方法与设计步骤(安徽理士电源威廉希尔官方网站
有限公司地址)-开关电源变压器的计算方法与设计步骤,非常不错,受益颇多,感兴趣的可以看看,值得一看。
2021-09-18 11:23:14
74 程度有一个准确的估算。我们今天就为大家分享一个快速而准确的计算方法。 问 如何根据薄膜的运行时间,来计算或估算最坏情形下薄膜电阻值的飘移变化? 可以使用阿伦尼乌斯方程(Arrhenius equation)来估算电阻器的漂移(老化)。例
2021-08-16 10:42:50
4158 
公路坡度的表示和计算方法综述
2021-08-11 14:34:48
2 升压电路取样电阻的计算方法
2021-04-06 09:25:09
19 本文档的主要内容详细介绍的是开关电源变压器的计算方法与设计步骤详细资料说明包括了:1.前言,2.变压器设计原则,3.系统输入规格,4.变压器设计步骤,5.实例设计一12WFlyback变压 器设计
2019-07-11 16:45:12
172 计算电路等效电阻的方法与任何单个串联或并联电路的方法相同将串联和并联电阻网络组合在一起的电阻电路一般称为电阻器组合或混合电阻器电路
2019-06-24 14:34:57
107006 
本文档的主要内容详细介绍的是开关电源变压器的计算方法与设计步骤等资料合集免费下载包括了:1.前言,2.变压器设计原则,3.系统输入规格,4.变压器设计步骤,5.实例设计- -12WFlyback变压器设计
2019-06-24 08:00:00
25 重点讲解了运放的内部电路结构,帮助深入理解运放的工作原理。
2019-05-13 09:53:36
12932 
本文首先介绍了发光二极管原理及其特性,其次介绍了发光二极管电阻计算方法,最后介绍了用两个例子说明了发光二极管电阻的接法。
2018-05-21 15:05:13
110130 
运放输入端所接电阻要平衡,目的是使运放的偏置电流不会产生附加的失调电压。但有些电路对失调电压要求并不高。例如交流音频放大器,有些运放偏置电流很小,即使输入端电阻不平衡也不会对失调电压产生什么影响,这些电路就可以不要求输入端电阻平衡。
2018-03-12 11:14:44
52703 
LED灯珠目前在生活中已经得到普遍运用,本文开始介绍了LED灯珠的发光原理和LED灯珠特点,其次介绍了LED灯珠的参数,最后介绍了led灯珠电阻计算方法。
2018-02-27 16:14:31
70643 本文开始详细的介绍了绕线电阻的相关概念,其次分析了正确测量绕线电阻的方法,最后给出了绕线电阻的计算方法与计算实例以及绕线电阻的制作过程。
2018-01-24 09:35:40
18474 电阻并联电阻的计算公式是怎样的。本文主要介绍了电阻串联和并联的计算方法,其次介绍了电阻串联和并联的作用。
2018-01-21 11:20:31
207585 
提出一种基于马尔可夫过程的电力系统连锁故障解析模型及概率计算方法,该方法区分电力系统不同元件物理特性,结合系统元件所在电力系统状态信息,分析元件停运概率。在元件停运模型基础之上,考虑连锁故障演化过程
2018-01-14 15:05:57
5 针对已有符号网络不平衡度计算方法大都只关注局部网络单元的平衡信息,没有考虑网络更大范围乃至全局角度的平衡,无法揭示网络中的不平衡区域这一问题,提出基于文化算法的符号网络全局不平衡度计算方法。该方法
2017-12-08 10:26:45
0 本本文通俗地论述了有限差分法、有限元法和积分方程法等常用的电磁场数值计算方法。介绍了恒定磁场的多极距分析和磁铁设计的原则、步骤与方法。
2017-11-20 16:19:49
83 运放输入端所接电阻要平衡,目的是使集成运放两输入端的对地直流电阻相等,运放的偏置电流不会产生附加的失调电压。 但有些电路对失调电压要求并不高,例如交流音频放大器。有些运放偏置电流很小,即使输入端电阻不平衡也不会对失调电压产生什么影响
2017-11-13 10:49:05
4098 
特征阻抗的计算方法
2017-06-09 14:53:12
25 运放输入端所接电阻要平衡,目的是使运放的偏置电流不会产生附加的失调电压。但有些电路对失调电压要求并不高。例如交流音频放大器,有些运放偏置电流很小,即使输入端电阻不平衡也不会对失调电压产生什么影响,这些电路就可以不要求输入端电阻平衡。
2017-06-06 16:09:14
18428 
交流电机换位线棒股线环流的解析计算方法_边旭
2017-01-07 15:26:08
0 模块化多电平换流器损耗与结温的解析计算方法_李强
2016-12-17 10:45:38
2 本文为您讲述色环电阻计算方法,如何识别色环电阻及读数方法。四色环、五色环电阻计算,电阻阻值读数顺序规则,并提供色环电阻在线计算器。
2016-09-23 10:42:08
122683 
一种含风电的发电系统可靠性解析计算方法_祝锦舟
2016-09-06 17:33:32
1 集成运放电路中有源负载放大电路的分析与计算方法
2016-06-20 16:09:30
30 甲类单端的简易计算方法甲类单端的简易计算方法甲类单端的简易计算方法
2016-01-19 15:37:38
19 研究随钻电磁波电阻率仪器中线圈系电磁响应的计算方法,对于测井数据的快速反演具有重要的意义。从Maxwell方程出发,导出了修正磁矢位满足的泊松方程,并采用分离变量法和电磁场边界条件导出了圆电流环在径向分层介质中的磁矢位的解析解,该方法形式简洁,易
2011-01-15 16:41:39
59 1 引言 目前市场上变频器的制动方法大致有三种:能耗制动,直流制动,回馈(再生)制动。
目前关于制动电阻的计算方法有很多种,从工程的角度来讲要
2010-08-05 10:16:31
7584 
集成运放电路中有源负载放大电路的分析与计算方法
恒流源电路分析,恒流源电路的恒流值和恒流源内阻计算,多级放大电路和差分放大电路的动态指标计算等。
2010-04-13 11:25:24
9891 
电镀常用的计算方法
1.镀层厚度的计算公式:(厚度代号:d、单位:微米)d=(C×Dk×t×ηk)/60r
2009-04-15 08:55:36
2263 IFFT的计算方法
FFT算法同样可以应用于IDFT的计算,称为快速傅里叶反变换,简写为IFFT。前述DFT和IDFT公式为
2008-10-30 13:14:49
11539 
pcb载流能力的计算方法
2008-03-06 15:56:22
61
评论