|
摘要 本文基于TD系统所赋予的威廉希尔官方网站 特色,就频点布置、覆盖设计、容量配置等无线网规要点与WCDMA系统进行逐项对比解析,其思路及结果可供实际TD-SCDMA网络设计参考。同时,本文所提及的TD网规遗留课题还留待业界共同思考、解决。 1、引言 对于未来TD-SCDMA(以下简称TD)网络运营商而言,由于其为目前ITU唯一支持的采取TDD(时分双工)的CDMA系统,与WCDMA等FDD(频分双工)系统相比,采用了TDMA(时分复用)、联合检测、智能天线、接力切换、DCA(动态信道分配)等先进威廉希尔官方网站 [1],使其组网更为灵活和复杂,原WCDMA系统所取网规方法不尽适用,因此,本文旨在基于TD关键威廉希尔官方网站 及系统性能所赋予其的无线网规特色,与读者较为熟知的WCDMA系统进行逐项对比、分析,以期获得对TD网络更深层次的理解。 概括而言,TD与WCDMA无线网规差异集中在频点布置、覆盖设计及容量配置这三点,未来还有其各自演进版本HSDPA的网规考虑,而此外的例如规划流程、接入网配置核算等在理念上较为一致,仅存有细节差别,在此则不一一尽述。 2、频点布置 对于WCDMA而言,其系统同频组网为业界共识,先期单频点5MHz带宽已足可满足需求,后期引入HSDPA后可考虑升至2载频以负荷分担。而TD系统则由于其单频点1.6MHz承载容量有限,且业界对其同频组网能力众说纷纭,不同厂商各执一词,因此,实际组网时小区多频点的应用及先期异频直至后期混频或同频组网模式则更为可取。 TD小区多频点特性已被CCSA及3GPP等标准化组织采纳[2],其设备业已具备商用能力,在进一步提升单载频TD系统容量的同时更好地提供了TD系统独立组网能力,目前为各系统厂商的主推组网方式。小区多频点即为一个小区可配置多个载频,其中确定一个为主载频,则其余均为辅载频。DwPTS导频信息及P-PCCPCH等公共控制信道信息只在主载频的特定时隙上发送,而辅载频仅承载业务信道,且其承载DwPTS与P-PCCPCH信道的下行导频及TSO时隙空置,如图1所示。
小区多频点概念优势不仅在于提供系统更高容量及资源利用率,且对TD系统同频组网时的公共与业务信道覆盖匹配及干扰消除等性能亦为极大增强。 2.1 公共与业务信道覆盖匹配 在单频点TD系统内,P-PCCPCH及DwPTS等公共信道是与业务信道时分共享基站功率资源的,由于其包含有广播及导频等公共信息,需向全小区用户发射,因此这些公共信道发射采用的是全向赋形,没有智能天线的波束赋形增益,由此造成TD小区覆盖可能受限于公共信道的情况。而小区多频点配置时,N个Carrier共用一套2W射频功放,如目前大唐可做到3载频共用一套,3频点业务信道平均分配2W功率资源,而公共信道则由于仅在一个Carrier上发射而独享2W功率,由此无形中为公共信道提供了约5dB的附加增益,弥补了其全向赋形的缺憾,提升其与业务信道覆盖的匹配性。 2.2 干扰消除 TD单载频组网时,缺少智能天线抗干扰特性的公共信道易引起小区间干扰,而多频点的引入可通过频率资源的有效分配而降低该干扰的影响程度。例如启用5MHz的频谱资源,包含3个TD频点,其可用站型配置为O1~O3、S1/1/1~S3/3/3:O1~O3为包含1~3载频的全向站,S1/1/1~S3/3/3则为每小区分别容纳1~3载频的三扇区定向站型,其可通过在不同小区内设置相隔的主载频来规避公共信道干扰,即分别对应于异频、混频及同频组网模式。各定向站型主载频配置如图2所示。
多频点小区的良好性能致使其成为TD系统商用的主推站型,由于现阶段TD的主用频段2010~2025MHz包含15MHz频率资源,因此城区环境内TD网络推荐组网方案为采用其中5MHz频段进行宏蜂窝同频组网,同时预留10MHz频段作分层网络、微蜂窝补盲与室内覆盖之用。 3、覆盖设计 TD系统由于引入了TDD模式、智能天线、联合检测及接力切换等关键威廉希尔官方网站 ,其覆盖有其特殊性,且表现出与WCDMA等系统独有的覆盖与容量相制约的呼吸效应所不同的特点,两者相关性较弱,因而可将其覆盖与容量独立考虑,以链路预算方式来考察TD系统覆盖能力,并注重其系统特色威廉希尔官方网站 对预算关键参数的影响,以更为确切的描述TD覆盖特性,供实际商用网设计借鉴。 3.1 关键参数选取 3.1.1 扩频处理增益 扩频处理增益即为考虑扩频调制及经信道编码、基带调制处理后所得增益的总合,对于WCDMA系统而言,其扩频处理增益的算式为:G=W/R,其中W为信道带宽,R则为各等级业务速率。而在TD系统中,由于采用CDMA/TDMA相结合的方式,高等级业务速率可通过在同一个时隙上多码传输或几个时隙的并行传输得到,因此不能简单地像WCDMA那样由数据速率得到扩频处理增益,其与扩频因子、编码和调制方式等均有关,依据3GPP TR25.928协议,可得TD系统扩频处理增益的算法如下式[4]:
表1 TD各速率等级业务扩频处理增益计算表
表2 TD-SCDMA与WCDMA相应速率等级业务扩频处理增益对比 扩频处理增益AMR12.2KCS64kPS64KPS144kPS384k WCDMA24.9817.7817.7814.2610.00 |
可见在扩频性能上TD系统是略低于WCDMA的,但也正是由于该增益算法不同,以及TD系统独特多址接入方式,使得就业务覆盖方面来说,TD较之WCDMA不同速率等级业务覆盖差异较小,不同业务的连接能力有较好的一致性,因此在预规划确定了一种目标业务后,亦容易实现其它业务的连续覆盖能力,从而提升TD系统的服务品质。
3.1.2 干扰余量
WCDMA有自干扰特性,其干扰影响程度在链路预算中是由干扰余量L指标来反映的,定义为由于干扰引起在热噪声之上的噪声抬升,与小区负荷因子η可相互转换:L=10×lg(1/(1-η)),如小区负荷η=50%时,L=3dB。
而对于TD系统,由于其独特的多址及双工方式,单时隙最多存在8个语音用户,高速率业务则更少,且通过智能天线、联合检测及DCA等威廉希尔官方网站
更有效的抑制同时隙互干扰用户,因而理论上TD为一码道受限系统,呼吸效应较弱,同时隙即使满负荷,系统底噪也不会有明显抬升。从这个角度看,TD网规链路预算时可不预留干扰余量。但这仅为理论上的说法,事实上依2006年试验网表现分析,随用户数增加干扰亦有一定程度上升,只是没有WCDMA那样明显呼吸效应。
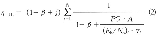
厂商给出的TD系统理论负荷因子为:

式中:β表示联合检测的多址干扰消除因子;j为邻本干扰比;N为小区内业务连接数;PG与βEb/No分别为该速率等级业务的扩频处理增益和接收信噪比;Vi则为该业务的业务激活因子;A则为智能天线的抗干扰因子。
就现实性而言,由上式如此复杂的运算去获取干扰余量值并不可取,而在TD系统晋升至多频点模式后,其干扰受限特性表现更为微弱,因此实际链路预算中,采用厂商建议,在上下行仅固定预留2dB/3dB干扰储备值即可,而无需类似WCDMA网规时复杂的上下行链路负荷迭代过程。
3.1.3 相关增益与损耗值
智能天线及联合检测威廉希尔官方网站 的引入带给TD系统无线侧较大的性能提升,尤其智能天线威廉希尔官方网站 ,目前多为8天线阵列形式,反映在链路预算中,除自身射频增益外,理论上还可提供最高9dB的波束赋形增益,改善接收信号质量。但受限于实际传播环境,性能有所偏差,因而以厂商建议,取城区6dB和郊区8dB的波束赋形能力值。
智能天线每天线阵设置一个最高2W发射功率的小功放,且与塔放一起直接安装于天线下端,推荐相隔距离为3.5m,其校准天线及塔放可以补偿部分上行馈线损耗,因此一般情况下链路预算中无须考虑上行馈线损耗(下行仍需考虑1dB损耗)。而WCDMA系统天线通常位于塔顶,馈线损耗取为3dB。
第三个较特殊的值为接力切换引入后,在保证高切换成功率的同时规避了软切换所导致的低资源利用率。其不足是在链路预算时,相比于WCDMA少了3dB的软切换增益,但考虑到结合上行同步后的接力切换方式的高成功率,因此可采用1dB的大唐推荐增益值。
3.1.4 各业务Eb/No目标值
3GPP TR 25.94规范中仅列出TD系统设备及终端在各多径环境下各承载业务的邻本比Ior/Ioc之值[4],可参照厂商推荐算法转换为各业务所需信噪比Eb/No目标值,如下式:

式中:Nuser_BRU与NTS_BRU分别表征指定业务所需单时隙BRU数及TD单时隙总共容纳的BRU资源数,后者一般取为16,仅针对CS64k可视电话业务时取为10。
城区环境中以Multipath fading Case 2衰落环境下所得Eb/No值为准,其中CS及PS域业务BLER分别取为0.01与0.1,如表3所示。
表3 Multipath fading Case 2衰落环境下各业务Eb/No目标值 
这里需指出的是,实际厂商在仿真计算其设备针对各业务的Eb/No要求时,所采用信道模型与3GPP并非完全一致,如会考虑多径信号的相关性、实际功控局限性及各厂商设备数目对解调产生的影响等,取值一般会存在差异,因而实际网规需依据各厂商设备性能的差异性慎重选取。
3.2 覆盖设计案例分析
3.2.1 规划参数取定
以地处上海市中心城区的黄埔、卢湾及静安三区为目标规划区域,总面积28km²,预测用户数达12万,且以AMR 12.2k/CS64k/PS64k为上下行连续覆盖目标业务,区域及边缘可靠度分别为95%与85%。
业务模型定义如表4和表5所示,其中3GPP定义5种基本业务为[4]:AMR12.2k、CS64k、PS64k、PS144k及PS384k,考虑到PS域业务的上下行非对称性,电路域CS业务与分组域PS业务的上下行业务比例分别定义为1:1和1:4。
表4 CS域业务模型

表5 PS域业务模型

3.2.2 链路预算
与WCDMA系统类似,TD无线覆盖亦基本受限于上行[5],因此由上行链路预算可得各无线环境下的小区平衡覆盖半径。TD与WCDMA上行链路预算参数如表6所示。
表6 TD与WCDMA上行链路预算参数

结合取自适用于2GHz频段的COST231-HATA电波预测模型,且其k值参数经校正后符合上海市本地无线传播环境,由此可得TD与WCDMA系统上行链路预算结果,对比如表7所示。
表7 TD与WCDMA上行链路预算结果

由表7输出目标区域覆盖设计结果为:若以TD系统覆盖,小区半径0.35km,其受限于可视电话CS64k业务,站距控制在0.53km左右,规划区内所需S3/3/3宏蜂窝站型115个;而WCDMA系统其覆盖半径达0.42km,规划区内仅需S1/1/1宏站84个。
随着3G网络建设形势的逐渐明朗,我国各大电信运营商均从事过3G网规工作,其中多数基于R99/R4版的WCDMA网络,而由于TD与WCDMA先天的关联性致使运营商十分关注于原WCDMA网规方案是否同样适用于TD系统,尤其在其无线侧。基于此,我们在取定一致的业务模型及规划参数后,得到各典型覆盖环境下TD与WCDMA无线网覆盖性能比较,其中所用传播模型为针对上海市各典型无线环境的校正模型,如表8所示。
表8 WCDMA与TD-SCDMA无线覆盖性能比较

可见相比于WCDMA,TD系统相应速率等级业务覆盖距离略小,而预规划小区半径约为WCDMA的85%左右,由此可认为,依目前所掌握的威廉希尔官方网站 资料及信息来看,若要大规模的进行TD系统的独立组网,须对原基于R99/R4版的WCDMA系统无线侧网规进行适当调整,以更好适应TD网络威廉希尔官方网站 特色。同时,我们也可看到TD系统各业务间的覆盖距离相差不大,理论分析结果与我们外场测试结果较为一致,即各业务间覆盖性一致,利于未来业务开展及网络分步建设。
3.2.3 公共信道覆盖核算
在WCDMA中,下行业务信道及导频信道均可能出现功率受限现象,规划时通常采用核算方式为:针对业务信道,将上行链路预算所确定最大路径损耗代入下行链路预算中,进而反推出所需各单业务发射功率,并结合业务模型得出基站下行总耗费功率,取其与基站最大发射功率的比值来衡量下行业务信道是否过载;导频信道类似,且将反推值与初始设定导频最大功率(WCDMA中通常取为基站最大发射功率的20%)相比较,判决其是否受限;
而对于TD系统,公共信道及业务信道时分独享基站功率资源,且业务信道拥有智能天线与联合检测抑制干扰能力的优势,由此下行业务信道功率受限概率极小,从2006年试验网数据观测亦印证该论点,因而TD网规时针对下行业务信道功率核算可不予进行但对于P-CCPCH、DwPTS等公共信道而言,为全向赋形,无业务信道所独具的波束赋形增益及联检能力,极有可能发生下行功率受限情形,产生与业务信道相互覆盖适配差异,导致网络建链失败。因此与WCDMA类似,TD网规时需核算公共信道功率值,尤其是P-CCPCH(主公共控制信道)功率,其值的设定是建网伊始所需重点确定的。
TD智能天线的引入使得其设备发射功率的概念拥有与以往普通天线系统迥异的特点,即单天线最大发射功率、用户每天线最大发射功率及用户多天线最大发射功率这3个新增量值。以TD主荐S3/3/3站型为例,采用8天线线阵列的定向智能天线,每扇区每天线阵带一个最高2W功放(源于上下行匹配因素,进行业务传输时大唐推荐仅放大1W,而公共信道则可全部开放),3个频点合用该功放资源,则得:
3.2.4 对于业务信道
单天线最大发射功率为25dBm(1/3W)。而TD系统独特的TDMA+CDMA多址方式使得仅在单时隙上用户共享基站功率,因此用户每天线最大发射功率:单天线最大发射功率+10×lg(单用户占用BRU资源数/该时隙总BRU资源数)+功控余量(通常为2dB),例如对于语音用户,其用户每天线最大发射功率=25+10×lg(2/16)+2=18dBm。最后,考虑智能天线的多天线阵列因素,需转化为用户多天线最大发射功率=用户每天线最大发射功率+10×lg(智能天线阵列数),即针对8阵列天线来说,其用户多天线最大发射功率=18+10×lg(8)=27dBm,而最终反映到下行链路预算中的即为用户多天线最大发射功率。
3.2.5 对于公共信道
由于N频点模式时其仅在主载频上发射,因而将占有全部的33dBm(2W)的功率,如此最终推得公共信道的多天线最大发射功率为35dBm。
基于上述功率概念,采用与WCDMA类似的反推算法去依次推导3个功率量值,最终以单天线发射功率为判决依据,其值小于33dBm即可。由3GPP定义P-CCPCH信道速率为12.3kbit/s,其接收Eb/No要求等同于同速率的AMR12.2k语音业务。依表7所得损耗值反推所得市区环境内P-CCPCH用户多天线功率为32dBm,其与试验网时厂商所设定的33dBm几乎一致,可从一定程度论证上述功率核算方法具备较好的适用性。
4、容量配置
WCDMA系统由于业务多样性,资源占用特性及QoS不一,致使其容量规划较为复杂,不同于以往单一业务2G系统,业界多基于坎贝尔模型理论采用资源等效的方法核算混合业务容量[5],遵循由极限容量→坎贝尔信道→坎贝尔信道数→坎贝尔业务量→所需信道配置的流程,而其根本观点依然是从系统干扰受限角度出发分析。TD系统有别于WCDMA的是其为码道受限而非干扰受限,因此针对TD的容量配置更多是基于其码信道资源占用状况。
TD系统独特的TDD方式结合动态信道分配DCA威廉希尔官方网站 ,可动态调整物理帧中上下行时隙配置比例以灵活适应3G业务上下行非对称要求:如初期话音为主,可将比例配为均衡的3:3;而后期数据业务比例上升甚至占主导,此时可调整至2:4或1:5,以更好适应非对称数据业务的开展。因此,上下行时隙比例配置亦为TD网规的重要内容,需依据业务区的地理划分来成片规划该比例,并合理设置边界区域的DCA参数,以尽量规避交叉时隙干扰产生的影响,而该时隙比例配置同样建立于码信道资源配置上。
对于3GPP规定的TD系统5种典型承载业务码道配置如表9[6]。
表9 TD各典型承载业务码道配置表

表9中,例如SF16×2code×1TS/QPSK的码道配置,可理解为:SF16~扩频因子为16;2code~单时隙上需这样的码道数为2;1TS~无线子帧中需占用1个时隙;QPSK则为该业务的基带调制方式。通常我们将一个扩频因子为16的码道定义为一个BRU(Basic Radio Unit,基本信道单元),在TD系统5ms的无线子帧中上下行业务信道共含96个BRU资源。而上下行各业务扩频因子虽不同,但其占用资源均可折算为BRU的倍数,例如:上下行AMR12.2k业务分别占用的BRU数均为2个,而PS144k上行占用BRU为24(QPSK)/16(8PSK)个,下行则占用为18个BRU。因此,容量配置及时隙比例规划均可转化为对BRU资源占用情况的分析上。而由于CS域及PS域业务QOS不同,通常PS域为“尽力而为”的非实时业务,因此其容量配置策略为:首先依据CS域实时业务的实际爱尔兰容量,按呼损要求,通过Erlang B公式计算出信道需求,再将该信道数对应的总BRU数减去CS域业务实际容量所需BRU,而该部分BUR差值则可用于PS域数据业务,并根据需要增补必要的BRU资源给PS域业务[5]。
由此,基于前述覆盖设计结论及业务模型,可得TD小区单载扇上下行所需BRU资源,如表10、表11所示。
表10 各业务BRU需求核算 
表11 单载扇上下行BRU资源占用情况
如表11,TD小区单载扇上下行BRU需求数为39:41,则上下行时隙比例应规划为3:3;同时,BRU利用率分别为81.3%及85.4%取其下行受限方向为容量配置依据,因此,TD系统S3/3/3型宏站信道板配置需做到满配。
5、TD网规遗留问题思考
TD系统就其威廉希尔官方网站 本身而言,领先性已为业界共识,且特殊背景亦使其成为关注核心,但受制于发展历程的时限,稍许有待改进之处也未可避免,反映在其网规一项,表现为:
(1)厂商设备性能及测试数据未公开,造成业界概念较模糊,无法形成统一认识。如各业务Eb/No值,其对覆盖设计极为关键,本文引述值为规范所得,而实际设备所达性能亦未可知;其次,如智能天线,其波束赋形及射频指标(如半功率角仅为120°)等应用于密集城区时性能还有待改善;
(2)各运营商原WCDMA网规方案对于TD无线网适用性有待考证,需基于不同覆盖及业务区分类详尽验证,不可一概而论,枉下定义。仅就笔者自身核算及仿真结果看,密集城区规划站距一般较之实际链路预算结果更密,其方案对TD适用性较强,而郊区、农村所需大范围覆盖区域内则适用性较差,且随3G网建设日程临近又使得该项核算工作迫在眉睫;
(3)同频组网能力厂商各执一词,多频点小区配置虽可有效避免公共信道覆盖及干扰问题,但业务信道干扰仍为组网问题症结所在,而未来尤其在HSDPA引入后容量需求提升必将同频组网一事提上日程,须提升其实现能力,以满足TD大规模组网要求;
(4)目前商用TD网规软件已具雏形,但亦存有置疑及欠缺之处,须结合厂商系统及威廉希尔官方网站 发展同步改进,以适应实际网规需求。
上述问题需业界共同努力予以解决,相信随着TD产业链的完善,其必将会以成熟、领先的姿态呈现于世人。
参考文献
[1] 彭木根,王文博著.TD-SCDMA移动通信系统威廉希尔官方网站 .北京:机械工业出版社
[2] 马志锋,张银成等.TD-SCDMA系统中的多载频特性分析.移动通信,2005,3
[3] Harri Holma,Antti Toskala著,付景兴等译.WCDMA威廉希尔官方网站 与系统设计第三版.北京:机械工业出版社
[4] 3GPP Technical Peport 25.928 V4.0.0(2001-03)1.28Mcps functionality for UTRA TDD Physical Layer (Release 4)
[5] 张长钢等.WCDMA无线网络规划原理与实践.北京:人民邮电出版社
[6] 上海百林通信.TD-SCDMA规划软件威廉希尔官方网站 手册
[7] 刘虎,曾召华等.TD-SCDMA系统中HSOPA的性能分析.中兴通讯威廉希尔官方网站
电子发烧友App













评论