为了使放大电路正常地工作能把输入信号不失真地加以放大,必须有一个合适而稳定的静态工作点为放大电路提供直流电流和直流电压的电路.叫做直流(静态)偏置电路,简称偏置电路由于各种电子电路对偏置电路有不同的要求,所以在实际电路中加设的偏置电路也有所不同。下面介绍几种常见的偏置电路。
1.固定偏直电路
固定偏置电路如图15-11 所示,它是共发射极放大电路。当EC和RB一经确定,就能得到一个固定的基极电流lB和集电极电流IC, 所以把这种电路叫做固定偏置电路。
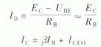
电路中的EC、IC、RC、β 和ICEO 等参数.一般都是预先根据需要而确定好的。计算基极电流(又称偏置电流)IB 和基极电阻(偏流电阻)RB时,可利用以下公式:

从上式可以求出IC和RB的值。但在实际应用中,往往还要调整RB,以得到较精确的IC。调整方法是:选择一个合适的电位器和电阻.串接后接在RB 的位置,断开RC和EC 的连接.串入一个电流在、调节电位器的阻值.使电流表指示达到预定的IC值。
由于半导体三极管的特性受植度的影响较大.当温度变化升高时,三极管的穿透电流lCEP显著增加,而IC又与ICEO 有关,所以IC也随之增加.从而会引起工作点的变动可以看出,固定偏置电路只是提供一个固定偏流lB的电路,它无法起到稳定工作点的作用。它的优点是电路结构简单,使用的元件少.可以用在不要求有稳定的静态工作点的电路中。

2. 电压负反馈偏直电路
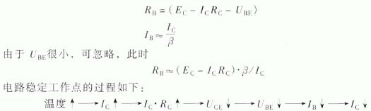
电压负反馈偏置电路如图15-12 所示。它和固定偏置电路的不同之处,是将偏流电阻RB接在了三极管集电极上。此时电路中各参数有以下的关系:


从上面过程可以看出,随温度的升高, IC的变化被拉了回来.达到了稳定静态工作点的作用。
要想这种电路效果好,就要使RC足够大,这样才能引起UCE 的足够变化,加深电压负反馈的作用。所以这种电路不适用于用变压器作负载的电路。偏流电阻RB一般取值为(2~10)RC。
3. 电流负反馈偏直电路
电流负反馈偏置电路如图15-13 所示。它和固定偏置电路的不同之处是.在半导三极管的发射极上串接了一个电阻RE 。此时电路各参数有以下的关系:
![]()
由于EC电源相对不变,若IERE 增加,必然引起UBE下降,从而造成IB的下降。电路稳定静态工作点的过程可以写成以下形式:

4. 分压式电流负反馈偏直电路
这是一种常用的偏置电路,它的典型电路如图15-14 所示。在这个电路中,除三极管发射极上接有RE外,同时在基极上还接有RB1和RB2 , 它们分别接在电源EC的两端。

分压式电流负反馈偏置电路有两种稳定作用:
①通过基极电阻RB1和RB2 的分压,以下关系成立:


上式说明基极电压UB只受EC·RB1和RB2 的影响,只要这三个参数确定,则UB 就可保持稳定。
①接入RE电路有电流负反馈的温度补偿作用
由于有以上两个稳定作用,所以分压式电流负反馈偏置电路的稳定作用较好。除此之外,这种电路还有一个优点,就是RC取值小些,也不影响稳定性,因此适用于各种负载的放大电路。
对于低频小信号放大电路来说,应用电路中的元件取值可参考以下原则:
