该频率计测频范围分10Hz~50MHz、50MHz~2.4GHz两挡;输入灵敏度达30mV;由于对晶振电路采取了简易恒温措施,故频率稳定度可达10-6。
2021-05-25 06:40:17
振的频率也会有影响,用晶振的频率稳定度来表示不同晶振受环境影响的大小。电路电压和环境温度是影响晶振频率变化的两个因素。为了使晶振工作时的振荡频率尽可能稳定,一方面要提高电源电路的稳定性,另一方面应该
2016-09-03 14:16:32
、频率准确度、频率稳定度,相位噪声,功耗等。1、标称频率:是指晶振的标称输出频率;2、频率准确度:是指常温(25度)下,所测晶振频率相对标称频率的差值。这一点是不太重要的3、频率稳定度:一般是指频率温度
2019-07-22 10:09:59
是工作温度和温度稳定性。一般温度范围越宽、稳定性要求越小的晶振价格越高,所以建议用户必须和厂商沟通确认自身的实际需求,不要过分把参数定得过高,否则会影响产品的成本。 相信从事晶振行业的朋友们也会发现采购晶
2017-06-29 14:26:49
“晶振”有问题的话,可以直接使用大工厂、大公司的样品进行测试,看看是不是也有同样的问题。 3、如果是晶体本身性能不良,其谐振频率稳定度差,随时间变化漂移太大,导致用了一段时间又会出现频偏现象。给VCO,倍频器等电路供电电源电压不稳,随时间变化漂移太大,也会导致频率偏移。
2013-11-26 14:55:49
频率稳定度非常高,但具体的补偿电路比较复杂,成本也较高,只适用于基地站和广播电台等要求高精度化的情况。TCXO发展现状 TCXO在近十几年中得到长足发展,其中在精密TCXO(温度补偿型石英晶体谐振器,具有
2012-10-26 15:24:46
振。所以成本也会高。按照市场价格测算,现在普通有源晶振大致参考价格在2元多左右,无源晶振2毛-8毛左右,压控晶振和温补晶振价格会比普通晶振高一些。影响晶振多少钱的因素-标准频率标准频率是指各行业通过
2017-06-08 15:21:07
石英晶体在电路中用作时间或者频率基准源,堪称设备心脏。决定着电子设备的性能稳定性。石英片的切角和石英谐振器有着密切的关系。AT切的切角为35°15']AT切割的温度曲线相对平滑,适合制造温补晶振。宽温范围的频率稳定性也相对较好。
2020-04-15 11:34:33
都会使频率稳定度变差。所以需要考虑使用环境温度和精度。常用频率为32.768KHz。大部分电子产品都需要晶振提供时钟频率。音叉晶体更是非常重要的器件。音叉晶体的频率温度特性近似为:-0.035ppmx
2020-07-13 15:33:52
的产品. 2、温补晶振(TCXO):是在晶振内部采取了对晶体频率温度特性进行补偿,以达到在宽温温度范围内满足稳定度要求的晶体振荡器.一般模拟式温补晶振采用热敏补偿网络.补偿后频率稳定度在10-7
2012-12-18 17:41:53
.高级的精度更高.有些晶振还可以由外加电压在一定范围内调整频率,称为压控振荡器(VCO).二、晶振的使用 晶振的作用是为系统提供基本的时钟信号.通常一个系统共用一个晶振,便于各部分保持同步.有些通讯系统
2016-08-12 20:34:53
。采用SMD封装的TCXO厚度不足2mm,目前5×3mm尺寸的器件已经上市。 2.高精度与高稳定度,无补偿式晶体振荡器总精度也能达到±25ppm,VCXO的频率稳定度在10~7℃范围内一般可达±20
2020-07-06 11:30:06
电子设备对电子元器件在线性度、混合信号、微机电系统和数字信号处理威廉希尔官方网站
等方面都提出了较高的要求。http://www.kaiyuexiang.com/index.aspx 晶振的应用领域很广泛的,覆盖生活的方方面面。但是晶振属于易碎品,使用晶振一定要保护好它,才能让晶振的频率稳定长久。`
2017-06-06 15:01:07
,谐振频率也很准确。石英晶体振荡器的频率稳定度可达10^-9/日,甚至10^-11。因此,一般石英表、电子表中都是利用石英晶体来做计时的基准频率。 如您想了解更多关于晶振的信息请预览下列网址: http://www.jingzhen88.com
2012-09-27 17:05:16
输出信号形式分,有正弦波、方波、削顶正弦波等,晶振的选用指标有温度范围、频率稳定度、频率准确度、相位噪声、工作电压、调谐频率范围、封装形式、输出波形、年频率漂移度等,指标的选取根据需要有所取舍,侧重不一
2022-02-25 07:29:09
不一定相同.因为石英晶体振荡器有两个谐振频率,一个是串联揩振晶振的低负载电容晶振:另一个为并联揩振晶振的高负载电容晶振.所以,标称频率相同的晶振互换时还必须要求负载电容一致,不能冒然互换,否则会造成
2016-04-28 17:11:09
可达百万分之五十。高级的精度更高。有些晶振还可以由外加电压在一定范围内调整频率,称为压控振荡器(VCO)。 晶振的作用是为系统提供基本的时钟信号。通常一个系统共用一个晶振,便于各部分保持同步。有些通讯
2013-10-25 15:56:33
的误差 = Δt*24*3600*365 = 37.8秒 另外:晶振的主要参数还有标称频率,老化率、频率准确度、频率稳定度,相位噪声,功耗等。
2014-04-09 16:35:23
电压不足,这些也会导致晶振停振! 如果遇到这种问题,首先要检测晶振的频率参数和晶振的电阻是不是在要求的范围内,如果是在要求的范围内;其次要检查晶振的焊接温度会不会高,造成晶振的第二次损坏,一般要求
2018-03-17 20:45:39
了30~100倍。采用SMD封装的TCXO厚度不足2mm,目前5×3mm尺寸的器件已经上市。 2、高精度与高稳定度,目前无补偿式晶体振荡器总精度也能达到±25ppm,VCXO的频率稳定度在10~7范围
2018-04-13 17:42:23
变化,为了抵消温度对晶振频率的影响,控制晶振的谐振电容随温度变化而变化,抵消温度晶体影响提高频率稳定性。3.从二者测量精度:一般的恒温晶振要比温补晶振频率稳定度高两个数量级以上。如温补晶振一般能达到
2018-04-25 16:31:14
、功耗等。1、标称频率:是指晶振的标称输出频率;2、频率准确度:是指常温(25度)下,所测晶振频率相对标称频率的差值。这一点是不太重要的;3、频率稳定度:一般是指频率温度稳定度,是指在晶振的工作温度范围
2020-03-16 17:13:02
用玻璃壳、陶瓷或塑料封装的。http://www.kyxcrystal.com/石英晶体振荡器是高精度和高稳定度的振荡器,被广泛应用于彩电、计算机、遥控器等各类振荡电路中,以及通信系统中用于频率发生器、为数据处理设备产生时钟信号和为特定系统提供基准信号。`
2017-06-03 18:15:38
±25ppm以下,而恒温振荡器(OCXO)在同一温度范围内频率稳定度一般为±0.001~0.1pm。所以对我们生产晶振厂家开说,产品频率稳定预热时间指标和抗辐射能力以及性能参数提出更加严格的要求,这需要TCVCXO、OCXO等高端精密晶振产品。来源:(互联网)
2014-12-31 14:22:35
无论是在移动手机通信系统、GPS全球定位系统还是手机、电脑、笔记本等硬件系统,石英晶振的频率稳定度高的特点已经使得它在电子行业中变得不可或缺。 石英晶振全称我们称之为石英晶体振荡器,也被分为
2013-12-26 16:32:40
本帖最后由 eehome 于 2013-1-5 09:52 编辑
晶振的主要参数有标称频率,老化率、频率准确度、频率稳定度,相位噪声,功耗等。电子元件大家都知道电路设计是一个很关键的所在,电路
2012-12-05 16:21:56
电脑周边产品起到时钟控制作用,但是每一款石英晶振外面都需要串联电阻及并列电容相匹配作用,使晶振发挥最大的频率稳定作用。是晶体振荡器的简称,在电气上它可以等效成一个电容和一个电阻并联再串联一个电容
2012-12-10 14:02:58
的温度特性做优化,会带来温度补偿超前或滞后,导致频率晃动加上,短稳、抖动指标都将恶化,而且优化系统很难预知其他温度点晶振的漂移值。 晶振的工作温度范围是威廉希尔官方网站
条件中所规定的温度范围,在该温度范围内,晶振
2017-06-13 15:13:45
,普通晶振被称之为是民用级晶振,那么到底什么是工业级晶振呢? 工业级晶振是指性能达到工业现场使用标准的晶振,主要表现在工作温度范围高达-40-+85度,具有较强的防震功能、稳定性要比普通的晶振好,并且
2016-08-04 15:15:00
关于石英晶振的认识石英晶体振荡器是目前精确度和稳定度最高的振荡器,广泛应用于全球定位系统(GPS)和移动通信等各种系统中。石英晶体振荡器是由品质因素极高的谐振器(石英晶体振子)和振荡电路组成。石英
2010-02-26 15:20:52
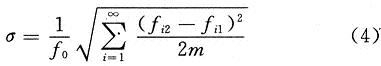
,即由晶振“相位噪声”引起的频率随机变化,瞬时稳定度通常会给测量系统引入随机误差。本装置采用新型的高稳定度恒温晶振OD02 - 5T型晶振,它的频率精度达到10- 8量级,频率稳定度达到10- 11量级
2013-03-14 11:14:37
分享一款不错的宽范围高稳晶振频率稳定度测试系统的设计
2021-05-10 06:41:59
变容二极管调频电路频率稳定度的温度补偿方法在变容二极管调频电路中,载频频率的不稳定性主要由温度变化、电源电压变化、负载阻抗变化等因素引起的。可以通过减少外界因素的变化来提高频率稳定度,如采用高稳定度
2010-03-30 14:30:43
威廉希尔官方网站
来控制频率的输出。
三、可编程晶振具有以下特点:
频率精度高:可编程晶振的频率精度可以高达±0.01ppm,这远高于普通的晶体振荡器。
输出稳定:由于其数字控制方式,可编程晶振的输出频率稳定性极高
2023-10-14 17:38:14
于温度、老化等因素产生频率的漂移,长期稳定性较差。为了获得一个短期及长期稳定度都比较优良的时间频率标准,本系统以授时型GPS秒信号为参考,通过数字锁相环对高稳晶振的频率进行控制与修正,此方法具有便携、廉价等优势。
2019-09-05 07:12:03
如何实现时钟晶振的高稳定性运用?
2021-06-08 06:52:24
如何提高变容二极管调频电路频率稳定度的温度补偿?
2021-04-23 06:02:29
。石英晶振是一种高精度和高稳定度的振荡器,被广泛应用于彩电、计算机、遥控器等各类振荡电路中,以及通信系统中用于频率发生器、为数据处理设备产生时钟信号和为特定系统提供基准信号。 国际电工委员会将石英
2016-11-22 14:35:15
本文探讨了用锁相威廉希尔官方网站
来产生高频率稳定度的低频信号的方法,并介绍了由ICL8038和MC145151-2构成的低频锁相环函数发生器的设计。该正弦波输出信号的频率稳定度可达到10-8 ,输出频率由所选用的晶振频率以及MC145151-2的分频数决定。
2021-04-15 06:53:24
、LC谐振电路取得,但这些电路的振荡频率并不稳定。在要求得到高稳定频率的电路中,必须使用石英晶体振荡电路。石英晶体具有高品质因数,振荡电路采用了恒温、稳压等方式以后,振荡频率稳定度可以达到10^(-9
2014-12-25 15:16:07
。
如果无法测得稳定的、接近晶振标称频率的频率值,而是出现杂乱的频率,这通常意味着晶振没有起振。4.使用专业测试仪器:
使用如250B等专业测试仪器对晶振进行单品测试,这些仪器能够精确地测量晶振是否输出其
2024-03-06 17:22:17
在现代通信系统中,对频率源的频率稳定度和准确度的要求越来越高,只采用晶振是不能满足需要的。而频率合成威廉希尔官方网站
则是利用一个或多个高稳定度的晶体振荡器产生一系列等间隔的、离散的、高稳定度的频率,可为通信设备
2019-08-22 07:55:34
和高稳定度,帮助大家解决上述问题。 钟振之所具有高精度和高稳定度,原因在于钟振内部使用了专业振荡IC。松季电子提到在未对钟振封装前,通过对水晶片上的电极喷银或者刻蚀等方式改变晶片厚度对晶体频率进行
2013-11-08 15:56:44
如何用频稳测试系统快速地了解高稳晶振的性能?频率误差倍增法测频的基本原理是什么?测试系统怎样设计?频稳测试系统怎样设计?
2021-04-07 06:31:28
一般来说,无源晶振指所有谐振器系列,成本低,内部没有独立的起振电路,需要外部电路配合,并精准匹配外部电容才能输出电信号。有源晶振指所有振荡器系列,成本较高,但输出信号质量好,稳定度高,不受外部电路
2020-08-26 12:23:10
` 小弟想求个无源晶振的测试电路,来检测晶振的好坏。目前我只知道晶振要测试频率,请问还需要测试那些参数,请大师指教。越详细越好{:4_97:}`
2013-03-13 09:13:13
,有的甚至比许多晶体还要小。几点注意事项1、需要倍频的DSP需要配置好PLL周边配置电路,主要是隔离和滤波;2、20MHz以下的晶体晶振基本上都是基频的器件,稳定度好,20MHz以上的大多是谐波的(如3
2008-06-03 15:34:42
状的晶振内置晶片形状也不同。晶振的频率又晶片的形状大小和厚度所决定。 2、晶振频率的测试晶振频率测试电路超简单,大家知道用石英晶体制成的振荡器其频率稳定性很高,然而如何确定晶体的频率或判断晶体是否合格
2016-11-12 14:54:49
比较稳定,所以无需使用工业级晶振。一般用到消费类电子产品中,精度相对要求没有那么高,制作晶棒时采用AT切割工艺宽温小公差,温补一般在-20℃+70℃,比如说49S,2*6mm,3*8mm晶振等等属于普通晶
2017-07-12 15:53:37
参考相关的资料。此外还要做一些说明: 总体来说晶振的稳定度等方面好于晶体,尤其是精密测量等领域,绝大多数用的都是高档的晶振,这样就可以把各种补偿威廉希尔官方网站
集成在一起,减少了设计的复杂性。试 想,如果采用晶体,然后
2012-08-01 23:51:55
周边配置电路,主要是隔离和滤波;2、20MHz以下的晶体晶振基本上都是基频的器件,稳定度好,20MHz以上的大多是谐波的(如3次谐波、5次谐波等等),稳定度差,因此强烈建议使用低频的器件,毕竟倍频用
2012-08-08 21:11:37
或调制的石英晶体振荡器. 特点:频率可随外加调制电压而改变;频率范围:1~250MHz;频率稳定度:普通晶振压控为≤(1~2)×10-3fo/n2,高稳石英晶振可微调10-7.频率微调或锁相
2016-04-14 12:05:16
有源晶振主要性能指标。 1.标称频率:振荡器输出的中心频率或频率的标称值。 2.频率范围:工厂所能提供的某种规格的晶振可实现的频率输出。 3.频率温度稳定度:在规定条件下,在整个工作温度范围
2013-10-10 11:35:23
影响,小型化、贴片式化、低噪声化、频率高精度化与高稳定度及高频化,是目前和未来摆在石英晶振面前的重要发展课题,那么该怎样区别有源晶振和无源晶振呢?又是为什么有源晶振比无源晶振好呢?下面由晶振商城来带领大家
2014-12-26 15:59:06
的电子产品都需要稳定的频率才能够保持正常工作,否则会出现异常情况.指纹锁也不例外.同样需要晶振为其提供稳定的频率.保持正常的运行.可能大家对于晶振比较陌生,并不知道是如何为指纹锁提供稳定频率的.那么
2015-07-01 21:27:26
±0.28ppm,有些型号可低至±0.05ppm随着设计和威廉希尔官方网站
的进步,TCXO 可以提供与以往恒温晶振(OCXO)设计相媲美的频率稳定度,同时功耗显著降低,尺寸设计更为紧凑。凭借其低功耗性能和微型尺寸设计,TCXO
2022-09-09 15:28:38
,精度相对要求没有那么高,制作晶棒时采用AT切割工艺宽温小公差,温补一般在-20℃+70℃,比如说49S,2*6mm,3*8mm晶振等等属于民用级晶振. 二、工业级晶振 它的晶棒切割是BT切割工艺
2013-12-10 16:12:20
数字化补偿的温补晶振又叫DTCXO;还有一种用单片机进行补偿的温补晶振我们称之为MCXO。数字化补偿威廉希尔官方网站
可实现晶振自动温度补偿,使石英晶体振荡器频率稳定度非常高。并且能够适应更宽的工作温度范围。但具体
2014-02-13 15:54:37
)相等时,机械振动的幅度将急剧增加,这种现象称为“压电谐振”。 压电谐振状态的建立和维持都必须借助于振荡器电路才能实现。 石英晶体振荡器的频率稳定度可达10^-9/日,甚至10^-11。例如
2012-12-14 11:26:55
~±3ppm(十年)。 短稳:短期稳定度,观察的时间为1毫秒、10毫秒、100毫秒、1秒、10秒。 KDS晶振的输出频率受到内部电路的影响(晶体的Q值、元器件的噪音、电路的稳定性、工作状态等)而产生
2013-03-29 09:59:52
、弹性特性和强度特性就不同,用它来制造的谐振器的性能也不一样,现已发现了几十种有用的切割方式。二、石英谐振器的稳频条件石英晶振的频率稳定度与以下三方面有关:负载电容、激励电平和频率温度特性。 1
2017-02-28 13:52:54
`通信系统的频率发生器中的晶振是石英晶振,我们的设计师利用石英晶体的压电效应制成谐振组件,这样就形成了具有高精度、高稳定度的振荡器。石英晶振的出现直接取代了LC 选频电路,被广泛应用于各类电子产品中
2021-07-23 17:13:47
晶体振荡器总精度也能达到±25ppm,VCXO的频率稳定度在10~7℃范围内一般可达±20~100ppm,而OCXO在同一温度范围内频率稳定度一般为±0.0001~5ppm,TCXO控制在±25ppm以下
2016-06-28 10:38:45
~100倍。采用SMD封装的TCXO厚度不足2mm,目前5×3mm尺寸的器件已经上市。2、高精度与高稳定度,目前无补偿式晶振总精度也能达到±25ppm,VCXO的频率稳定度在10~7℃范围内一般可达±20
2019-07-26 10:01:29
石英晶体振荡器简称晶振。晶振由一个IC电路跟具有压电效应的晶片组成,外加一个封装。石英晶体振荡器是目前精确度和稳定度最高的振荡器,而近年来TCXO将精确度和稳定度更加提升了一个阶段,有些将频偏降低
2016-05-23 17:47:51
在现代通信系统中,对频率源的频率稳定度和准确度的要求越来越高,只采用晶振是不能满足需要的。而频率合成威廉希尔官方网站
则是利用一个或多个高稳定度的晶体振荡器产生一系列等间隔的、离散的、高稳定度的频率,可为通信设备
2019-08-06 06:55:11
一个专用的TD-LTE系统设计中对频率稳定度的要求是0.2ppm.,如果采用AD9364做一个专用TD-LTE系统终端使用时,如果采用晶振(如TCXO)对于频率稳定度的要求是多少?如果采用晶体从而
2018-09-19 09:55:17
差。一般只在对短期频率稳定度关心,而对其他频率稳定度指标不严格要求的场合采用。 二、频率稳定度:任何晶振,频率不稳定是绝对的,程度不同而已。一个晶振的输出频率随时间变化的曲线。曲线中表现出频率不稳定
2013-10-31 15:58:04
关心,而对其他频率稳定度指标不严格要求的场合采用。例如:精密制导雷达。 频率稳定度:任何晶振,频率不稳定是绝对的,程度不同而已。一个晶振的输出频率随时间变化的曲线。曲线中表现出频率不稳定的三种
2012-10-07 14:36:51
是用陶瓷片来做的,频率的稳定性不高,而且成本比较低。 四、如果对晶振的稳定性有及高的要求,那就选择VCXO或TCXO的晶振这种晶振频率稳定度可以做到+/-0.5PPM。 五、如果对晶振的体积没有
2014-04-02 15:32:07
的需求将更加激烈。车载用电子元器件中动作温度-40~+125℃,根据场合不同也可达到+150℃。http://www.kaiyuexiang.com/index.aspx 追求速度和效率的车载用时钟晶振的小型化、高精度、高信赖性包括成本都将根据顾客的需求进行开发,最大程度提高客户满意度。`
2017-06-07 15:20:15
大家好我们是高稳晶振的生产厂家,可提供雷达用25M、50M、100M高稳晶振,详细指标可以留言索取。
2016-08-26 13:33:48
想做一个高精度时间系统,工作频率为2.4G。对于长期稳定性要求不是特别高,但是对短稳要求很高,需要达到1*10-9/1秒级别,那么对于晶振和PLL有些要求?你们的产品适合我这个系统的有哪些能达到这个精度要求。
2018-12-11 11:34:43
、高稳定、高性价比· 温度稳定度≤±0.2ppb(-40~85℃)· 日老化≤0.2ppb/天超高稳恒温晶振OCXO主要应用:基站、LTE、GSM、医疗设备、时频
2023-12-26 17:02:03
参考、Picocell、CPE-PTN、调度系统、集群等。宽温恒温晶振●小型化、SMD●温度稳定度≤+5ppb(-40~85℃)●老化≤±1ppb威廉希尔官方网站
指标项目威廉希尔官方网站
指标
2023-12-26 17:05:30
小型化、高稳定度恒温晶振是一款尺寸为36.2*27.2*13mm的小体积超高稳OCXO。具有5E-11业内最高的温度稳定性、秒稳优于5E-12性能。主要应用于三网合一、银行、电力、基站、路由器、交换
2023-12-27 16:18:48
超高稳定恒温晶振是一款尺寸为50.8*50.8*15.0mm的超高稳定性OCXO,具有1E-11最高指标的温度稳定度、日老化优于0.05ppb/天、秒稳优于2E-12的性能。应用于卫星授时、通信基站
2023-12-28 13:42:28
钟组设备 频率稳定度测试分析仪多通道数字化频稳测试分析仪(简称频稳分析仪)是一款基于双混频时差测量原理,利用数字威廉希尔官方网站
结合虚拟仪器威廉希尔官方网站
实现频率测量的仪器。能够接收外部信号源作为参考,被测信号与参考信号
2024-01-23 13:40:17
*10mm的封装尺寸· 温度稳定度≤±0.5ppb(-40℃~85℃)超高稳恒温晶振主要应用:基站、LTE、GSM、医疗设备、时频参考、微波、调度系统、集群等。&n
2024-01-26 11:12:36
超高稳定恒温晶振是一款尺寸为50.8*50.8*15.0mm的超高稳定性OCXO,具有1E-11最高指标的温度稳定度、日老化优于0.05ppb/天、秒稳优于2E-12的性能。应用于卫星授时、通信基站
2024-02-01 11:24:30
摘要:采用拍频法测量CO2激光器频率稳定度。计算机通过IEEE488接口直接从计数器上接收数据,并通过程序计算得出激光器的频率稳定度。采用脉冲外差法测量脉冲CO2激光器频率稳定度
2010-11-23 22:40:07
21 数传电台的频率稳定度/反射响应时间
数传电台的频率稳定度
2010-01-06 14:25:39
579 无线解码器的频率稳定度
2010-01-06 15:05:35
722 Bliley推出优异频率稳定度的TCVCXO,T107A温度补偿,压控晶体振荡器(TCVCXO)具有极好的温度和频率稳定性能,是它的标志性特性,稳定度达±0.5 ppm。该器件重量轻,尺寸为2.5 mm x 2 mm,
2010-06-04 08:56:27
1226 决定振荡器相位(频率)稳定条件的相频特性的斜率与回路的Q值成正比。下降的斜率就越大,振荡器的频率稳定度也就越高。可以得出结论,选频回路的Q值越高,振荡器的频率稳定度
2011-12-19 13:59:54
0 高精度的时域频率稳定度测量仪的研制_屈八一
2017-01-07 16:00:43
0 检定装置包括短期频率稳定度测量系统和相位噪声测量系统,由高稳晶振、低噪声频率合成 器、微波信号源、传递源、频标比对器、频率稳定度分析仪、相位噪声测量系统等组成。短期频率稳定度测量采用差拍原理,测量阿伦方差;相位噪声测量采用相位检波器法,经FFT 分析得到相位噪声
2019-10-16 10:03:42
3510 
温补振荡器在以下温度范围内频率稳定度能够达到±5PPM。采用SiTime全硅时钟解决方案来实现温补振荡器级别的频率稳定度,与石英时钟解决方案相比,能耗可减少50%,体积可缩小80%。MHz振荡器
2021-12-06 17:00:25
1727 
石英晶体利用压电效应在电路中用作时间或者频率基准源。其不仅为集成电路提供稳定的时钟信号,也为无线电发射器和接收器提供稳定的频率。今天聊聊周期和频率的关系,以及频率稳定度。
2022-12-01 17:18:32
2134 振荡电路需要满足频率稳定度,温度特性,电源电压特性等条件。为设计性能均衡的振荡电路,我们需要权衡不同的电气参数。
2023-05-05 15:06:16
828 
评论