0 引言
太阳能光伏威廉希尔官方网站 是将太阳能转化为电力的威廉希尔官方网站 ,其核心是半导体物质的光电效应。最常用的半导体材料是硅。在太阳电池表面形成一层减反射薄膜是提高太阳电池的光电转换效率比较可行且降低成本的方法。应用PECVD(等离子体增强化学气相沉积)系统,采用SiH4和NH3气源以制备氮化硅薄膜。研究探索了PECVD生长氮化硅薄膜的基本物化性质以及在沉积过程中反应压强、反应温度、硅烷氨气流量比和微波功率对薄膜性质的影响。通过大量实验,分析了氮化硅薄膜的相对最佳沉积参数,并得出制作战反射膜的优化工艺。
1 减反射膜原理
在了解减反射薄膜原理之前,要先了解几个简单的概念:第一,光在两种媒质界面上的振幅反射系数为(1-ρ)/(1+ρ),其中ρ为界面处两折射率之比。第二,若反射光存在于折射率比相邻媒质更低的媒质内,则相移为180°;若该媒质的折射率高于相邻媒质的折射率,则相移为零。第三,光因受薄膜上下两个表面的反射而分成2个分量,这2个分量将按如下方式重新合并,即当它们的相对相移为180°时,合振幅便是2个分量振幅之差;称为两光束发生相消干涉。

如图1所示膜有2个界面就有2个矢量,每个矢量表示一个界面上的振幅反射系数。如果膜层的折射率低于基片的折射率,则每个界面上的反射系数都为负值,这表明相位变化为180°。当膜层的相位厚度为180°时,即膜层的光学厚度为某一波长的1/4时,则2个矢量的方向完全相反,合矢量便有最小值。如果矢量的模相等,则对该波长而言;2个矢量将完全抵消,于是反射率为零。镀制有减反射薄膜的太阳电池的反射率R为:
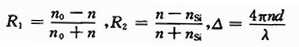
式中:R1,R2分别为外界介质与膜和膜与硅表面上的菲涅尔反射系数;△为膜层厚度引起的位相角。其中:
式中:n,n0,nSi分别为外界介质、膜层和硅的折射率;λ入射光的波长;d为膜层的实际厚度;nd膜层的光学厚度。当波长λ0为光的垂直入射时,

因此,完善的单层减反射薄膜条件是膜层的光学厚度为1/4波长,其折射率为基片和入射媒质折射率相乘积的平方根。
