电子发烧友App

硬声App

0
  • 聊天消息
  • 系统消息
  • 评论与回复
登录后你可以
  • 下载海量资料
  • 学习在线课程
  • 观看威廉希尔官方网站 视频
  • 写文章/发帖/加入社区
创作中心

完善资料让更多小伙伴认识你,还能领取20积分哦,立即完善>

3天内不再提示

电子发烧友网>通信网络>通信设计应用> - 基于三分频扬声器系统分频器电感的精确设计

- 基于三分频扬声器系统分频器电感的精确设计

    综上所述,可得出这样的结论:对与负载串联的电感,一般按阻尼要求R≤RL/20确定其电阻值。例如,对8Ω负载,L2的电阻不应高于0.4Ω;对4Ω负载则不应高于0.2Ω。对与负载并联的电感按R≤RL/10确定其阻抗值。例如对8Ω负载,L1的电阻不应高于0.8Ω;对4Ω负载,则不应高于0.4Ω。按这样的要求可能许多著名的扬声器系统都达不到指标。  

    对同一电感量,其绕组结构可任意多。因此空心电感线圈必然存在一个最佳结构尺寸,它应使电感量L对其电阻R之比L/R达到最大值。即可找出一套合理绕制空心电感线圈的经验计算公式,与其它方法得出的结构尺寸相比,相同的电感值具有最小的阻抗值。  

    其实电感结构是否最佳很容易从其外形判别。如果绕组截面大致呈正方形,且绕组内径为绕组宽度(即绕组高度)的4倍,那么基本上属于最佳结构。  

    结构最佳的电感线圈应该用料省、体积小,并可使电感量和电阻同时满足预先给定的数值。  

    由于对每一电感值和电阻值均有一个最佳结构尺寸,因此应舍弃传统的计算方法求取、制作电感。因为传统方法不经测试修正难以满足最佳要求。  

    下面介绍改用经验公式的计算方法,此方法能满足最佳要求。而且它对一些特殊结构尺寸的电感计算精确度也很高。  

4.2最佳结构电感的计算  

    设所需电感量为L(μH),其阻抗值为R(Ω),先求出绕组的结构参数  


    参数b是绕组的高度(宽度),决定了绕组的内径和外径。所以求得b后即可按图4制作绕组骨架,其中骨架外径适当加大10%左右,然后求取  



其中,N为绕组匝数,d为导线铜芯直径,i为导线总长度,w为导线总重量。  

    根据铜芯直径d从线规表中选取对应的标称直径,由导线总重量可选购足够用量的高强度漆包线。  

    采用该计算方法绕制的电感经与实验对比,误差一般小于5%,绕制后是否测量已无关紧要了,基本上能满足直接应用的要求。  

    由于以上绕制方法中,实际使用导线铜芯直径D总是选得比计算直径d大一些,从而造成绕制后的电感量总比计算值低些,显然,加长绕制导线长度,即多绕几匝就可使实际电感量更接近计算值。实际绕制导线的总长度可由  

k=0.4[(D/d)-i] (6)  

I(=i+k)i (7)  

求出。其中k为实际导线的加长系数,I为实际绕制导线总长度,把长度I全部绕入骨架即可。D为实际导线直径。  

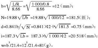
    如计算1 mH、电阻值为0.8Ω的空心电感线圈的最佳结构尺寸及绕制参数。将数值代入式(1)~式(5)得



    骨架的中心轴外径取2b=24 mm,骨架两夹板间距为b=12 mm,骨架夹板外径取4b=48 mm,(实际制作时可加大10%)。计算结果如下  

b=12 mm;2b=24 mm;N=181.5匝;d=0.75 mm;i=20.52 m;w=81 g。  

    如果采用导线直径实际为D,则用k=0.4([D/d)-i],I(=i+k)i进行修正。采用该方法计算出L1,L2,L3,L4的值,照图装配即可。  

    作为计算验证,笔者按Hi-Vi S8 plus扬声器系统分频器的参数制作了一个家用扬声器系统。其中2只0.55 mH和0.18 mH的电感按上述结果计算制作,实测电感值为0.565 mH和0.187 mH。误差不超过5%。说明此法绕制的电感量准确。通常该计算法即使没有电感表测量,电感误差也不超过5%。  

    将该计算法与以往的图表法比较,还可体会出该方法的优点:用料省、体积小、不需绘制图表、误差小。
上一页12全文
收藏

声明:本文内容及配图由入驻作者撰写或者入驻合作网站授权转载。文章观点仅代表作者本人,不代表电子发烧友网立场。文章及其配图仅供工程师学习之用,如有内容侵权或者其他违规问题,请联系本站处理。 举报投诉

评论

查看更多

相关推荐

音箱三分频器电路图(四款模拟电路设计原理图详解)

本文主要介绍了音箱三分频器电路图(四款模拟电路设计原理图详解)。音箱分频器是一种组合式滤波器,可以将不同频段的声音信号区分开来,分别给于放大,然后送到相应频段的扬声器中再进行重放,对音质的好坏
2018-02-01 09:52:59155462

029lan的pwm预分频器设置最少要为1吗,即2分频,设为0时没有输出是为什么?

如题,这样一来,pwm的时钟哪怕是来自HCLK(029不支持PLL作为pwm时钟)最高50MHZ,经预分频器最少2分频的话,时钟最高只有25Mhz了?M0518pwm的预分频器可以设为0,不分频,并且可以用PLL作为时钟,最高频率可以达到100Mhz,相差4倍?
2023-06-19 08:14:45

32分频器电路

谁能解析一下这个32分频器的具体工作原理?或者有没40103和4013的中文资料?在线等,谢谢!
2017-05-01 17:34:53

60分频器实验怎么做啊

这是实验指导书上的一个图,60分频器。可是怎么都做不出来。线路接了好几次没有问题。是不是还有什么地方是需要注意的。
2014-01-08 10:51:40

74LS194设计16分频器

如何使用74LS194设计一个16分频器啊求电路图!
2019-11-30 16:23:18

三分频音箱比二分频好在哪看了就知道

  首先我们要弄明白,什么是二分频器,什么是三分频器?二分频器是由一个高通滤波和一个低通滤波组成,而三分频器又有增加了一个带通滤波,由于滤波分频电附近呈现出一种带有一定斜率的衰减特性,在理
2021-01-28 16:58:56

分频电路由什么构成?2.4GHz动态CMOS分频器设计难吗?

查询了一些资料,知道了分频器是锁相环电路中的基本单元.是锁相环中工作在最高频率的单元电路。传统分频器常用先进的高速工艺威廉希尔官方网站 实现。如双极、GaAs、SiGe工艺等。随着CMOS器件的尺寸越来越小,可用
2021-04-07 06:17:39

分频器电路材料BOM表

分频器是一种产生的振荡频率为其输入频率整约数的非线性器件。 是指将不同频段的声音信号区分开来,分别给于放大,然后送到相应频段的扬声器中再进行重放。在高质量声音重放时,需要进行电子分频处理。
2019-07-23 07:38:02

扬声器分频器组件资料分享

描述扬声器分频器组件
2022-08-11 06:33:01

ATmega16 预分频器的使用问题求助

的。比如,先在TC0上设置了64分频,然后又在后面TC1上设置无预分频,那么他们还是按照各自的设置运行,不会统一为64或者无预分频。我这么理解对吗?因为刚接触16,对预分频器的使用还不是很熟悉,所以希望有人能帮我解惑。
2013-07-26 09:49:08

DSP音频电子分频器构成

想开发一个相对小巧的DSP音频分频器模块,可方便的加入到各种功放箱中。可设成2.3.4分频可选。分频点斜率可设。有单片MCU完成人机界面(简单的)合芯片各控制功能。朋友推荐过ADAU1701刚简单流览了一下,没法肯定是最好方案。当然上手快也很重要
2018-10-10 14:16:11

IPP-1044分频器

``IPP-1044分频器产品介绍产品型号:IPP-1044产品名称:分频器 IPP-1044产品参数频率(MHz)100-500功率(平均瓦特)1000VSWR(最大值)1.40:1振幅平衡
2019-04-29 15:23:06

IPP-1177分频器

`IPP-1177分频器产品介绍产品型号:IPP-1177产品名称:分频器 IPP-1177产品参数Frequency(MHz)80-1000Power(Average Watts)1500VSWR
2019-04-29 15:33:03

为什么STM32CubeMX中Cortex系统定时可选择1分频

SysTick时钟源是来自哪里? 为什么STM32CubeMX中Cortex系统定时可选择1分频(和8分频)?
2021-11-24 07:51:29

了解分频器电路图

分频器上无大含义,价钱却成倍上升。不要盲目崇拜那些进口货洋电容,这类电容并不一定能显着改进音质,价钱却高得惊人,有时1只10 uF的电容往往超越一只中低频扬声器单元的价格。  分频线圈L的内阻R0巨细
2013-06-04 14:48:54

分频电路,四分频电路

观察输出波形并加以记录。电路有用到:74ls90 pdf .三分频电路d触发构成2分频电路用多级2进计数分频电路脉冲分频电路双稳态分频电路图任意分频电路图1/60分频电路用VHDL语言实现3分频电路SN7474N构成简单的分频电路[此贴子已经被作者于2009-6-22 8:04:20编辑过]
2009-06-22 08:02:10

利用Verilog实现奇数倍分频

从零开始计数。以此循环下去。这种方法可以实现任意的偶数分频。第二,奇数倍分频:奇数倍分频常常在论坛上有人问起,实际上,奇数倍分频有两种实现方法:首先,完全可以通过计数来实现,如进行三分频,通过待分频时钟
2019-06-14 06:30:00

单数分频器Verilog

本帖最后由 鼻子抽筋 于 2012-3-7 09:57 编辑 三分频电路:[code]module clk_div3(clk,reset,divclk);inputclk
2012-03-07 09:56:55

双向扬声器模拟有源分频解决方案

描述此 TI 验证设计针对双向扬声器实施了模拟有源分频解决方案,适用于录音室或家庭高保真系统。低音扬声器信号通道包括障板跌落补偿的低通倾斜电路和 4 阶 Linkwitz-Riley 低通滤波
2018-11-27 11:34:50

基于FPGA的任意分频器设计

的时钟触发计数进行计数,当计数从0计数到N/2-1时,将输出时钟进行翻转,并给计数一个复位信号,以使下一个时钟开始从零计数。以此循环,就可以实现偶数倍分频。以10分频为例,相应的verilog
2014-06-19 16:15:28

基于FPGA的任意数值分频器的设计

,故本设计具有很强的实用价值。【关键词】:FPGA;;VHDL;;分频器【DOI】:CNKI:SUN:DZGS.0.2010-02-018【正文快照】:0引言FPGA作为未来数字系统的3大基石(FPGA
2010-04-26 16:09:01

多配置扬声器分频器的资料分享

描述扬声器音频分频器多配置扬声器分频器适用于70/100v 和低阻抗分频器。威廉希尔官方网站 细节/组件1PCB LSCO[/td][/td]LSCO1.2912变压 100vT103克朗4路ST1/334和果
2022-09-12 07:39:29

如何利用Verilog实现奇数倍分频

从零开始计数。以此循环下去。这种方法可以实现任意的偶数分频。第二,奇数倍分频:奇数倍分频常常在论坛上有人问起,实际上,奇数倍分频有两种实现方法:首先,完全可以通过计数来实现,如进行三分频,通过待分频时钟
2019-07-09 09:11:47

怎样去提升高端有源扬声器的性能?

有源扬声器的架构是如何构成的?无源分频器和有源分频器的区别在哪里?
2021-06-02 06:27:57

想做一套音箱。不知道该做三分频还是二分频的,第一次做

`不知道该做三分频还是二分频的,第一次做,明天就开工。大家谈谈有啥要注意的没有,我现在东西都有了。`
2012-12-19 17:26:24

三分频电路图

小弟求一张三分频的电路图,以及指导扬声器信息、算出各配件的方法,不胜感激.....谢谢各位了
2012-08-03 08:50:41

分频器电路图及其算法

三分频的电路图,以及知道喇叭信息如何算出其他元件的方式
2012-08-01 16:10:12

求助 三分频程序出错

初学FPGA,自己编写了一个三分频程序,有错,代码如下:library ieee;use ieee.std_logic_1164.all;use
2012-11-29 22:51:04

求教贴,无分频扬声器和有分频扬声器差在哪里?

一直都听别人说,扬声器分频器的好。但是却不知道好在哪里。为什么好。所以特来求教各位高手解惑。 一些卖音响的人都说有分频器的好。我也知道一个扬声器不能表达所有的频响范围,比如说频响范围为
2012-08-30 22:24:57

汽车音响中的扬声器

扬声器、同轴扬声器、超低音扬声器。今天我着重讲下套装扬声器。套装扬声器:套装扬声器是由高音扬声器(高音)、中音扬声器分频器等组成的。常用的有二分频三分频两种,其优点是有利于声场的定位。由于不同的扬声器
2018-12-25 11:10:51

汽车音响,意大利AD-X2MM二分频专用测评

,在音场构建和音像的聚焦与定位上也具有更精确的提升空间。而这款X2MM二分频分频器在二分频套装喇叭的使用中,出来的声音同样很好,区别在于三分频比二分频系统更复杂、更难调,多出来的一对单元的安装位置也不是随便选的,威廉希尔官方网站 不到家的话,效果往往比两分频还糟糕。所以分频器不是一味追求更多阶的,也不是追求更贵的。`
2018-11-19 10:03:25

三分频电路设计

三分频电路设计[hide][/hide]
2009-06-22 10:52:05

用CD4013双D触发做的脉冲4分频器资料推荐

用CD4013双D触发做的脉冲4分频器
2021-05-13 07:25:00

用于SOC或块级时钟的可配置分频器

关键时序路径。基于多路选择分频器基于多路选择分频器的实现如下所示,随附进行三分频时的波形样本。基于多路选择分频器让时钟流经2:1多路选择的选择引脚。多路选择数据引脚的使能值随着输入
2012-12-11 14:43:20

纯中音分频器如何设定分频频率?

中音喇叭频率范围600-8500Hz,分频器的电容和电感如何计算获得其值?
2022-09-30 14:10:33

纽博华世 意大利AD 60.3 三分频套装喇叭 测评:追随内心所“响”

三分频套装喇叭频响范围 45-20000Hz额定功率 120W灵敏度 80db抗阻 4Ω组合 2*(W60+T10)+X3Vextra(套装不包含) `
2019-12-10 12:43:48

请叫大神帮我画出分频器电路图

的是三分频,就是没搞懂这个意思,右边单独两颗线,那是接这个低音喇叭的,看来看去没有找到电线圈,居然是直接低音。请大神们分析一下分频器电路,谢谢
2023-06-01 22:41:05

请问ADI分频器的类型有什么不同?

我想对2GHz的正弦波(相位噪声很低)进行16分频分频出来的125M信号输入给FPGA,想选用ADi的分频器实现分频功能,我有以下几个问题:1.我查了ADi的分频器,分为(1)时钟分频器,(2
2019-01-11 13:39:43

请问D触发结构的五分频器逻辑电路怎么实现?

D触发结构的五分频器逻辑电路
2019-09-11 11:29:19

请问PWM预分频器分频器和定时的分辨率是多少?

PWM预分频器分频器和定时的分辨率是多少?
2020-12-07 06:07:09

请问哪里可以研制覆盖10GHz,100分频分频器

想知道哪里有公司可以研制10GHz,100分频分频器?谢谢!
2018-09-11 10:42:51

请问大家有什么方法可以优化4分频器的输出波形呢?

采用伪差的结构搭的4分频器,实现了4分频的效果,但是4分频的输出波形失真严重,频率再往上走,结果更恶化,请问大家有什么方法可以优化输出波形的呢?(本结构中每个锁存没有输出保持单元)如何设计能够输出不失真的正弦波呢?
2021-06-25 07:28:27

音箱分频器电感的制作

`音箱分频器电感的制作分频器线圈用线均为0.1mm. 电感量(mH)圈数0.3900.35950.51140.651300.81431.01601.51952.02213.0284漆包线在φ32mm骨架上多层平绕,绕好后脱胎用线扎紧`
2013-08-30 22:12:50

音箱分频器有什么作用?

分频器的使用问题音响威廉希尔官方网站 分频器是一种可以将声音信号分成若干个频段的音响设备。我们知道,声音的频率范围是在20Hz—20kHz之间,祈望仅使用一只扬声器就能够保证放送、20Hz—20kHz这样宽频
2019-11-01 09:10:30

高保真扬声器系统设计的探索

高保真扬声器系统设计的探索【作者】:邓汉波;【来源】:《电声威廉希尔官方网站 》2010年02期【摘要】:综合利用客观的测量结果、计算机模拟分析结果和主观的听感音质评价结果,进行了一个二分频高保真扬声器系统
2010-04-22 11:29:38

Hi-Fi三路有源分频器

Hi-Fi三路有源分频器:此立体声三路有源分频器与三路扬声器系统配用,可避免无源分频网络的缺点,使扬声器获得最佳的功率电平。什么是有源分频器?为什么需要有源分频器 绝大多
2009-11-27 16:36:03919

定阻型功率分频器的设计与制作(三)-二阶功率分频器

定阻型功率分频器的设计与制作(三)-二阶功率分频器
2009-12-02 15:48:1976

高保真三分频扬声器系统分频器电感精确设计

高保真三分频扬声器系统分频器电感精确设计:改变以往较理论化的设计模式,采用了一种更合理、科学和实验化的设计方法计算高保真三分频扬声器系统分频器电感,这是设
2009-12-15 10:14:49274

分频器设计与制作 (电子书)

分频器设计与制作 (电子书):分频器的基本原理,分频器设计,分频频率和截止带衰减率的选择与使用,元件的选配及要求等内容,电感线圈的设计与制作。
2010-03-29 10:53:02702

UXM15P-预分频器 DC-20 GHz,2/4/8分频

 UXM15P-预分频器DC-20 GHz,2/4/8分频UXM15P是一款低噪声高精度分频器,具有二进制2/4/8模式和多模4/5/6/7/8/9模式。该器件具有差输入和、输出可调输出
2024-02-29 13:57:30

电感耦合雪崩型分频器与DIY音箱

电感耦合雪崩型分频器原理框图 音箱的制作威廉希尔官方网站
2010-09-23 17:28:16152

分频器作用及分频点的选择基础

分频器的作用: 在一个扬声器系统里,人们把箱体、分频电路、扬声器单元称为扬声器系统的三大件,而分频电路对扬声器系统能否高质量地还原电声信号起着极其重
2006-04-19 16:51:2910543

扬声器与简单高低音分频器连接电路图

扬声器与简单高低音分频器连接电路图
2007-11-24 00:28:504962

分频系数可变的分频器

分频系数可变的分频器
2009-04-11 10:18:261206

具有奇次和偶次分频分频器

具有奇次和偶次分频分频器
2009-04-11 10:22:12880

分频电路

分频电路 在一个扬声器系统里,人们把箱体、分频电路、扬声器单元称为扬声器系统的三大件,而分频电路对扬声器系统能否高质量地还原电声信号起着
2009-06-12 14:35:106578

#硬声创作季 分频器

分频器DIY
Mr_haohao发布于 2022-10-21 19:23:54

跟大家聊聊分频器。 #Hifi #分频器 #发烧音响 #硬声创作季

分频器DIY分频
Hello,World!发布于 2022-10-25 08:25:36

什么是分频器 分频器介绍

什么是分频器 分频器介绍     分频器是指将不同频段的声音信号区分开来,分别给于放大,然后送到相应频段的扬声器中再进行重放
2010-02-05 17:51:103676

调音台教程之分频器扬声器和音箱

调音台教程之分频器扬声器和音箱 一、 分频分频器 分频是指将音频信号分成高
2010-04-19 15:04:224505

采用10英寸扬声器制作的三分频音箱

本文介绍一款采用10英寸扬声器单元制作的三分频音箱。   一、材料准备: 扬声器均采用国产南鲸牌。低音型号:YD270-8B(布边涂胶盆80W),中音型号:YDZ176-8X(50W),高音型号:YD
2010-08-31 09:25:3922982

教你分频器作用及如何选择分频

分频器的作用:  在一个扬声器系统里,人们把箱体、分频电路、扬声器单元称为扬声器系统的三大件,而分频电路对扬声器系统能否高质量地还原电声信号起着极其重要的作
2010-10-27 11:56:4622155

什么是分频器_分频器的主要参数(分频点、路、阶)

什么是分频器 分频器是指将不同频段的声音信号区分开来,分别给于放大,然后送到相应频段的扬声器中再进行重放。在高质量声音重放时,需要进行电子分频处理。 分频器是音箱内的一种电路装置,用以将输入的模拟
2017-11-18 11:49:3046431

分频器有哪些_分频器分类

分频器分为主动式、被动式、脉冲分频器三种。主动式电子分音器的原理就是要把适当频率讯号传给适当的单体,被动式分音器“功能、用途”是介于扩大器与喇叭之间,由于单一喇叭无法达到“全频段响应”,脉冲分频器利用汉稳态电路的计数功能实现分频的电路,又称为数字分频器
2018-01-10 15:36:2010795

汽车音响分频器的作用

音箱分频器可以将声音信号分成若干个频段。如二分频器就是由一个高通滤波器和一个低通滤波器组成。三分频则又增加了一个带通滤波器。分频器是音箱中的“大脑”,对音质的好坏至关重要。可以看出,分频器充分利用的电容器和线圈的特性达到分频
2018-02-06 10:54:0316285

音箱分频器中电容电阻电感线圈各有什么作用

本文开始介绍了音箱分频器工作原理,其次介绍了音箱分频器电路及电路的维修方法,最后介绍了音箱分频器中电容电阻电感线圈的作用以及音箱分频器用电感线圈的要求。
2018-04-13 09:15:0563102

分频器是什么东西_音箱分频器的结构、特点

本文首先介绍了什么是分频器,其次阐述了音箱箱体及音箱分频器结构和原理,最后介绍了音箱分频器特点和作用。
2018-05-25 17:47:1611413

一文解析主动分频器和被动分频器的优缺点

本文首先介绍了分频器的分类及电子分频器的工作原理,其次介绍了主动分频器的优缺点,最后介绍了被动分频器的优缺点,具体的跟随小编一起来了解一下。
2018-05-28 14:52:3147204

专业术语音箱、扬声器分频器、功放详解

本文主要详解音箱、扬声器分频器、功放,首先介绍了音箱的组成、原理、分类及性能指标,其次介绍了扬声器的原理和使用方法,最后详细的阐述了分频器、功放的原理及作用,具体的跟随小编一起来了解一下。
2018-05-29 11:24:356767

分频分频点简单计算,二分频器制作电路图

一个分频器设计的参考公式,在实际中,分频器的各元件数值可能与这相比有相当大的不同,这是因为扬声器的阻抗特性并不是线性的,而是随着频率的升高同样也在上升
2018-08-13 10:38:12100957

三分频扬声器系统分频器电感精确设计,Coil design

三分频扬声器系统分频器电感精确设计,Coil design 关键字:分频器电感设计,音响分频器设计 三分频扬声器系统分频器电感精确
2018-09-20 19:49:253862

音箱分频器有什么作用

使用分频器可以将高频信号送到高音扬声器中,低频信号送到低音扬声器中,高、低频信号各行其道,尽可能大地利用了各自扬声器的工作频带优势,以保证不同工作频段的扬声器充分发挥作用,使各频率的放音特性更加均衡一致。
2019-02-26 14:18:0615411

分频器的定义及在扬声器系统中的应用

要做到将整个音频范围(20Hz-20kHz)的完整重地重放出来,就要求采用多个不同的扬声器来分别重放高,中和低不同频段的声音。让不同的扬声器分别重播不同的声音频带,就要使用合适的分频网络。分频网络,又称为分音器,分频器,或滤波器。在实际的设计中,会受到诸多变量的影响,所以是一个非常复杂的工作。
2019-07-03 14:04:434969

什么是音箱分频器呢?音箱分频器的电路又该如何规划呢?

音箱分频器可以将声音信号分成若干个频段。如二分频器就是由一个高通滤波器和一个低通滤波器组成。三分频则又增加了一个带通滤波器。分频器是音箱中的“大脑”,对音质的好坏至关重要。
2019-10-08 10:11:328077

音响的分频器有什么样的作用?

不同扬声器的工作频率是不一样的,一般来说口径越大的扬声器其低频特性也越好,频率下潜也越低。电子分频器可以提供不同扬声器各自需要的最佳工作频率,弥补单元在某频段里的声缺陷,让各种扬声器更合理、更安全的工作。
2019-10-09 09:07:5519804

分频器的种类

优点是在于多路扬声器中,每一只都可视为独立的部分。如果采用了串联式的分频器,任一个零件都可能会影响到高通与低通的特性。汽车音响里所应用的都是并联式分频器
2019-10-09 09:12:564107

解析三分频扬声器系统分频器设计

采用功率分频扬声器系统结构简单、成本低,而且又能获得很高的放音质量,因而在现代高保真放音系统中应用最为普遍。其性能的好坏与扬声器的各项指标以及分频电路、电感元件的性能、精度有密不可分的关系,精确计算电感参数便是成功的关键。
2019-10-09 09:50:2219240

三分频最佳分频点是多少?

分频点是分频器分配给每个扬声器单元所承担的频响范围的标记,是根据扬声器单元的音频表现能力(单元振膜有效直径决定的边界频率)而定的;那么,三分频最佳分频点是多少?
2019-10-09 09:56:3850735

三分频音箱的优缺点

另外从成本上看,三分频单元更多,分频器也需要更复杂,成本也更高,所以三分频的效果好。当然如果作为DIYER来说,简单化比较好,两分频更加容易做。
2019-10-10 09:06:3832262

三分频扬声器电路图

BL1是高音扬声器,BL2是中音扬声器,BL3是低音扬声器,电路中的电容是分频电容,电感分频电感
2019-10-16 11:38:3436482

音箱分频器的作用_音箱分频器电容的性能要求

分频器的功能则相当于音箱中的“大脑”,分频器对音质的好坏起到了至关重要的作用。使用分频器可以将高频信号送到高音扬声器中,低频信号送到低音扬声器中,使高、低频信号各行其道,尽可能的发挥各自扬声器的工作
2019-12-02 08:47:2718923

音箱分频器的调试方法

依据分频器计划时都是按恒阻抗法核算的原理,选用了先用规范电阻替代扬声器分频网络进行调试,使之契合其规范衰减斜率,然后去掉电阻,接上扬声器并加上阻抗校对网络再从头进行调试的办法获得成功,实习试听
2020-09-26 09:29:4815454

音箱的分频器是什么?

分频点是指两个相邻扬声器(二分频的高,低音;三分频的高,中,中低音)的频率响应曲线在某一频率上的相交点,它通常为两个扬声器中的–3dB点频率,因为–3dB点为功率输出的一半,又称半功率点。
2021-05-15 16:42:124905

分频器的主要作用是什么

分频器又称为分频网络。分频器的主要作用就是在音频系统中把全频带音频信号分为不同的频段后送到对应的工作频率的扬声器,使它们得到合适频带的激励信号,再进行重放。例如,在二分频的音箱中,通过高通滤波器分类出较高的频率供给高音扬声器,通过低通滤波器分离出较低的频率供给低音扬声器
2022-04-12 15:24:506163

PCB扬声器分频器组件

电子发烧友网站提供《PCB扬声器分频器组件.zip》资料免费下载
2022-07-27 14:59:274

扬声器音频分频器开源分享

电子发烧友网站提供《扬声器音频分频器开源分享.zip》资料免费下载
2022-08-18 10:50:363

已全部加载完成