电阻并联电路是最基本的并联电路,所有负责的电路都可以转化成电阻串联和电阻并联电路来进行工作原理的理解。并联电路和串联电路特性完全不一样,是完全不同的电路,它们之间不能相互等效(电阻并联电路图)。
2022-11-18 09:38:51
552 首先,电感(线圈)具有以下基本特性,称之为“电感的感性电抗”。
2022-11-23 09:40:30
1671 我们讨论了电感元件的串并联的计算,今天我们进行深入学习探讨互感电感的串并联计算问题,那互感电感串联和电感并联时总电感量怎么算呢?在了解互感电感串并联之前,先必须知道电感的互感、互感系数等知识。
2023-03-03 17:59:57
14965 
电阻并联电路是最基本的并联电路,所有负责的电路都可以转化成电阻串联电路和电阻并联电路来进行工作原理的理解。并联电路和串联电路特性完全不一样,是完全不同的电路,它们之间不能相互等效(电阻并联电路图)。
2023-05-06 14:15:27
1003 
引言:DC-DC的并联问题一般使用不是很多,在电流不够的情况下,并联输出是一个不错的解决方案,多电感并联使用尤其方便,锁相可以减少纹波,不锁相也不会有什么问题,本节分析一个单电感并联使用的故障案例,供大家一起学习。
2023-11-15 17:22:36
584 
电路当外来频率加于一串联谐振电路时,它有以下特性:i.当外加频率等于其谐振频率时其电路阻抗呈纯电阻性,且有最少值,它这个特性在实际应用中叫做陷波器。ii.当外加频率高于其谐振频率时,电路阻抗呈感性,相当于一个电感线圈。iii.当外加频率低于其谐振频率时,这时电路呈容性,相当于一个电容。
2019-07-04 04:20:10
并联电阻的分流电感很重要
2021-01-06 06:14:29
在高频开关系统中,通过并联电阻测量电流时,您可能会观察到正弦波电流纹波幅值过大、方波纹波或快速转换电流过冲或过高的高频噪声等问题。这些问题是由并联的分流电感引起的,当并联电阻值较低时,尤其是在1m
2019-01-26 15:47:50
在高频开关系统中,通过并联电阻测量电流时,您可能会观察到正弦波电流纹波幅值过大、方波纹波或快速转换电流过冲或过高的高频噪声等问题。这些问题是由并联的分流电感引起的,当并联电阻值较低时,尤其是在1mΩ以下时,分流电感就变得更为明显。
2019-08-08 06:44:47
, 铁镍钼, 非晶合金等变化。 选择合适的磁芯,最重要的是考虑不同的B-H曲线和频率特性。特别是,B-H曲线决定了电感的高频损耗,饱和曲线及电感量. 磁芯从形状又可以分成,圆柱型, “C”/“U”型
2017-05-27 15:31:18
。 比较传统的电感器,一体成型电感拥有如下优点: 1、低损耗,低阻抗,无引线端头,寄生电容小。采用一体成型结构,坚实牢固,磁路封闭、具有良好的的磁屏蔽性和EMI性能 2、体积小、贴片式封装,适合
2017-06-24 10:59:47
电源变压器是常见的重要电子元件之一,但在电子刊物中,有关电源变压器的串并联使用却介绍很少。这里将电源变压器的串并联使用作浅薄介绍。 电源变压器与一般的器件一样,应急工作时可以将其多个变压器在一定
2018-10-09 10:01:56
` 本帖最后由 dzdaw2013b 于 2013-6-21 16:52 编辑
贴片电感:1、表面贴装高功率电感。2、具有小型化,高品质,高能量储存和低电阻之特性。3、主要应用在电脑显示板卡
2013-06-21 16:47:13
交流”细化解说:在电子线路中,电感线圈对交流有限流作用,它与电阻器或电容器能组成高通或低通滤波器、移相电路及谐振电路等;变压器可以进行交流耦合、变压、变流和阻抗变换等。由感抗XL=2πfL 知,电感L
2019-05-16 23:12:46
再讲开关电源的电感特性时,他从电容的特性入手,以电容的电压特性阐释了电感的电流特性,当电感回路中没有电阻时,电流会一直存在下去,电压为零。感觉对一阶电路 二阶电路的知识需要了解,巩固一下。做了一下总结。对于电容有...
2021-10-29 08:06:17
电感线圈的分类电感线圈的主要特性参数
2021-01-25 07:54:40
电感量L电感量L表明线圈本身固有特性,与电流大小无关。除专门的电感线圈(色码电感)外,电感量一般不专门标注在线圈上,而以特定的名称标注。感抗XL电感线圈对交流电流阻碍作用的大小称感抗XL,单位是欧姆
2019-02-26 16:13:37
的电感器就是用导线空心的绕几圈,有磁芯的电感器在磁芯上用导线绕几圈。无论哪种电感器,如果结构相同,其基本特性相同,但绕的匝数不同或有无磁芯不同时,电感器的电感量的大小不同。绕线匝数越多,电感量越大,在
2021-08-03 10:56:58
摘要电感器是开关转换器中非常重要的元器件,如用于储能及功率滤波器。电感器的种类繁多,例如用于不同的应用(从低频到高频),或因铁芯材料不同而影响电感器的特性等等。用于开关转换器的电感器属于高频的磁性
2019-07-19 07:08:58
限流熔断器是高压熔断器的一种。限流熔断器分为电阻限流和电弧电抗变换限流 。电阻限流使电路中电流值被限制在一定幅值以下。不论短路与否都不会超过一定值。限流熔断器有两种熔体结构,一种直列熔体,一种螺旋缠绕熔体。
2019-11-01 09:00:58
影响IGBT的动态和静态特性,使电流出现不平衡。因此,建议并联IGBT模块要安装在相同的散热器上,尽可能地靠近以降低冷却的差异,以获得最佳的热耦合,达到优的热平衡状态。另外,并联IGBT的散热膏厚度应尽
2018-12-03 13:50:08
USB接口故障播放器做为一种高度集成化的产品,因此在实际使用中,它的故障要并不像传统的播放器那容易损坏。并且一般情况下,出现的硬件问题也都不会太复杂,下面,就一些故障现象进行介绍。 USB
2010-03-16 09:29:48
Ω以下时,分流电感就变得更为明显。【图1. 这是分流电感问题的等效电路图。100kHz开关稳压器的方波输出被L1和C1滤波,使得电流纹波是正弦波。H1捕获实际电流波形(由ROUT 1探测),E1捕获并联
2021-08-12 06:30:00
电感线圈相互靠近时,一个电感线圈的磁场变化将影响另一个电感线圈,这种影响就是互感。互感的大小取决于电感线圈的自感与两个电感线圈耦合的程度,利用此原理制成的元件叫做互感器。电感器的特性电感器的特性与电容器
2018-09-20 11:34:20
时,电路阻抗呈感性,相当于一个电感线圈. 3.当外加频率低于其谐振频率时,这时电路呈容性,相当于一个电容.二.并联谐振电路:当外来频率加于一并联谐振电路时,它有以下特性: 1.当外加频率等于其谐振频率时其
2021-05-13 07:35:43
为什么电机励磁呈现电感特性而不是电阻特性
2023-12-21 08:00:36
什么是数码功放?浅谈数码功放
2021-06-07 06:06:15
一方面点亮故障指示灯并记忆故障代码,另一方面提供一个预先记忆在EUC存储器内的80℃冷却液温度的固定值,用于继续控制发动机运转,防止由于信号失常使汽车不能行驶。但是,当冷却液温度传感器的特性发生了变化,即
2018-11-15 16:47:34
、工作频率以及自身温度等有关,影响IRMS。5、自谐频率(SRF):电感器自身电感和分布电容组成的并联谐振电路的谐振频率F0。超过此F0时,电感表现为电容效应,低于此F0,电感才表现为电感效应(阻抗随频率增大而增加)。`
2013-01-05 16:00:54
在RJ45连接器中为什么电感与电容并联后测不到电容????
2012-10-06 23:30:28
电阻并联有哪些特性?电阻并联电路开路和短路故障检测方法
2021-03-16 09:23:30
本文将介绍电感器的各种铁芯材料及其特性,也将介绍一些电感器之电气特性等,以作为电路设计时,挑选电感器的重要评价参考。在应用实例中,将透过实际范例介绍如何计算电感值,及如何挑选市售标准的电感器。
2021-02-24 07:34:13
不是最佳化的结构,改良空间仍是十分大! 2、色环电感 色环电感是最简单的棒形电感的加工,主要是用作讯号处理。本身跟棒形电感的特性没有很大的差别,只是多了一些固的物,和加上一些颜色方便分辨感值,因单价
2020-06-24 15:50:49
什么是电感器?怎样去计算串联、并联电感的值?怎样去计算有互感电感串并联的等效电感?
2021-08-31 07:26:03
型的扁平线圈电感,产品无铅,符合RoHS标准。扁平线圈电感的特性就是以上五种,根据扁平线圈电感的特性,金昊德电感能够生产出客户所需要的任何扁平线圈电感。利用扁平线圈电感的特性衍生出了这种电感适用于电源供应器
2020-11-16 14:43:26
村田射频电感器有什么特性?有什么用途?
2019-08-21 07:56:00
最近工程上选用了VICOR的BUCKBOOST电源芯片PI3740,在看威廉希尔官方网站
手册时发现了在电源的输入(图中1)和输出端(图中2)都有电感和电阻并联,请问在输入和输出端电感和电阻并联在电路中起到什么作用?谢谢
2018-01-03 13:49:19
电容并联电路的电流特性电容并联容量增大特性电容并联电路不能流过直流电流的特性
2021-02-22 06:30:35
电路设计--电容与电感元件的串、并联[hide][/hide]
2017-05-01 21:48:52
电阻电容电感的并联问题
2021-02-26 07:55:33
200mA电流的趋势~因此每一路需要一个限制电流在200mA的限流电路。另外一个要求就是他们并联在一起之后,不能产生过高的整体电阻。其电阻在并联后产生的电压降在1v到2v所有。目前倾向于两种方式,一种是采用
2016-03-01 00:50:35
GZX电感电阻型限流器用 途电感电阻型限流器用于交流50Hz,标称电压为6kV、10kV、35kV电力系统中,与电容器相申联,以达到限制并联电容器组的合闸涌流,及消除电
2009-11-18 11:29:03
27 磁饱和型故障限流器的研究与发展:分析了传统故障限流威廉希尔官方网站
的优势和存在的问题,指出研制性能优良、经济合理的新型故障限流器对电网发展具有重要的现实意义和应用价值.在给
2010-03-18 16:06:42
11 几种RLC并联谐振电路特性的比较
文章分析了三种不同结构的RLC并联谐振电路的输入复导纳、谐振频率和品质因数Q,指出了它们
2010-03-30 15:53:00
94 串,并联谐振电路的特性一.串联谐振电路:当外来频率加于一串联谐
2006-04-16 18:55:07
1619
并联电感高频补偿电路图
2009-05-07 12:31:15
855 
并联有源电力滤波器交流侧滤波电感的优化设计
摘要:探讨了一种并联有源电力滤波器的交流侧滤波电感优化设计的方法;并应用于
2009-07-11 10:20:42
918 
图 在续流二极管侧并联电路电感电流脉动电路图
2009-07-25 10:58:10
1162 串联谐振电路和并联谐振电路的特性
一..并;联谐振电路:当外来频率加于一并联谐振电路时,它有以下特性: 1.当外加频率等于其谐
2009-09-17 08:17:02
13946 浅谈配电系统零线故障的防范措施
文章讨论了低压配电系统零线断线故障对人及设备造成的危害,并提出相应保护措施,即从故障发
2009-10-31 10:10:15
606 浅谈可控硅的特性及检测TAG标签: 特性 检测 可控硅 可控硅(SCR)国际通用名称为Thyyistor,中文简称晶闸管。它能在高电压、大电流条件下工作,具
2009-11-10 17:17:40
848 电感线圈的主要特性参数
1、电感量L电感量L表示线圈本身固有特性,与电流大小无关。除专门的电感线圈(色码电感)外,电感量一般不专门标
2009-11-30 10:23:41
2057 并联电容器的故障判断及处理技巧
1、并联电容器的故障判断及原因分析(1)渗漏油。并联电容器渗漏油是一种常见的现象,主要
2009-12-07 10:36:13
777 串并联谐振电路的特性
一.串联谐振电路:当外来频率加于一串联谐振电路时,它有以下特性:1.当外加频率等于其谐振频率时其电路阻抗呈纯电阻性,且有
2010-02-06 18:07:38
3344 电压为12伏的led串并联用限流电阻计算公式,可以帮您解决LED串并联中限流电阻的计算。
2011-07-01 10:13:24
13348 
为了提高交错并联变换器的性能,对四相交错并联双向DC/DC变换器中不对称耦合电感进行分析,推导出等效稳态电感和等效暂态电感的数学表达式。结合提出的耦合电感结构进行不对称耦
2013-09-26 15:11:26
28 浅谈不停电系统逆变电源的并联控制方案(1)。
2016-03-30 14:25:34
8 并联串联谐振电路的特性,感兴趣的小伙伴们可以瞧一瞧。
2016-09-18 17:34:53
0 直流混合型断路器与直流故障限流器的匹配研究_张翀
2017-01-05 15:34:14
1 电励磁双凸极电机并联桥短路故障的研究_陈志辉
2017-01-07 17:01:10
0 并联型MMC_MTDC系统直流故障特性分析及保护策略_武健
2017-01-07 18:12:51
0 耦合电感辅助换流的并联谐振直流环节逆变器_王强
2017-01-08 11:51:41
1 电路设计--电容与电感元件的串、并联
2017-02-28 22:49:18
0 滑动变阻器限流式接法使用在限流式电路中,采用滑动变阻器并联在待测电路的连接方式,其主要的作用是分取一部份电路中的电流而变阻器两端和其相并联的部分线路得电压相同。换句话,就是限流作用
2017-11-29 09:56:14
51533 
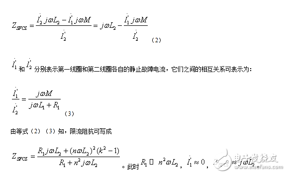
为解决传统的限流策略不能适应不同短路故障类型的问题,提出一种基于改进型参考滤波电感电流的限流策略。首先,以下垂控制的分布式发电单元(distributed generation,DG)为研究对象
2017-12-21 15:02:02
0 器的体积和成本;通过外加限流电感,有效提高了限流器的限流效果。首先分析饱和铁心型桥式故障限流器的工作原理,然后建立限流器的磁路模型,并对限流器性能参数进行详细分析和设计。在此基础上,基于Ansoft建立饱和铁心型桥式故障限流器
2018-01-29 11:23:34
0 在短路故障发生初期快速检测出故障并对短路电流进行限制,有利于电力系统安全稳定运行。采用电流半周波曲线与时间轴围成的面积作为判据进行短路故障早期检测,结合配电网短路故障特征与级联H桥变流器输出特性
2018-02-06 10:36:55
0 本文主要介绍了分压法和限流法的区别_分压式与限流式的选择。分压电路和限流电路的基本分析。滑动变阻器的限流法是串联在电路中的。滑动变阻器的分压法是并联在电路中的。滑动变阻器的分压法的电压可从零开始调节
2018-03-28 15:06:12
112395 
电感是闭合回路中的一种属性,是衡量产生电磁感应能力的物理量。我们常说的电感指的是电感器,是自感,用符号L表示。电感是电子电路中常用的器件,它有两个最主要的特性:通直流、阻交流。
2018-11-15 16:20:30
99650 在高频开关系统中,通过并联电阻测量电流时,您可能会观察到正弦波电流纹波幅值过大、方波纹波或快速转换电流过冲或过高的高频噪声等问题。这些问题是由并联的分流电感引起的,当并联电阻值较低时,尤其是在1mΩ以下时,分流电感就变得更为明显。
2019-02-01 07:55:00
8403 
电阻并联电路是最基本的并联电路,所有负责的电路都可以转化成电阻串联和电阻并联电路来进行工作原理的理解。并联电路和串联电路特性完全不一样,是完全不同的电路,它们之间不能相互等效(电阻并联电路图)。
2019-07-11 08:45:45
6336 
超导限流器全称为超导故障电流限制器(SFCL),主要是利用超导体的超导态,正常态转变的物理特性,实现对故障短路电流的限制,提高电网的暂态稳定性。
2020-01-21 16:31:00
9958 电阻并联电路是最基本的并联电路,所有负责的电路都可以转化成电阻串联和电阻并联电路来进行工作原理的理解。并联电路和串联电路特性完全不一样,是完全不同的电路,它们之间不能相互等效(电阻并联电路图)。
2020-04-20 08:00:00
0 1只电阻200欧,另1只电阻400欧,在左线上找到200刻度值,在右线上找到400刻度值,两点连成一条线,交于中间线的刻度值,就是两电阻并联结果。电容、电感同样。
2020-06-26 06:32:00
22555 电阻有并联电路,电容也有并联电路。但是,由于电容的特性比电阻复杂得多,因此电容并联电路也比电阻并联电路复杂,这里的复杂是指电路分析的复杂和对电路工作原理理解的困难。
2022-02-12 11:05:00
7431 
电阻有并联电路,电容也有并联电路。但是,由于电容的特性比电阻复杂得多,因此电容并联电路也比电阻并联电路复杂,这里的复杂是指电路分析的复杂和对电路工作原理理解的困难。
2021-01-28 06:31:32
11 电子发烧友网为你提供为什么电感并联会减小总电感量资料下载的电子资料下载,更有其他相关的电路图、源代码、课件教程、中文资料、英文资料、参考设计、用户指南、解决方案等资料,希望可以帮助到广大的电子工程师们。
2021-04-01 08:48:04
18 为什么电感串联会增大总电感量,而电感并联会减小总电感量,下面我们先看一下简单的情况,即电感之间没有耦合发生(实际使用中,很多情况也是没有耦合发生)。
2021-05-01 15:50:00
11620 
车规电感之共模电感 共模电感是电感的一种,它拥有众多特性和作用。 共模电感GUU产品特性: 1.符合环保,严格按照环保标准生产 2.四个端点,两个绕组
2021-06-10 15:27:09
2214 作为和电容电阻并头的三大热门元器件之一,电感器也是市场备受青睐的产品。关于电感器呢,能说的东西有很多,之前就对电流这一块的功能,有过简单的讲解,但是不够全面。不同类型也只是在材质和外形方面做出和以往不同的变化,所以并不能够以偏概全,今天就给大家来具体聊聊贴片电感这系列的产品特性!
2021-07-07 15:59:01
425 关于SiC MOSFET的并联问题,英飞凌已陆续推出了很多威廉希尔官方网站
资料,帮助大家更好的理解与应用。此文章将借助器件SPICE模型与Simetrix仿真环境,分析SiC MOSFET单管在并联条件下的均流特性。
2022-08-01 09:51:15
1687 
电阻并联电路是最基本的并联电路,所有负责的电路都可以转化成电阻串联电路和电阻并联电路来进行工作原理的理解。并联电路和串联电路特性完全不一样,是完全不同的电路,它们之间不能相互等效(电阻并联电路图)。
2022-08-26 10:24:45
4647 电感串联和并联的情况在电路中也偶尔会出现,如果我们知道了电阻、电容串并联,那么电感也可以通过串联、并联形成新的电感。现在我们分别来讨论电感串联和电感并联时总电感量怎么算?
2023-03-03 17:57:15
13747 
继电器、变压器等具有电感特性的元件一般都要并联一个反向二极管。
2023-03-10 16:43:58
1263 
并联电容器是重要的无功补偿元件,它的安全可靠运行对企业电网有重要意义。但是在并联电容器实际运行中,往往会因为电容器质量、系统设计、运行环境等因素出现故障。 库克库伯电气 将会在接下来的文章中介
2023-03-24 11:35:21
565 
LC并联谐振回路有何基本特性?说明Q对回路特性的影响 LC并联谐振回路是一种电路,由一个电感和一个电容器组成。它可以被用来过滤高频或低频信号,以及在无线电收发器中用作天线调谐电路。 LC并联谐振
2023-10-20 14:44:43
2014 电感有哪些特性?电感常见的作用有哪些? 电感是一种重要的电子元器件,具有许多特性和广泛的应用。在本文中,我将详细介绍电感的特性及其常见的作用。 电感的特性: 1. 自感性:电感器具有自感性,即当电流通过电感
2023-11-29 17:45:33
1565 当发生短路故障时,故障限流器将自动串入故障回路以限制短路电流。这不但破坏了距离保护阻抗元件所测量的阻抗与线路长度成正比的关系,而且降低了距离保护的灵敏度。
2024-02-06 11:47:42
295 并联谐振发生在并联电路中,其中包含至少一个可变的电感(如线圈)和一个可变的电容(如电容器)。当电路中的电感和电容元件的大小与电流的频率成反比时,就会发生并联谐振。
2024-02-19 14:47:15
511 求解耦合电感并联的等效电感的方法有多种,下面将解释两种方法:直接相加法和矩阵法。 直接相加法: 耦合电感并联的等效电感值可以通过将每个独立的电感相加得到。假设有两个电感L1和L2并联,它们之间存在
2024-03-09 09:33:10
317 耦合电感的伏安特性是指在电感与电流之间的关系,通常用伏特安特性曲线来表示。它描述了电感在不同电流下的电压变化情况,通过分析这些特性,可以了解电感的性能及其在电路中的应用。 首先我们来了解一下耦合电感
2024-03-09 10:47:54
421
评论