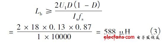
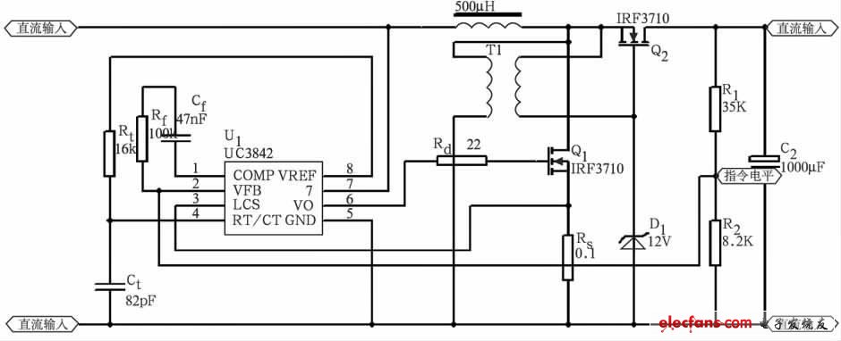
用UC3842做的开关电源的典型电路见图1.过载和短路保护,一般是通过在开关管的源极串一个电阻(R4),把电流信号送到3842的第3脚来实现保护。当电源过载时,3842保护动作,使占空
2010-08-18 10:36:16
4466 
采用安森美公司的电流控制型脉宽调制芯片UC3842 为一款1 kW 铅酸蓄电池充电器控制电路设计了输出功率为25 W 的辅助电源。根据文献[ 5] 设计了UC3842 的外围电路, 分析了输出反馈控制回
2011-11-05 01:06:00
56690 
以UC3842芯片为核心,提出了一种医用开关电源设计方案。首先阐述了UC3842的基本原理,在此基础上提出了单端反激开关电源的原理和设计方法。
2016-01-11 10:56:52
2756 
本文基于UC3842高性能电流模式脉冲宽度调制(PWM)发生器控制的开关电源,适合应用于此类医疗系统。实验通过光耦实现输出和输入的隔离,不仅提高了电源的效率,简化了外围电路,也降低了电源的成本和体积
2017-12-02 07:09:00
12967 
本文采用UC3842为PWM控制电路,电源工作频率选为85 kHz。
2022-10-17 11:06:03
3409 本文介绍了一种基于专用芯片UC3842的开关稳压电源。在电机调速控制器中,该电源提供功率开关元件基极(栅极)驱动电压和控制电路工作电压。开关电源性能的好坏直接影响到电机调速控
2011-10-02 16:43:53
3815 UC3842原理与终极详解,经典的反激开关电源资料。
2022-02-05 22:29:10
UC3842有哪些典型应用
2021-03-11 07:30:24
uc3842开关电源
2019-11-04 03:43:31
本帖最后由 sairvee 于 2011-11-25 09:45 编辑
uc3842开关电源电路图 用UC3842做的开关电源的典型电路见图1。过载和短路保护,一般是通过在开关管的源极串
2011-11-25 09:44:09
,核心PWM器件采用UC3842。开关管采用快速大功率场效应管。 2.1 启动过程 首先由电源通过启动电阻R 1提供电流给电容C2充电,当C2电压达到UC3842的启动电压门槛值16V时,UC3842
2011-03-18 09:58:10
描述uc3842开关电源电路图分享(一)用UC3842做的开关电源的典型电路见图1。过载和短路保护,一般是通过在开关管的源极串一个电阻(R4),把电流信号送到3842的第3脚来实现保护。当电源过载
2021-11-12 08:10:15
uc3842升压电路原理
2015-07-25 17:44:47
关于uc3842的占空比调节问题uc3842升压电路原理uc3842当中存不存在死区时间概念,是电容放电的时间吗?如何在psim中找到uc3842这个芯片为什么我的uc3842的六脚驱动不了MOS管
2018-08-29 17:03:23
基于UC3842开关稳压电源的设计(2)
2019-03-04 11:51:05
《开关稳压电源的设计与应用开关稳压电源的设计与应用》是“图解实用电子威廉希尔官方网站
丛书”之一。 《开关稳压电源的设计与应用开关稳压电源的设计与应用》分两部分对开关稳压电源进行介绍,第一部分主要介绍开关稳压电源
2016-06-11 16:46:33
开关稳压电源芯片MC3842资料下载内容主要介绍了:MC3842引脚功能MC3842内部方框图MC3842典型应用电路
2021-03-25 07:12:12
补偿特性的,高的标准电压源集成电路TL431,使稳压更高,如果没有特殊要求,基本能满足正常维修使用,电路见下图。二、开关电源1、PWM开关电源集成控制IC-UC3842工作原理UC3842工作原理下图
2022-02-25 10:50:44
原理本文以UC3842为核心控制部件,设计一款AC 220V输入,DC 24V输出的单端反激式开关稳压电源。开关电源控制电路是一个电压、电流双闭环控制系统。变换器的幅频特性由双极点变成单极点,因此
2013-08-31 11:00:32
基于UC3842开关电源设计求助{:4:}{:4:}
2012-07-11 09:54:51
` 本帖最后由 gk320830 于 2015-3-4 23:40 编辑
基于UC3842反激式开关电源的设计,希望对设计电源的朋友有用~`
2012-11-02 09:27:14
本章节以实用小型电源的设计为例,说明电源设计的方法。控制电路形式为它激式,采用UC3842为PWM控制电路。电源开关频率的选择决定了变换器的特性。开关频率越高,变压器、电感器的体积越小,电路的动态
2021-06-26 06:00:00
本章节以实用小型电源的设计为例,说明电源设计的方法。控制电路形式为它激式,采用UC3842为PWM控制电路。电源开关频率的选择决定了变换器的特性。开关频率越高,变压器、电感器的体积越小,电路的动态
2021-06-28 09:26:04
开关稳压电源由于具有功耗小,效率高,体重轻等优点,所以在电子电力威廉希尔官方网站
领域中占有重要地位。开关稳压电源主要由脉冲宽度调(PWM)制控制芯片、MOSFET/IGBT和变压器构成,通过PWM控制开关管通断
2018-10-19 16:35:03
UC3842开关电源电路的保护障碍分析
2019-04-28 07:33:50
用UC3842设计开关电源的几个技巧及问题归纳(2)
2019-03-07 11:25:14
开关管的关断;7脚是VCC,提供芯片工作的电源,芯片可以工作在8~40V,另外UC3842还具有输入电压欠压锁定门限,分别为16V(通)和10V(断);8脚是VREF,为参考输出端,向外提供基准电压5V
2018-10-19 16:41:22
基于UC3842的Buck降压电路(24VDC - 12VDC)。大家帮忙看看这个电路有没有可以改进的地方。谢谢!
2020-04-18 18:43:55
低电平控制开关管关断;VD3为18V稳压二极管为了保护uc3842钳位uc3842的电源电压,保证uc3842在18V以下工作;VD1为整流二极管,防止uc3842上电电源倒灌,R7为下拉电阻,防止
2018-10-19 16:41:47
是外接元件少、外围线路简易、价格低,广泛应用于工业产品中的开关电源。UC3842主要特点有:①振荡器的频率控制较精确,可微调;②电流工作模式频率可达500KHz;③自动前馈补偿功能;④闭锁PWM,逐周电流
2018-10-22 15:23:15
基于UC3842的反激式开关电源怎样用MATLAB simulink仿真
2017-04-18 20:35:30
基于UC3842的多输出开关电源设计
2021-01-13 22:51:28
基于UC3842的多输出开关电源设计资料来自网络资源
2021-08-15 21:01:23
的位置。本文基于UC3842高性能电流模式PWM发生器控制的开关电源适合应用于此类系统。 本设计通过小型高频变压器实现输出和输入的完全隔离,不仅提高了电源的效率,简化了外围电路,也降低了电源的成本
2018-09-29 16:53:54
本文介绍了一种基于专用芯片UC3842的开关稳压电源。在电机调速控制器中,该电源提供功率开关元件基极(栅极)驱动电压和控制电路工作电压。开关电源性能的好坏直接影响到电机调速控制器的工作可靠性。该电源
2018-07-19 09:42:45
uc3842开关电源电路图分享(一)用UC3842做的开关电源的典型电路见图1。过载和短路保护,一般是通过在开关管的源极串一个电阻(R4),把电流信号送到3842的第3脚来实现保护。当电源过载
2021-11-15 08:47:28
我要设计一个开关稳压电源 但是uc3842的仿真在protues中是没有的 小弟不会弄 特来求助
2013-11-17 20:42:01
我想用UC3842芯片来设计反激式开关稳压电源,我想问一下需要写程序来使电路工作吗
2016-02-23 14:51:37
菜鸟报道求大神指导做一个基于uc3875高频开关稳压电源
2013-10-24 13:31:37
请高手指点一下基于uc3842的开关电源设计,要求220V AC输入,5V/10A输出,非常感谢!
2013-03-26 21:58:49
程控开关稳压电源的控制方式对比?开关稳压电源由多个电子器件构成,但本质上,开关稳压电源的核心是一个直流变压器。所以想要对开关稳压电源进行分析并不难。在本文中,将为大家介绍通过程控的开关稳压电源的控制
2018-08-15 17:37:34
用UC3842开关电源做的典型电路见图1。过载和短路保护,一般是通过在开关管的源极串一个电阻(R4),把电流信号送到3842的第3脚来实现保护。当电源过载时,3842保护动作,使占空比减小,输出电压
2021-10-29 06:37:44
用UC3842设计开关电源的几个技巧,分享一下
2013-05-09 16:57:04
交流输入后通过整流滤波得到直流电压,经过LM317后获得16.5V的直流电压,作为UC3842芯片的启动电压。芯片启动后通过脉宽调制控制功率管的开关从而实现稳压输出。控制电路的核心是UC3842
2016-01-25 15:48:30
经典资料分享之 uc3842开关电源设计流程资料来自网络资源
2021-04-19 22:42:17
10A,该电路用了具有温度补偿特性的,高精度的标准电压源集成电路TL431,使稳压精度更高,如果没有特殊要求,基本能满足正常维修使用,电路见下图。二、开关电源1、PWM开关电源集成控制IC-UC3842
2021-09-19 07:00:00
使用UC3842做开关电源的驱动时,都是在1、2角之间加RC网络及其光耦、TLTL431等作为电源的反馈控制回路。UC3842的2脚是其内部放大器的反向输入端,1脚是放大器的输出端。这是一种习惯用法。这里要为大家
2015-07-23 10:10:48
基于UC3842的单端反激式隔离开关稳压电源的设计:以U C3842 芯片为核心, 设计了一种新颖的单端反激式、宽电压输入范围、多路固定电压输出的27W 开关稳压电源, 可应用在一些只有直
2009-09-28 16:25:51
202 以U C3842 芯片为核心, 设计了一种新颖的单端反激式、宽电压输入范围、多路固定电压输出的27W 开关稳压电源, 可应用在一些只有直流电压供电的场合。
A 27W off2line f lyback
2009-10-31 09:38:50
294 UC3842是美国Unltmde公司生产的一种性能优良的电流控制型脉宽调制芯片,它具有管脚数量少,外围电路简单等特点,因而得到了广泛的应用。但随着UC3842开关频率的提高,由它所构成
2009-11-02 13:44:07
202 本文阐述了一种基于UC3842 PWM 控制器的新型多路输出反激式开关电源电路的设计。该设计详细给出了变压器、漏感消除电路、启动电路以及电压电流反馈电路的设计过程。实验结
2009-12-26 11:14:36
684 uc3842开关电源电路图
用UC3842做的开关电源的典型电路见图1。过载和短路保护,一般是通过在开关管的源极串一个电阻(R4
2007-12-22 13:14:46
94355 
uc3842电路图
UC3842 组成的开关电源电路 图2 是由UC3842 构成的开关电源电路,220V 市电由C1、L1 滤除电磁干扰,负温度系数的热敏电
2007-12-22 13:22:31
16256 
uc3842典型电路图,UC3842设计的大功率正激开关电源、这种电路控制对象为电流型,主要
2008-01-02 22:02:29
8786 
uc3842开关电源电路图
1、UC3842的内部结构和特点
UC3842是美国Unitrode公司生产的一种高性能单端输出式电流控制型脉宽调制器芯片。
UC
2008-01-11 18:49:59
6225 
uc3842开关电源(厦新8156型DVD机电源)
2008-01-17 20:08:06
1333 
uc3842各脚电压
序号
电压(V)
2008-03-10 22:33:53
15076 电流控制型脉宽调制器UC3842在开关电源中的应用
引言开关稳压电源被誉为“新型高效节能电源”,它代表着稳压电源的发展方向。由于内部器件工作在高频开关状态,因
2008-11-26 08:37:41
1742 基于UC3842/UC3843的隔离单端反激式开关电源
开关电源以其高效率、小体积等优点获得了广泛应用。传统的开关电源普遍采用电压型脉宽调制(PWM)威廉希尔官方网站
2009-10-09 09:38:21
13455 
UC3842构成的单端反激式开关电源的实用电路
2009-10-15 13:46:07
3627 
用UC3842芯片设计开关电源
介绍电流控制型脉宽调制器UC3842的原理及特性,并讨论其在设计中应注意的问题。
2009-10-16 09:40:04
3596 
UC3842构成的开关电源电路
由UC3842构成的开关电源电路如图6所示,T为高频变压器。刚开机时,220V交流电先通过PNF滤掉射频干扰,再经过整流滤波获
2010-01-03 17:35:26
12669 
由UC3842设计的大功率正激开关电源如下图示:用3842或者3843设计的功率电源,一般应用于正激开关电源!这种电路控制对象为电流型,主要是电流反馈来控制脉宽,
2010-06-01 08:42:45
8814 
3842电路的保护 用UC3842做的开关电源的典型电路见图1。过载和短路保护,一般是通过在开关管的源极串一个电阻(R4),把电流信号送到3842的第3脚来实现保护
2011-06-14 10:33:08
4021 
下图是由UC3842 构成的开关电源电路,220V 市电由C 1 、L 1 滤除电磁干扰,负温度系数的热敏电阻R t1 限流,再经VC 整流、C 2 滤波,电阻R 1 、电位器RP 1 降压后加到UC3842 的供电端(⑦脚)
2011-07-15 17:19:19
5744 UC3842 采用固定工作频率脉冲宽度可控调制方式,电子发烧友为大家提供了 UC3842设计的PWM开关电源电路。
2011-07-24 10:14:49
7252 
本文介绍了UC3842在单端式PWM型开关电源中的应用,重点讨论了UC3842供电问题的解决方法.利用UC3842作单端式PWM型开关电源控制电路,调试方便实用。
2011-12-20 17:12:34
138 提出了一种基于UC3842实现的新型电流PWM控制的反激式开关电源,分析了UC3842在反激电路中用于输出直接反馈的新用法。与传统方法相比,该方法具有电压纹波小、负载调整率和电压调整
2012-03-16 15:46:48
64 文章构建了基于Boost 型变换器的DC/DC 变换器,系统以专用芯片UC3842 作为控制核心,辅以Atmega128 单片机稳定输出电压。利用UC3842 自身的电压电流环反馈,加上输出电压均值环设计成
2012-05-17 11:14:42
7323 
multisim开关电源UC3842仿真带Protel
2015-12-11 10:24:31
606 UC3842升压电路相关资料,感兴趣的可以看看。
2016-07-14 16:36:20
0 根据调整管的工作状态,我们常把稳压电源分成两类:线性稳压电源和开关稳压电源。
2017-03-03 09:29:11
2328 
UC3842芯片在反激电源上的用法
2017-05-24 10:37:29
15 针对30 kW开关磁阻电机控制系统的需要,本文设计了Flyback辅助开关稳压电源。此电源给系统控制板以及IGBT驱动电路供电,并保证电源电压稳定,纹波不大于3%,控制板电源与驱动电路电源以及
2017-12-07 11:05:01
18 本文主要介绍了基于UC3842的电源变换器设计,由UC3842组成的反激式开关电源是整个变换器的关键部分,核心部分为PWM控制单元。利用现有的飞机发电机输出电压作为开关电源的输入,得到PWM控制
2017-12-22 16:47:37
7553 
本文主要介绍了基于UC3842的三路输出小功率开关电源设计,以UC3842为PWM控制器,采用电阻,TL431和线性光耦等元器件构成电压采样反馈电路,设计了一种48V转+5V,±15V开关稳压电源,性能达到了预期指标要求,该产品具有精度高、纹波小、效率高、性能可靠等优点。
2017-12-22 17:06:57
11780 
本文主要设计了一种基于UC3842应用电路的设计与实现,UC3842作为一种高性能电流控制型脉宽调制芯片,具有外围电路简单,转换效率高等优点。实验证明UC3842可运用在多路输出开关电源上,有良好的性能,动态响应快。
2017-12-22 17:23:44
11481 
本文主要介绍了采用UC3842的反激开关电源调试及仿真。UC3842是一种高性能、单端输出、频率可调的电流型PWM调制器,最大的优点是外接元件少、外围线路简易、价格低,广泛应用于工业产品中的开关电源
2018-01-06 12:03:40
38246 
保护功能。以UC3842为核心控制器件,设计一款AC220V输入,DC24V输出的单端反激式开关稳压电源。开关电源控制电路是一个电压、电流双闭环控制系统。变换器的幅频特性由双极点变成单级点,因此,增益
2018-03-30 14:38:01
286252 
中,电源PWM控制电路最常用的集成电路型号就是uc3842(或KA3842).下面简单介绍一下uc3842好坏的判断方法:
在更换完外围损坏的元器件后,先不装开关管,加电测uc3842的7脚电压
2018-09-20 18:26:46
17418 本文介绍一种以UC3842作为控制核心,根据UC3842的应用特点,设计了一种基于该电流型PWM控制芯片、实现输出电压可调的开关稳压电源电路。开关电源是利用现代电子威廉希尔官方网站
,控制开关晶体管开通和关断
2019-10-14 08:00:00
25 由UC3842 构成的开关电源电路,220V 市电由C1、L1 滤除电磁搅扰,负温度系数的热敏电阻Rt1 限流,再经VC 整流、C2 滤波,电阻R1、电位器RP1 降压后加到UC3842 的供电
2020-03-22 16:49:00
40674 
以UC3842芯片为核心,设计了一种新颖的单端反激式、宽电压输入范围、多路固定电压输出的27W开关稳压电源,可应用在一些只有直流电压供电的场合。
2021-06-19 09:45:38
55 基于UC3842的开关电源设计(新星电源威廉希尔官方网站
有限公司官网)-基于UC3842的开关电源设计
2021-08-31 13:00:30
262 基于UC3843 UC3842反激开关电源设计流程(电源威廉希尔官方网站
博览会)-基于UC3843,UC3842反激开关电源设计流程
2021-08-31 13:11:53
246 基于UC3844的反激稳压电源的设计(开关电源威廉希尔官方网站
支持)-基于UC3844的反激稳压电源的设计
2021-08-31 13:45:38
33 基于UC384系列芯片的反激稳压电源的设计和分析(开关电源威廉希尔官方网站
指标)-基于UC384系列芯片的反激稳压电源的设计和分析
2021-08-31 14:26:13
37 基于UC3842的单端反激开关电源设计(电源威廉希尔官方网站
指标目录书写)-基于UC3842的单端反激开关电源设计
2021-08-31 14:56:34
341 UC3846脉宽调制高频开关稳压电源设计(电源威廉希尔官方网站
期刊小木虫)-UC3846脉宽调制高频开关稳压电源设计
2021-08-31 17:13:01
120 半桥式开关稳压电源(通信电源威廉希尔官方网站
培训)-半桥式开关稳压电源
2021-08-31 17:14:57
76 UC3842的工作原理及3842在开关电源中的应用(通信电源威廉希尔官方网站
期刊图片)-UC3842的工作原理及3842在开关电源中的应用,包含内部工作原理简介,典型应用
2021-09-29 09:48:55
369 UC3842构成的电源原理图免费下载。
2022-04-01 16:06:42
65 你知道开关电源UC3842为什么需要2路供电吗? UC3842是一种常用的PWM控制芯片,广泛应用于开关电源电路中。开关电源是一种将交流电转换为直流电的电子电源,其重要组成部分之一便是开关电源控制
2023-10-29 11:21:50
1019
评论