1. PN结的形成
在一块本征半导体在两侧通过扩散不同的杂质,分别形成N型半导体和P型半导体。此时将在N型半导体和P型半导体的结合面上形成如下物理过程:

扩散到对方的载流子在P区和N区的交界处附近被相互中和掉,使P区一侧因失去空穴而留下不能移动的负离子,N区一侧因失去电子而留下不能移动的正离子。这样在两种半导体交界处逐渐形成由正、负离子组成的空间电荷区(耗尽层)。由于P区一侧带负电,N区一侧带正电,所以出现了方向由N区指向P区的内电场

PN结的形成
当扩散和漂移运动达到平衡后,空间电荷区的宽度和内电场电位就相对稳定下来。此时,有多少个多子扩散到对方,就有多少个少子从对方飘移过来,二者产生的电流大小相等,方向相反。因此,在相对平衡时,流过PN结的电流为0。
对于P型半导体和N型半导体结合面,离子薄层形成的空间电荷区称为PN结。在空间电荷区,由于缺少多子,所以也称耗尽层。由于耗尽层的存在,PN结的电阻很大。
PN结的形成过程中的两种运动:多数载流子扩散少数载流子飘移
PN结的形成过程(动画)
2. PN结的单向导电性
PN结具有单向导电性,若外加电压使电流从P区流到N区, PN结呈低阻性,所以电流大;反之是高阻性,电流小。
如果外加电压使PN结中:
P区的电位高于N区的电位,称为加正向电压,简称正偏;
P区的电位低于N区的电位,称为加反向电压,简称反偏。
(1) PN结加正向电压时的导电情况
PN结加正向电压时的导电情况如图所示。外加的正向电压有一部分降落在PN结区,方向与PN结内电场方向相反,削弱了内电场。于是,内电场对多子扩散运动的阻碍减弱,扩散电流加大。扩散电流远大于漂移电流,可忽略漂移电流的影响,PN结呈现低阻性。
PN结加正向电压时的导电情况
(2) PN结加反向电压时的导电情况
外加的反向电压有一部分降落在PN结区,方向与PN结内电场方向相同,加强了内电场。内电场对多子扩散运动的阻碍增强,扩散电流大大减小。此时PN结区的少子在内电场的作用下形成的漂移电流大于扩散电流,可忽略扩散电流,PN结呈现高阻性。
在一定的温度条件下,由本征激发决定的少子浓度是一定的,故少子形成的漂移电流是恒定的,基本上与所加反向电压的大小无关,这个电流也称为反向饱和电流。
PN结加反向电压时的导电情况(动画)
(3) PN结的伏安特性
PN结加正向电压时,呈现低电阻,具有较大的正向扩散电流;PN结加反向电压时,呈现高电阻,具有很小的反向漂移电流。由此可以得出结论:PN结具有单向导电性。

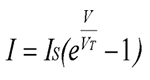
3. PN结方程
根据理论分析,PN结两端的电压V与流过PN结的电流I之间的关系为:

其中:IS为PN结的反向饱和电流;VT称为温度电压当量,在温度为300K(27°C)时, VT约为26mV;
所以上式常写为:
PN结正偏时,如果V> VT 几倍以上,上式可改写为:

即I随V按指数规律变化。
PN结反偏时,如果V > VT几倍以上,上式可改写为: ![]()
其中负号表示为反向。
4. PN结的击穿特性
如图所示,当加在PN结上的反向电压增加到一定数值时,反向电流突然急剧增大,PN结产生电击穿—这就是PN结的击穿特性。发生击穿时的反偏电压称为PN结的反向击穿电压VBR。
PN结的电击穿是可逆击穿,及时把偏压调低,PN结即恢复原来特性。电击穿特点可加以利用(如稳压管)。热击穿就是烧毁,是不可逆击穿。使用时尽量避免。

PN结被击穿后,PN结上的压降高,电流大,功率大。当PN结上的功耗使PN结发热,并超过它的耗散功率时,PN结将发生热击穿。这时PN结的电流和温度之间出现恶性循环,最终将导致PN结烧毁。
5 . PN结的电容效应
PN结除了具有单向导电性外,还有一定的电容效应。按产生电容的原因可分为:
(1) 势垒电容CB
势垒电容是由空间电荷区的离子薄层形成的。当外加电压使PN结上压降发生变化时,离子薄层的厚度也相应地随之改变,这相当PN结中存储的电荷量也随之变化,犹如电容的充放电。势垒电容的示意图如下图。
(2) 扩散电容CD

扩散电容是由多子扩散后,在PN结的另一侧面积累而形成的。因PN结正偏时,由N区扩散到P区的电子,与外电源提供的空穴相复合,形成正向电流。刚扩散过来的电子就堆积在 P 区内紧靠PN结的附近,形成一定的多子浓度梯度分布曲线。反之,由P区扩散到N区的空穴,在N区内也形成类似的浓度梯度分布曲线。扩散电容的示意图如图所示。
当外加正向电压不同时,扩散电流即外电路电流的大小也就不同。所以PN结两侧堆积的多子的浓度梯度分布也不同,这就相当电容的充放电过程。势垒电容和扩散电容均是非线性电容。PN结在反偏时主要考虑势垒电容。PN结在正偏时主要考虑扩散电容。



