在刚脱开电网的高压并联电容器的端子间存在一定的剩余电压。这种剩余电压如不能及时下降到允许值以下,会对操作人员的安全及电容器的安全运行带来危害。所以在大部分高压并联电容器中都装设有内放电电阻。国家标准规定,这些装设在电容器中的放电电阻应能在电容器脱开电网后的10min内将电容器端子间的剩余电压从
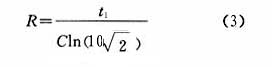
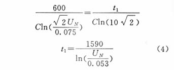
![]() 式中:R—内放电电阻(MΩ); t—电压从 降到UR的时间(s); C—电容器的电容(μF); UN—电容器的额定电压(kV); UR—电容器的剩余电压(kV) 将t=10×60s,UR=0.075kV代入式(1)可得: ![]() 为了防止电容器在再投入时产生过大的涌流,国家标准还规定“当电容器投入运行时,其端子间的剩余电压应不超过其额定电压的10%”,现在将UR=0.1UN代入(1)式得: ![]() 式中:t1—电容器端子间的剩余电压从降低到0.1UN的时间 因为是同一台电容器,所以其内部的放电电阻相同。由式(2)和式(3)可得: ![]() 即,电容器再投入的最小时间间隔可用式(4)来计算。 举例:额定电压为 ![]() |
高压并联电容器再投入的最小时间间隔
2009年11月26日 10:23 www.obk20.com 作者:佚名 用户评论(0)
非常好我支持^.^
(1) 100%
不好我反对
(0) 0%
相关阅读:
- [电子说] TVS二极管可以并联使用吗 2024-12-05
- [电子说] 精密高压开关:实现安全、可靠性和可重复性 (一) 2024-12-05
- [电子说] 安泰:高压放大器在金属材料的静电悬浮过程中的应用 2024-12-05
- [电子说] MCU如何提升高压系统的实时性能 2024-12-05
- [电子说] MCU如何增强高压实时控制系统中的故障检测功能 2024-12-05
- [电子说] 应用于消费电子领域的罗姆产品介绍 2024-12-05
- [电子说] 特力康吊车高压近电防触碰智能预警装置:提升作业效率,保障人员安全 2024-12-05
- [电子说] TVS二极管能并联使用吗?TVS二极管能串联使用吗?1200字理清TVS电路设计易错点 2024-12-05
( 发表人:admin )





