大小和方向随时间作有规律变化的电压和电流称为交流电,又称交变电流。正弦交流电是随时间按照正弦函数规律变化的电压和电流。由于交流电的大小和方向都是随时间不断变化的,也就是说,每一瞬间电压(电动势)和电流的数值都不相同,所以在分析和计算交流电路时,必须标明它的正方向。
正弦交流电的三要素、电公式、正弦交流电路应用及相关值数、频率全解析----正弦交流电的三要素:
(1)最大值;
(2)角频率;
(3)初相位(初相)
交流电在实际使用中,如果用最大值来计算交流电的电功或电功率并不合适,因为毕竟在一个周期中只有两个瞬间达到这个最大值。为此人们通常用有效值来计算交流电的实际效应。
理论和实验都证明,正弦交流电的有效值等于“最大值乘以‘0.5的开平方’也可以用最大值除以根号2。因除以一个数等于乘以这个数的倒数,也可以用最大值乘以根号2的倒数,根号2的倒数是0.707,因此可得有效值等于最大值乘以0.707。
正弦交流电的三要素、电公式、正弦交流电路应用及相关值数、频率全解析----正弦交流电公式:

大小与方向均随时间按正弦规律做周期性变化的电流、电压、电动势叫做正弦交流电流、电压、电动势,在某一时刻t的瞬时值可用三角函数式(解析式)来表示,即
i(t)=Imsin(ωt+ji0)
u(t)=Umsin(ωt+ju0)
e(t)=Emsin(ωt+je0)
式中,Im、Um、Em分别叫做交流电流、电压、电动势的振幅(也叫做峰值或最大值),电流的单位为安培(A),电
压和电动势的单位为伏特(V);ω叫做交流电的角频率,单位为弧度/秒(rad/s),它表征正弦交流电流每秒内变化的电角度;ji0、ju0、je0分
别叫做电流、电压、电动势的初相位或初相,单位为弧度rad或度(0)
最大值是交流电的特征值,不需要公式表示。
正弦交流电的三要素、电公式、正弦交流电路应用及相关值数、频率全解析----正弦交流电的频率和周期及角频率
我们知道,所谓交流电就是大小和方向都随着时间不断交变的电流。
如下图所示为一正弦交流电动势的波形图,由图可以得知:交流电跟别的周期性过程一样,是用周期或频率来表示其变化的快慢。正弦交流电由零值增加到正最大值,然后又逐渐减少至零,然后改变方向又由零值逐渐增加到反方向(波形先是向上,然后是向下,所以是反方向)的最大值,最后减少到零。

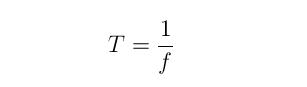
正弦交流电这样循环变化一周所需的时间叫做周期,用字母“T”表示。单位是秒(字母“S”表示),常用的还有毫秒(ms)、微妙(μs)、纳秒(ns)。
由周期定义可知,周期越大,表面变化一周所需时间越长,即变化越慢,反之周期越小,表面交变电变化一周所需时间越短,即变化越快。
交流电在1秒钟内完成周期性变化的次数,叫做交流电的频率,用“f”表示,单位是赫兹,简称赫,用“Hz”表示。频率的常用单位还有千赫(KHz)、兆赫(MHz)
周期和频率都是描述交流电变化快慢的物理量,两者的关系为:

除了周期和频率描述交流电的变化快慢外,还可以用电角度(角频率)来描述。角频率用“ω”表示,单位为弧度/秒
因为电动势交变一周期,电角度就改变2π弧度,而所需时间为T,所以电角速度(角频率)与频率的关系为:

由上式可知,周期、频率和角频率三者之间是相互联系的,如果知道其中一个,便可求得另外两个。例如我国电流系统中,交流电的频率是50Hz,则周期T=1/f=0.02s,角频率ω=2πf=314弧度/秒。美国、日本、西欧国家频率是60Hz。
正弦交流电的三要素、电公式、正弦交流电路应用及相关值数、频率全解析----正弦交流电的瞬时值、最大值、有效值
在了解正弦交流电的瞬时值、最大值和有效值之前我们先来看看前一段(正弦交流电的频率和周期及角频率↑)中的正弦交流电电动势波形图,如上图所示。这个波形图还可以用数学表达式表示为:

公式中:Em表示为最大值、ω为电角度、e为瞬时值、t表示时间。
由上述公式可见,交流电的大小是随着时间变化而变化的,瞬时值(某一瞬间)的大小在零和正负峰值之间变化,最大值也仅是一瞬间数值,不能反映交流电的做工能力。
于是便引入有效值的概念,其定义为:
如果交流电和直流电分别通过同一电阻,两者在相同的时间内所消耗的电能相等(或所产生的焦耳热相同),则此直流电的数值就叫做交流电有效值的数值。
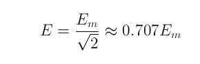
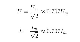
正弦交流电的电动势、电压、电流的有效值分别以E、U、I表示。通常所说的交流电的电动势、电压、电流的大小均值它的有效值。交流电电气设备上标的额定值以及交流电仪表所指示的数值也均为有效值。
理论和实验均已表面、正弦交流电的有效值与最大值之间的关系为:

其他正弦量(电压、电流等)也可以写出文中开头第一个表达式的形式:

电压、电流也都有瞬时值、最大值、有效值。一般瞬时值用小写字母(如u、i等)表示,最大值用大写字母附有下标m字母表示(如Um、Im)。有效值用大写字母(U、I)表示。最大值与有效值的关系为:

电子发烧友App









































评论