用磁强计研究通电导线产生磁场的实验原理
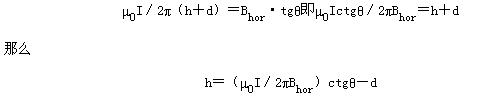
置于地磁场子午面的长直导线通以电流I(A)时,将产生一个与地磁场正交的磁场,其感应强度为μ0I/2πr,其中r是从导线到所考虑的点的距离。这样,当一只磁强计的磁针在离导线r处时会产生磁偏转角θ,并有

Bhor是地磁场的水平分量,单位为特斯拉(T)。由于磁强计玻璃面板的阻碍,本实验中不能直接测量出导线到磁针的距离r之值,但导线到玻璃面板的距离h是可以测量的。设磁强计的磁针在玻璃面板下的d处,显然r=h+d。因此,有

对于固定的位置,即保持h不变,tgθ-I的图象是一条直线[见方程(1)];保持I不变,ctgθ-h图象也是一条直线,由它的斜率和I的值能算出πBhor的大小[见方程(2)]。h轴上的截距即d的值。由于表示实验数据的点通常不密集在一条直线上,所以得不到非常确切的截距。
电子发烧友App































评论