电路保护主要是保护电子电路中的元器件在受到过压、过流、浪涌、电磁干扰等情况下不受损坏,随着科学威廉希尔官方网站 的发展,电力/电子产品日益多样化、复杂化,所应用的电路保护元件己非昔日的简单的玻璃管保险丝,通常保护器件有压敏电阻、TVS、气体放电管等。己经发展成为一个门类繁多的新兴电子元件领域。
电流源电路原理
设计电路图如下

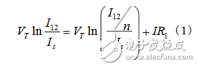
电流源实际电路首先由1,2支路产生PTAT电流,经过3支路产生基准电压,再由4支路转换为基准电流。5,6支路为4支路电流的镜像。
由于X,Y点电位以及1,2支路电流相等,则:

解得1,2支路电流(PTAT电流)为:

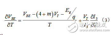
对晶体管:

节点M电压为:

因此只要I3为正的温度系数,VBE为负的温度系数,调节R2则在一定温度范围内VM的温度系数可以很小(这里忽略电阻温度系数)。
调节支路3,4MOS管的宽长比,可使N电位与M点相同则4支路电流:

I4即为温度系数很小的电流,注意到I12与电压源无关,则得到的I4也于电压源无关,这样再由电流镜镜像可得到不同电流值的基准电流。
电子发烧友App


































评论