绕组折算:由于变压器一、二次侧绕组的匝数为N1N2,绕组的感应电动势E1E2,这就给分析变压器的工作特性和绘制相量图增加了困难。为了克服这个困难,常用一假想的绕组来代替其中一个绕组,使之成为变比k=1的变压器,这样就可以把一、二次侧绕组联成一个等效电路,从而大大简化变压器的分析计算。这种方法称为绕组折算。折算后的量在原来的符号上加一个上标号“′”以示区别。折算只是人为地处理问题的方法,它不会改变变压器运行时的电磁本质。
需要注意的一点是:习惯上,我们都是将变压器二次侧数据折算到一次测。
(1)二次侧电动势和电压的折算值
由于折算后的二次绕组和一次绕组有相同的匝数,根据电动势与匝数成正比的关系可得:

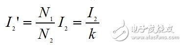
(2)二次侧电流的折算值:
根据折算前后一二次绕组磁动势不变的原则,可得:


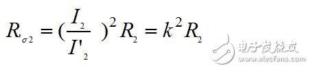
(3)二次侧阻抗的折算值
根据折算前后二次绕组的铜损耗不变的原则,可得:

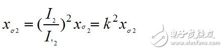
由折算前后漏磁通及无功损耗不变,得:

所以,漏阻抗的折算值为:

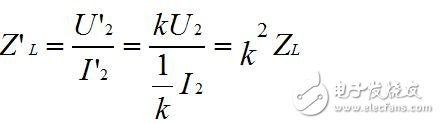
负载阻抗的折算值:

变压器的等效电路:
根据折算后的方程,可以作出变压器的等效电路。


由简化等效电路可知,短路阻抗起限制短路电流的作用,由于短路阻抗值很小,所以变压器的短路电流值较大,一般可达额定电流的10~20倍。
变压器负载时的相量图:
作相量图的步骤——对应T型等效电路, 假定变压器带感性负载。

作相量图的步骤(假定带感性负载)——对应简化等效电路
由等效电路可知

根据方程可作出简化相量图

