资料介绍
交错结构的优势可惠及多个细分市场。 最有用的优势是通过交错ADC更宽的奈奎斯特区增加带宽。 同样,我们首先举两个500MSPS ADC交错建立1000MSPS采样速率的例子。 通过交错两个ADC,可以大幅增加带宽。 注意,fS显示的是一个转换器;交错转换器采样速率等于2 X fS。

两个交错ADC – 奈奎斯特区
它可以为各种不同应用提供优势。 很多设计中的内在系统要求都超前于商用ADC威廉希尔官方网站 。 无论ADC采样速率有多高,市场似乎都要求更高的速率。 交错结构可填补威廉希尔官方网站 空白。 军事和航空应用正要求更高的带宽,以实现更佳的空间识别能力。 此外,在后端通信中也需要增加通道带宽。
就像蜂窝标准增加了通道带宽和工作频段数一样,对ADC可用带宽的要求也越来越高。 在某些市场和应用中,还出现了转移到直接RF采样的需求,这样无线电设计的级数更少,并可移除解调器。 ADC具有足够高的采样速率还有可能降低时钟要求。 因此,将ADC与DAC时钟对齐便是可行的,从而简化系统设计。 在仪器仪表和测量应用中,需要用到更高的带宽,以获取并测量信号。
更高的采样速率能为这些应用提供更多带宽。 它能使频率规划更轻松,并降低通常用于ADC输入端的抗混叠滤波器的复杂程度和成本。
有那么多的优势,您一定会问这些优势的代价是什么。 就像大部分事情一样,天下没有免费的午餐。 交错ADC具有更高的带宽和其他有用的优势,但同时也带来了一些挑战。
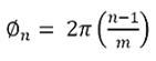
我们能组合使用多少转换器? 让我们简单看一下交错ADC的时钟要求:

m = 2时,此等式很容易求解。 然而,当m等于别的数(比如8)时,时钟要求变得非常复杂。将m代入,并求解8个转换器的等式,得到所需的时钟相位为:0、45、90、135、180、225、270和315度。 若输入时钟频率较低,那问题不大;但采用交错结构的重点就是获得高采样速率。
实际情况中,时钟频率为1GHz。 这意味着时钟电路必须要能划分输入时钟,并创建相距125ps的相位;同时,还必须精确完成此操作。 时钟的任何误差或抖动都会降低性能。

两个交错ADC – 奈奎斯特区
它可以为各种不同应用提供优势。 很多设计中的内在系统要求都超前于商用ADC威廉希尔官方网站 。 无论ADC采样速率有多高,市场似乎都要求更高的速率。 交错结构可填补威廉希尔官方网站 空白。 军事和航空应用正要求更高的带宽,以实现更佳的空间识别能力。 此外,在后端通信中也需要增加通道带宽。
就像蜂窝标准增加了通道带宽和工作频段数一样,对ADC可用带宽的要求也越来越高。 在某些市场和应用中,还出现了转移到直接RF采样的需求,这样无线电设计的级数更少,并可移除解调器。 ADC具有足够高的采样速率还有可能降低时钟要求。 因此,将ADC与DAC时钟对齐便是可行的,从而简化系统设计。 在仪器仪表和测量应用中,需要用到更高的带宽,以获取并测量信号。
更高的采样速率能为这些应用提供更多带宽。 它能使频率规划更轻松,并降低通常用于ADC输入端的抗混叠滤波器的复杂程度和成本。
有那么多的优势,您一定会问这些优势的代价是什么。 就像大部分事情一样,天下没有免费的午餐。 交错ADC具有更高的带宽和其他有用的优势,但同时也带来了一些挑战。
我们能组合使用多少转换器? 让我们简单看一下交错ADC的时钟要求:

m = 2时,此等式很容易求解。 然而,当m等于别的数(比如8)时,时钟要求变得非常复杂。将m代入,并求解8个转换器的等式,得到所需的时钟相位为:0、45、90、135、180、225、270和315度。 若输入时钟频率较低,那问题不大;但采用交错结构的重点就是获得高采样速率。
实际情况中,时钟频率为1GHz。 这意味着时钟电路必须要能划分输入时钟,并创建相距125ps的相位;同时,还必须精确完成此操作。 时钟的任何误差或抖动都会降低性能。
下载该资料的人也在下载
下载该资料的人还在阅读
更多 >
- 电路设计的一些经验总结 42次下载
- 关于蓝桥杯单片机开发板矩阵键盘的一些坑
- Bluetooth 5的一些常见的问题与答案资料下载
- 资深工程师分享对 MOSFET 规格书/datasheet 的理解和一些观点资料下载
- 一些关于射频板PCB的布局、布线原则资料下载
- ADC 的时间交错特性讨论资料下载
- SNMP常用的一些OID详细例表说明
- 关于单片机的一些按键问题和代码详细资料总结
- 如何生成简单脉宽调制所需的基本步骤带你了解一些基本nhet模块的操作 17次下载
- 关于信息治理与云的一些事实 0次下载
- 关于PID一些常用知识 2次下载
- 关于续流二极管的一些问题 23次下载
- 关于红外通信的一些问题知识点 4次下载
- C++面向对象关于MFC的一些简单应用和总结 1次下载
- 关于单形体积的一些不等式
- 分享一些SystemVerilog的coding guideline 558次阅读
- 交错杂散:增益失配的更多数学细节 1084次阅读
- 交错ADC:揭开谜团 1185次阅读
- 交错式ADC的基础知识 1545次阅读
- INCA的一些用法 7951次阅读
- 一些对OpenMP进行优化的方法 1575次阅读
- get与post的请求一些区别 1281次阅读
- 写Java代码的一些技巧分享 1249次阅读
- 一文详细了解ADC时间交错威廉希尔官方网站 2883次阅读
- 干货:一些关于常见开源协议的问题解答 2386次阅读
- 关于学习代码固件ADC精度的5点建议 2902次阅读
- 一些能够解决生活中一些具体问题的常用算法的整理集合 1.7w次阅读
- 关于二叉树一些数据结构和算法相关的题目 3112次阅读
- 一文详解“时间交错威廉希尔官方网站 ” 8177次阅读
- 交错式ADC的基础知识 2662次阅读
下载排行
本周
- 1TC358743XBG评估板参考手册
- 1.36 MB | 330次下载 | 免费
- 2开关电源基础知识
- 5.73 MB | 6次下载 | 免费
- 3100W短波放大电路图
- 0.05 MB | 4次下载 | 3 积分
- 4嵌入式linux-聊天程序设计
- 0.60 MB | 3次下载 | 免费
- 5基于FPGA的光纤通信系统的设计与实现
- 0.61 MB | 2次下载 | 免费
- 651单片机窗帘控制器仿真程序
- 1.93 MB | 2次下载 | 免费
- 751单片机大棚环境控制器仿真程序
- 1.10 MB | 2次下载 | 免费
- 8基于51单片机的RGB调色灯程序仿真
- 0.86 MB | 2次下载 | 免费
本月
- 1OrCAD10.5下载OrCAD10.5中文版软件
- 0.00 MB | 234315次下载 | 免费
- 2555集成电路应用800例(新编版)
- 0.00 MB | 33564次下载 | 免费
- 3接口电路图大全
- 未知 | 30323次下载 | 免费
- 4开关电源设计实例指南
- 未知 | 21549次下载 | 免费
- 5电气工程师手册免费下载(新编第二版pdf电子书)
- 0.00 MB | 15349次下载 | 免费
- 6数字电路基础pdf(下载)
- 未知 | 13750次下载 | 免费
- 7电子制作实例集锦 下载
- 未知 | 8113次下载 | 免费
- 8《LED驱动电路设计》 温德尔著
- 0.00 MB | 6653次下载 | 免费
总榜
- 1matlab软件下载入口
- 未知 | 935054次下载 | 免费
- 2protel99se软件下载(可英文版转中文版)
- 78.1 MB | 537796次下载 | 免费
- 3MATLAB 7.1 下载 (含软件介绍)
- 未知 | 420026次下载 | 免费
- 4OrCAD10.5下载OrCAD10.5中文版软件
- 0.00 MB | 234315次下载 | 免费
- 5Altium DXP2002下载入口
- 未知 | 233046次下载 | 免费
- 6电路仿真软件multisim 10.0免费下载
- 340992 | 191185次下载 | 免费
- 7十天学会AVR单片机与C语言视频教程 下载
- 158M | 183279次下载 | 免费
- 8proe5.0野火版下载(中文版免费下载)
- 未知 | 138040次下载 | 免费
电子发烧友App





创作
发文章
发帖
提问
发资料
发视频
上传资料赚积分
评论