作者:Long Pham and Anthony DeSimone
高性能MEMS加速度计为包含惯性测量的广泛应用提供低成本解决方案。一些例子包括导航和AHRS系统,用于机器健康传感的振动监测,基础设施的结构健康监测,以及用于平台稳定的高精度倾角计,井下定向钻井中的倾斜监测,建筑行业道路平地机和测量设备中的调平,以及测量起重机稳定系统中的动臂角度。这些例子中的大多数使加速度计承受跨越各种振幅的振动。这些应用的另一个方面是振动的频率成分。振动、传感器和系统误差源的组合可以导致振动校正,这是高性能加速度计的重要规格。本文介绍了MEMS加速度计中的振动校正方式,并讨论了测量该参数的不同威廉希尔官方网站 。作为案例研究,讨论了低噪声、低功耗加速度计ADXL355的振动整变。低振动校正误差以及所有这些其他特性使其成为先前强调的精密应用的理想选择。
振动校正的起源
振动校正误差(VRE)是加速度计对交流振动的响应,这些振动被纠正为直流,表现为加速度计偏移的异常偏移。在倾角计等应用中,这是一个重要的误差源,其中加速度计的直流输出是目标信号,偏移的任何变化都可能被错误地解释为倾斜度的变化,从而导致误差向下传播,例如安全系统的错误触发或平台稳定或钻杆对齐中的过度补偿。
VRE高度依赖于加速度计所经历的振动曲线,并且由于应用于加速度计的振动模式不同,因此它可能因应用而异。振动校正可以通过多种机制进行,本文将讨论其中两种机制。
不对称栏杆
第一种机制是不对称栏杆。重力产生静态 1 g (9.8 m/s2) 加速度场,当灵敏度传感器轴垂直对齐时,可以创建加速度计测量范围的偏移。2 g满量程量程传感器在与重力加速度对齐时只能测量1 g峰值振动,而不会削波响应。超过1 g的对称刺激将产生非零平均值,因为沿经历额外1 g加速度的方向上的削波水平。
图1显示了施加在2 g满量程传感器上的振动信号的仿真。在存在 0.3 g rms 振动的情况下(在样品 300 和 600 之间),偏移没有明显的偏移。然而,在存在 1 g rms 振动的情况下(在样品 600 和 1000 之间),VRE 约为 –100 mg。
	
图1.加速度计中的振动校正图示,由于不对称削波,满量程范围为 ±2 g。
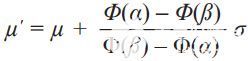
VRE可以建模为截断分布的平均偏移,受加速度计满量程范围的限制。当传感器在1 g场中经历随机振动时,可以将输入激励建模为正态分布,平均μ = 1 g,标准偏差σ = X,其中X表示均方根输入振动幅度。传感器的输出建模为双截断正态分布,其中输出值以 –R 和 +R 为界,其中 R 是传感器的最大范围。此双截断正态分布的均值为:
	
其中
	
是概率密度函数,
	
是其累积分布函数。α 和 β 定义为
	
和
	
。然后获得 VRE 为:
	
比例因子非线性
非线性是加速度计输出在工作范围内与最佳拟合直线的偏差。偏差通常表示为满量程输出的百分比。加速度计的非线性会影响VRE的电压,详情如下:
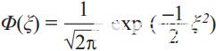
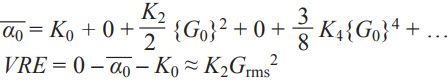
描述加速度计非线性度的常用模型是通过 n千阶多项式。输出一个o (LSB)可以表示为输入的函数一个我 (g) 如下:
	
哪里:
K0: 偏移量 (LSB)
K1:比例因子(LSB/g)
Kn:n千非线性阶系数, n = 2,3, ...(LSB/gn)
考虑一个简单的正弦输入加速度的情况:
	
此输入的时间平均值为零。加速度计的输出表示为:
	
时间平均输出等于上述等式右侧所有分量的时间平均值之和。奇数项的平均数为零。代入偶数项的时间平均值,
	
输出
	
的时间平均值为:
	
其中 G有效值是输入加速度的均方根值。上式表明,二阶非线性转化为直流失调 = (K2G有效值2) 存在正弦振动。术语
	
表示振动校正系数 (VRC),以 μg/g 为单位指定2-有效值。
振动校正的幅值和频率依赖性
对于小振动幅度,VRE以传感器非线性为主,可以用VRC表示:VRE=VRC×振动2有效值.但是,当振动幅度大于满量程范围时,VRE往往以上一节中所述的非对称削波为主。此外,如前所述,加速度计输出中的任何非零偏移也会导致不对称削波。大多数专为工业应用设计的MEMS加速度计都具有内置故障安全电路,通过关闭传感器偏置电路来保护传感元件在存在大振动时免受损坏。在较大的振动幅度下,此功能可能会导致偏移的进一步异常偏移,从而使VRE恶化。
由于设备中的各种谐振和滤波器,VRE通常具有很强的频率依赖性。MEMS传感器谐振会将传感器谐振频率下的振动放大一个等于谐振品质因数的因子,并且由于谐振器的2极响应,则会抑制更高频率下的振动。具有更高品质因数共振的传感器由于振动放大较大,将显示更大的VRE。由于集成了高频带内振动,较大的测量带宽也会导致更高的VRE。在信号处理电路中实现的interwetten与威廉的赔率体系 和数字滤波器可以抑制输出端的带外振动峰值和谐波,但对VRE没有显著影响,因为振动输入通过偶数阶非线性到直流进行整流。
测量振动校正
一旦在现场部署了加速度计,VRE就无法实时补偿。在可以容忍振动引起的小直流偏移的应用中,可以测量VRE以估计加速度计输出中的误差,以确定VRE是否在可接受的范围内。在任何振动测量中,振动台和测试夹具必须水平,并且必须使用精密振动台来抑制振动台交叉轴振动、偏移和结构共振引起的误差。另外,测试夹具必须设计成适当的刚度,以确保夹具共振频率远远超出加速度计带宽和振动曲线带。最佳夹具设计的最低共振频率应比最高振动频率高约50%。
正弦振动曲线
正弦振动法在现有文献中最为常用和描述,并在IEEE标准1293-1998中有所涉及。一般程序是将正弦振动输入应用于加速度计,并测量偏移偏移与均方根振动幅度(vib有效值).VRC 可以从拟合此数据的最小二乘法中估计:
	
这种方法可以精确测量VRC,因为幅度控制得很好,我们可以确保加速度计输出不会削波。该测试还可用于识别和量化器件共振对VRE的影响。但是,一次只能测试一个频率,为了充分捕获传感器性能,这种方法需要在加速度计带宽上单独测试多个频率。
随机振动曲线
VRE也可以使用随机振动输入进行测量。典型的真实振动不像正弦振动曲线那样是周期性的或可预测的,因此这种方法可以捕获加速度计在大多数应用中的性能。通过量化宽频率范围内宽带激励的偏移偏移,该方法对于同时包括所有强迫频率和激励所有器件谐振更有用。然而,不能保证峰峰值振动幅度,因此获得的VRE是频率范围内的平均值。
图2将截断均值模型与配置为±2 g范围的ADXL355Z轴传感器中测得的VRE进行了比较。在测量中,Z轴与重力对齐(1 g场),并使用Unholtz-Dickie振动台施加随机振动曲线(频段50 Hz至2 kHz)。使用参考加速度计(PCB Piezotronics型号352C23)测量振动幅度,并在振动幅度增加到满量程范围之外时测量偏移偏移。截断均值模型(拟合 2.5 g 截断)显示出与测量值的良好拟合。由于机械传感器开销和输出带宽限制(测量数据中的加速度计带宽为1 kHz,而模型未考虑带宽),预计截断与编程满量程范围的偏差。当振动水平达到8 g时,±2 g范围内的超量程保护电路被激活。高斯分布振动的波峰因数为 ≈3,因此测量的性能开始明显偏离模型超过 2.5 g rms。
	
图2.ADXL355中截断均值拟合与实测振动校正的比较。
导致VRE的其他因素
MEMS传感器共振会影响加速度计中的振动校正。高质量因数将导致在传感器谐振附近的频率处放大振动信号,从而导致更大的VRE。在比较ADXL355(±8 g范围,1 kHz带宽)中,X轴和Y轴传感器的VRE性能与Z轴传感器的VRE性能时注意到了这一点,图3中VRE的峰值约为3 g rms,因为与Z轴传感器相比,Q值更高。
	
图3.ADXL355的两个DUT中的高Q值(X轴,Y轴)和低Q值(Z轴)传感器中的VRE比较。
为加速度计使用大于必要带宽也会导致对更高频率分量进行平均,从而对VRE产生不利影响。这在图4中很明显,图4显示了ADXL355 DUT(±2 g范围)中Y轴传感器在两个独立带宽设置下的VRE比较。与 1 kHz 带宽设置相比,125 Hz 带宽设置下的 VRE 明显较低。
	
图4.VRE 适用于 ADXL355(±2 g 范围)1 g 磁场中的 Y 轴,适用于两种不同的带宽设置(125 Hz 和 1 kHz)。
结论
通过为加速度计选择合适的带宽来抑制高频振动,可以避免许多与振动相关的问题。封装和安装共振等装配考虑因素也会通过放大共振时的振动耦合来影响VRE的电压。确保刚性封装是实现良好振动校正性能的关键,方法是将封装和安装共振设置在加速度计带宽之外。
综上所述,振动校正误差(VRE)是MEMS加速度计的重要指标,本文讨论了VRE的主要来源和相应测量的威廉希尔官方网站 。在设计用于高振动环境中直流测量的MEMS加速度计时,应牢记这种影响。ADXL355以小尺寸提供出色的振动校正、长期可重复性和低噪声性能。
- 
                                传感器
                                +关注关注 2550文章 51042浏览量 753105
- 
                                mems
                                +关注关注 129文章 3924浏览量 190589
- 
                                加速度计
                                +关注关注 6文章 700浏览量 45891
发布评论请先 登录
相关推荐
基于MEMS加速度计的振动监控解决方案
 
    
MEMS加速度计性能已臻成熟
MEMS加速度计性能成熟
数据说话,今非昔比的MEMS加速度计你真的了解吗?
MEMS加速度计如何选择
MEMS加速度计中的振动校正是如何发生的?
MEMS加速度计的振动校正是如何发生的,并讨论各种测量此参数的威廉希尔官方网站
 
    
状态监测中数字MEMS加速度计的混叠效应
 
    
 
           
        
 
         MEMS加速度计中的振动校正
MEMS加速度计中的振动校正 
  
     
     
            
             
             
                 
             工商网监
工商网监
        
评论