资料介绍
下面我们举例来详细分析开关变压器伏秒容量的测量方法,以及通过对开关变压器伏秒容量的测量,验证开关变压器工作状态的合理性。
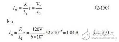
例1:电视机中使用的行扫描回扫开关变压器,简称高压包,其工作原理也属于反激式开关变压器,其初级线圈的电感量为6毫亨,工作电压一般为120V,正程扫描时间(脉冲宽度) 为52 ,逆程扫描时间为12 。检测它的伏秒容量是否设计得合理,或它是否工作于最佳工作状态。
为此,我们可以根据(2-150)式,先计算流过高压包初级线圈的最大电流Im,然后再求其极限电流Imax的值,即:测试时选用迭加电流的值。
把已知参数代入(2-150)式:

根据上面分析,以及图2-55和图2-56,正常工作时,流过高压包初级线圈的最大电流Im不应该超过极限电流值Imax的70%,由此,可以求得流过高压包初级线圈的极限电流Imax为1.49 A 。
上面计算出来的极限电流Imax值,就是用来测试高压包初级线圈的迭加电流的数值。根据图2-54,把电流源的电流设置为1.49 A,即:设置测试高压包初级线圈的迭加电流为1.49 A,然后测试高压包初级线圈的电感;如果测试结果Lx的数值等于或者大于初始电感L0的90%,则说明,高压包初级线圈的伏秒容量设计是合格的,即:高压包铁芯的磁感应强度基本工作于最佳状态范围之内;如果测试结果Lx小于初始电感L0的90%,则说明,高压包初级线圈的伏秒容量余量太小,不合格,即:高压包铁芯的磁感应强度工作于接近饱和区的范围之内,磁滞损耗以及涡流损耗都比较大,并且开关变压器容易出现磁饱和。
对于高压包或开关变压器除了测试伏秒容量的大小之外,还应该检测高压包或开关变压器初级线圈的漏感。正常漏感的数值一般小于初级线圈电感量的2%,如果太大,则说明变压器铁芯留的气隙长度过大,或者开关变压器初、次级线圈的结构或绕线方法不合理。
这里顺便说明,采用图2-54测试时应该注意的地方。图2-54中,隔离电感LT的大小要求是测试电感Lx数值的3倍以上,并且测量高压包初级线圈的初始电感值L0时,最好也要接入电路之中。这里,隔离电感LT可选取20毫亨以上的带矽钢片铁芯的电感,电感的铁芯要留有一定的气隙;电流源可用一个稳压电源与一个大功率电阻串联代替,如图2-57;或用一个稳压电源与一个大功率晶体放大器串联来代替,如图2-58。

在图2-57中,E为稳压电源,R为大功率电阻,阻值范围在1~10欧姆比较合适,阻值太大损耗功率会很大;调节稳压电源的电压输出,就可以调节迭加电流的大小。

在图2-58中,E为稳压电源,Rx为可调电阻,Q为晶体管大功率放大器(必须带散热片);调节稳压电源的电压输出,或改变可变电阻的阻值,就可以改变迭加电流的大小,但晶体管大功率放大器集电极与发射极之间的电压降不要大于10V,否则,晶体管大功率放大器的损耗将很大。一般稳压电源都有电流输出指示,所以在测试电路中不需要另外安装电流表。
- 反激式开关电源变压器的设计.pdf
- 反激式开关电源变压器设计案例分析 307次下载
- 设计开关电源变压器教程免费下载 94次下载
- 各类开关电源变压器设计大全 293次下载
- 高频开关变压器设计及实例分析 44次下载
- 地面数据模拟计算风能参数的合理性分析_高健 0次下载
- 大型变压器直流电阻快速测量方法 38次下载
- 牵引变压器经济运行的分析与计算
- 开关变压器容量与线圈的计算
- 开关变压器的伏秒容量与测量
- 单端反激式变换器变压器工作状态分析
- 开关电源变压器的伏秒容量与测量
- 开关变压器的伏秒容量与测量
- 密码协议形式化分析的计算合理性
- 开关电源变压器的伏秒容量与测量
- 变压器容量的选择与计算 4377次阅读
- 变压器容量的选择原则 1.6w次阅读
- 高频变压器的作用_高频变压器测量方法 1.3w次阅读
- 变压器容量规格_变压器容量单位是什么 8.2w次阅读
- 电力变压器容量选择 7980次阅读
- 开关电源变压器有什么作用和原理及开关变压器好坏检测技巧说明 2.1w次阅读
- 开关变压器伏秒容量的意义_开关变压器伏秒容量的测量详解 4220次阅读
- 如何选择变压器的容量_变压器容量计算公式 6.2w次阅读
- 开关电源变压器的种类_开关电源变压器参数介绍 2w次阅读
- 变压器内部结构图_变压器的容量计算 1.6w次阅读
- 什么是高频变压器_高频变压器工作原理 5.4w次阅读
- 开关变压器参数_开关变压器绕制方法 1.8w次阅读
- 开关变压器工作原理及作用 7868次阅读
- 为什么双激变压器危险系数这么高?解析变压器并联的方式方法 2433次阅读
- 开关变压器的工作原理与设计(1):对开关变压器的伏秒容量进行检测 8644次阅读
下载排行
本周
- 1电子电路原理第七版PDF电子教材免费下载
- 0.00 MB | 1490次下载 | 免费
- 2单片机典型实例介绍
- 18.19 MB | 92次下载 | 1 积分
- 3S7-200PLC编程实例详细资料
- 1.17 MB | 27次下载 | 1 积分
- 4笔记本电脑主板的元件识别和讲解说明
- 4.28 MB | 18次下载 | 4 积分
- 5开关电源原理及各功能电路详解
- 0.38 MB | 10次下载 | 免费
- 6基于AT89C2051/4051单片机编程器的实验
- 0.11 MB | 4次下载 | 免费
- 7蓝牙设备在嵌入式领域的广泛应用
- 0.63 MB | 3次下载 | 免费
- 89天练会电子电路识图
- 5.91 MB | 3次下载 | 免费
本月
- 1OrCAD10.5下载OrCAD10.5中文版软件
- 0.00 MB | 234313次下载 | 免费
- 2PADS 9.0 2009最新版 -下载
- 0.00 MB | 66304次下载 | 免费
- 3protel99下载protel99软件下载(中文版)
- 0.00 MB | 51209次下载 | 免费
- 4LabView 8.0 专业版下载 (3CD完整版)
- 0.00 MB | 51043次下载 | 免费
- 5555集成电路应用800例(新编版)
- 0.00 MB | 33562次下载 | 免费
- 6接口电路图大全
- 未知 | 30320次下载 | 免费
- 7Multisim 10下载Multisim 10 中文版
- 0.00 MB | 28588次下载 | 免费
- 8开关电源设计实例指南
- 未知 | 21539次下载 | 免费
总榜
- 1matlab软件下载入口
- 未知 | 935053次下载 | 免费
- 2protel99se软件下载(可英文版转中文版)
- 78.1 MB | 537791次下载 | 免费
- 3MATLAB 7.1 下载 (含软件介绍)
- 未知 | 420026次下载 | 免费
- 4OrCAD10.5下载OrCAD10.5中文版软件
- 0.00 MB | 234313次下载 | 免费
- 5Altium DXP2002下载入口
- 未知 | 233045次下载 | 免费
- 6电路仿真软件multisim 10.0免费下载
- 340992 | 191183次下载 | 免费
- 7十天学会AVR单片机与C语言视频教程 下载
- 158M | 183277次下载 | 免费
- 8proe5.0野火版下载(中文版免费下载)
- 未知 | 138039次下载 | 免费
电子发烧友App





创作
发文章
发帖
提问
发资料
发视频
上传资料赚积分
评论