资料介绍
1电磁场与移动无线通信
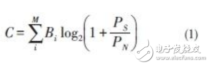
伴随3G 的普及和4G 无线移动通信的来临,以满足高速而大量基站数目随之增加,的数据传输量。1990 年的第2 代移动通信数据传输率小于200kbit/s,到2000 年的第3代移动通信数据传输率小于2Mbit/s,再到2010 年的第4 代移动通信,数据传输率可达到100Mbit/s。这个趋势可由香农信道容量理论来描述。

在(1) 中,,Bi 是信道带宽,PS 是信号强度,PN 是干扰强度。从调变威廉希尔官方网站 的演进过程可看出,为了更有效地提高传输数据量,科学家已把调变方法从时间域转到频率域,再转到码域中。唯一可以继续开拓的只有空间域了,可见将来5G 的威廉希尔官方网站 关键将是空间信道威廉希尔官方网站 。通过增加每个基站的天线数或增加通道数Bi,或增加信号功率对杂波功率比,都可以增加信号通载量。而使用多输入多输出(MIM0) 来增加无线基站的传送数据能力,已是相当普遍的做法了。基站或基站天线数的增加,也已无法让无线信道容量呈线性增加,甚至当天线增加到移动数量后信号容量也无法再提升。从上述观察我们可看出现今的通信威廉希尔官方网站 无论在硬件或软件似乎达到某一极限。这对4G 移动通信的改进以及未来5G移动通信的设计都蒙上一层阴影。是不是现今无线移动通信理论面临无法突破的障碍?并结频宽不足是真实的洇吗? 文章将从电磁理论与威廉希尔官方网站 角度,探讨电磁波传导现象,合香农信道容量理论的实际使用状况进行讨论。
- 《Ansoft14在工程电磁场中的应用》pdf 41次下载
- 电磁兼容之射频电磁场辐射抗扰度试验 37次下载
- 纵场、横场及其在电磁场中的应用综述 2次下载
- 使用MATLAB实现电磁场仿真的报告免费下载 36次下载
- 雷电脉冲电磁场对电站敏感设备的干扰情况是如何的详细资料分析概述 11次下载
- 电磁场与电磁波试题 0次下载
- 电磁场与电磁波 0次下载
- 磁场的测量与描绘 _电磁场基础 2次下载
- 简述电场_磁场_电磁场的屏蔽原理及屏蔽要点 16次下载
- 电磁场与电磁波教材
- 强电磁场对某型无线电引信安全性的影响
- 电磁场的能量和动量
- 电磁场理论视频教程-电磁波
- 电磁场与电磁波pdf
- 工程电磁场导论 0次下载
- 无线通信系统的组成 无线通信系统的工作原理 2162次阅读
- 防止电磁场伤害的措施 1506次阅读
- 语音激光无线通信系统的应用方案及实现 3718次阅读
- 电磁场中的各种静电屏蔽威廉希尔官方网站 解析 7601次阅读
- PCB仿真软件的电磁场求解器分类 4179次阅读
- 浅谈PCB电磁场在不同维度的求解方法及仿真软件 1981次阅读
- 微波EDA电磁场仿真软件评述 2066次阅读
- 了解无线通信威廉希尔官方网站 以及分类 1.3w次阅读
- 智能电表怎样防止外界电磁场干扰 5.7w次阅读
- 博士真情分享:电磁场仿真与片上电感的优化 8911次阅读
- 关于电磁场的屏蔽问题,如何屏蔽 2.2w次阅读
- 如何理解无线通信威廉希尔官方网站 6542次阅读
- 从电磁场观点审视宽频带的无线通信 556次阅读
- 详解无线通信原理和LoRa扩频通信威廉希尔官方网站 4.2w次阅读
- 静电屏蔽、静磁屏蔽和高频电磁场屏蔽知识 9917次阅读
下载排行
本周
- 1电子电路原理第七版PDF电子教材免费下载
- 0.00 MB | 1489次下载 | 免费
- 2单片机典型实例介绍
- 18.19 MB | 92次下载 | 1 积分
- 3S7-200PLC编程实例详细资料
- 1.17 MB | 27次下载 | 1 积分
- 4笔记本电脑主板的元件识别和讲解说明
- 4.28 MB | 18次下载 | 4 积分
- 5开关电源原理及各功能电路详解
- 0.38 MB | 10次下载 | 免费
- 6基于AT89C2051/4051单片机编程器的实验
- 0.11 MB | 4次下载 | 免费
- 7基于单片机和 SG3525的程控开关电源设计
- 0.23 MB | 3次下载 | 免费
- 8蓝牙设备在嵌入式领域的广泛应用
- 0.63 MB | 3次下载 | 免费
本月
- 1OrCAD10.5下载OrCAD10.5中文版软件
- 0.00 MB | 234313次下载 | 免费
- 2PADS 9.0 2009最新版 -下载
- 0.00 MB | 66304次下载 | 免费
- 3protel99下载protel99软件下载(中文版)
- 0.00 MB | 51209次下载 | 免费
- 4LabView 8.0 专业版下载 (3CD完整版)
- 0.00 MB | 51043次下载 | 免费
- 5555集成电路应用800例(新编版)
- 0.00 MB | 33562次下载 | 免费
- 6接口电路图大全
- 未知 | 30319次下载 | 免费
- 7Multisim 10下载Multisim 10 中文版
- 0.00 MB | 28588次下载 | 免费
- 8开关电源设计实例指南
- 未知 | 21539次下载 | 免费
总榜
- 1matlab软件下载入口
- 未知 | 935053次下载 | 免费
- 2protel99se软件下载(可英文版转中文版)
- 78.1 MB | 537791次下载 | 免费
- 3MATLAB 7.1 下载 (含软件介绍)
- 未知 | 420026次下载 | 免费
- 4OrCAD10.5下载OrCAD10.5中文版软件
- 0.00 MB | 234313次下载 | 免费
- 5Altium DXP2002下载入口
- 未知 | 233045次下载 | 免费
- 6电路仿真软件multisim 10.0免费下载
- 340992 | 191183次下载 | 免费
- 7十天学会AVR单片机与C语言视频教程 下载
- 158M | 183277次下载 | 免费
- 8proe5.0野火版下载(中文版免费下载)
- 未知 | 138039次下载 | 免费
电子发烧友App





创作
发文章
发帖
提问
发资料
发视频
上传资料赚积分
评论