DDS是什么意思,DDS结构,DDS原理是什么
什么叫DDS
直接数字式频率合成器DDS(Direct Digital Synthesizer),实际
2010-03-08 16:56:38
44482 DDS,什么是DDS,DDS的结构
DDS概述
直接数字式频率综合器DDS(Direct Digital Synthesizer),
2009-09-03 08:42:40
3992 
本文对DDS以及基于DDS的SOA系统的测试策略进行探讨,并介绍DDS测试方案。
2022-08-04 14:52:04
824 
现在用到DDS芯片做个信号发生器,可是不知道用DDS产生的波形的幅度是怎么得到的,要是想改变波形的幅度该怎么做?求解答。
2014-04-15 23:06:36
DDS的FPGA实现-dds-an-quicklogic
2016-11-15 17:36:01
25 直接数字合成(DDS),直接数字合成(DDS)是什么意思
直接数字合成(DDS)的概念
1971年,美国学者J.Tierncy,
2010-03-23 11:06:11
2210 概述OMG DDS(Data-Distribution Service)协议测试套件是北汇信息与臻容科技合作研发的针对 DDS 中间件软件的测试套件。该套件用于验证 DDS(Data-Centric
2023-10-11 13:48:54
利用ADISim DDS来仿真DDS产品的频谱特性。
2019-07-15 06:13:00
3349 什么是DDS,感兴趣的可以看看。
2016-11-22 15:14:46
4 本视频将首先介绍是DDS的优缺点,然后是DDS频率合成的基本原理,相位噪声和杂散,系统时钟的实现,产品介绍,最后是在线仿真工具ADIsimDDS。
2019-07-29 06:01:00
4649 简单介绍了直接数字频率合成(DDS) 威廉希尔官方网站
和Simulink 仿真系统的特点及背景,阐述了DDS 的基本工作原理并对它的主要杂散进行了分析;在Simulink 环境下建立了DDS 的动态仿真模型,分析了DDS
2010-07-06 17:22:54
30 首先介绍了采用直接数字频率合成(DDS)威廉希尔官方网站
的正弦信号发生器的基本原理和采用FPGA实现DDS信号发生器的基本方法,然后结合DDS的原理分析了采用DDS方法实现的正弦信号发生器的优缺点
2012-11-26 16:23:32
49 本文首先介绍了DDS的基本原理和特点,其次介绍了DDS芯片AD9854的概念,最后详细介绍了STM32的AD9854 DDS模块调试经验总结。
2018-05-16 16:43:13
16825 
DDS(Direct Digital Frequency Synthesizer) 直接数字频率合成器,本文主要介绍如何调用Xilinx的DDS IP核生成某一频率的Sin和Cos信号。
2023-07-24 11:23:29
825 
基于FPGA的DDS信号源设计与实现
利用DDS和 FPGA 威廉希尔官方网站
设计一种信号发生器.介绍了该信号发生器的工作原理、 设计思路及实现方法.在 FPGA 器件上实现了基于 DDS技
2010-02-11 08:48:05
223 利用ADISim DDS来仿真DDS产品的频谱特性
2018-06-03 01:46:00
3425 
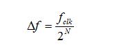
DDS的基本原理是利用采样定理,通过查表法产生波形。DDS的结构有很多种,其基本的电路原理可用图3 来表示。
2008-04-03 12:47:07
8600 
频率的产生有两种方法:DDS和PLL,但是为什么射频工程师一般用PLL多,很少用DDS呢?
2023-06-28 09:38:48
814 
本文将介绍DDS和PLL的工作原理,并结合一电台(工作频率2 MHz~500 MHz)的设计,给出DDS做参考的PLL频率合成器的设计方案。
2011-07-18 09:38:02
3299 
DDS是一种图片格式,是DirectDraw Surface的缩写,它是DirectX纹理压缩(DirectX Texture Compression,简称DXTC)的产物。由NVIDIA公司开发。大部分3D游戏引擎都可以使用DDS格式的图片用作贴图,也可以制作法线贴图。
2017-11-05 10:41:06
39060 
本文从DDS 基本原理出发,利用FPGA 来实现DDS 调频信号的产生,重点介绍了其原理和电路设计,并给出了FPGA 设计的仿真和实验,实验结果表明该设计是行之有效的。直接数字频率
2009-06-26 17:29:09
70 AD公司DDS芯片选型
2016-11-15 17:47:11
4 介绍了直接数字频率合成器(Direct Digital fiequency Synthesizer,DDS)的基本结构和工作原理,并在此基础上着重论述了利用舭软件建立DDS的理想和杂散仿真模型的方法。通过建立仿真模型,可以更方便有效地对DDS杂散分布特点进行分析。
2019-11-06 17:48:21
15 本文对DDS函数信号发生器的结构原理、优点、主要功能特性、主要威廉希尔官方网站
指标四个方面进行了简单的介绍。
2018-01-08 10:41:50
13151 
DDS(DataDistributionService)是OMG组织(ObjectManagementGroup)最早在2004年发布的分布式实时通信中间件标准,旨在使用发布-订阅模式实现可靠
2023-01-13 09:47:45
636 
DDS的结构和在系统设计中的优势以及D A转换器在DDS中的应用:
2009-06-10 11:11:09
34 介绍 DDS 的性能特点和两种威廉希尔官方网站
实现方案。针对DDS 的缺点,利用多路并行威廉希尔官方网站
设计的新型DDS 具有扩展输出带宽、保特高速稳定和频谱杂散的性能。
2009-09-25 16:14:11
34 DDS同DSP(数字信号处理)一样,是一项关键的数字化威廉希尔官方网站
。DDS是直接数字式频率合成器(DirectDigitalSynthesizer)的英文缩写。##DDS同DSP(数字信号处理)一样,是一项
2015-06-02 09:23:38
3935 
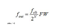
利用现场可编程门阵列(FPGA)设计并实现直接数字频率合成器(DDS)。结合DDS 的结构和原理,给出系统设计方法,并推导得到参考频率与输出频率间的关系。DDS 具有高稳定度,高分辨率和高转换速度,同时利用Altera 公司FPGA 内的Nios 软核设置和显示输出频率,方便且集成度高。
2016-04-01 16:14:19
24 本文根据DDS的相关手册构建仿真工程,包括单通道工程、多通道工程、使用DDS进行混频操作。
2023-05-24 10:46:39
256 
本文介绍了一种云方代理,云方代理的引入提供了标准的云方协作请求响应机制,云方代理是数据分发服务(DDS)的实现,它利用DDS可靠低耦合的发布订阅消息通信模型进行消息交互,同时采用基于xml方式编目云方资源实现云方与云方资源匹配,以期完成云方协作。
2016-01-04 17:13:49
8 近期,在汽车通信圈讨论较火的话题中,DDS绝对排得上号。而对于面向服务的通信协议,DDS与SOME/IP各自的优劣?DDS
能否替换SOME/IP等问题也随之而来。孰优孰劣,今天暂且不探讨这些问题,我们先来了解下什么是DDS?
2023-05-15 15:10:26
0 文末下载完整资料 本文主要介绍了采用直接数字频率合成DDS芯片实现正弦信号输出,并完成调频,调幅功能。它采用美国模拟器件公司(AD公司)的芯片AD9851,并用AT89C51单片机对其控制
2021-11-26 10:06:08
21 DDS是一种图片格式,主要在 3D 游戏中使用。该格式可附带多级渐近纹理层,并且能够以压缩格式存储和使用。不过,在通常情况下,PS是无法识别 DDS 图片的。
2017-11-05 10:20:43
14354 
基于dds函数信号发生器,用单片机及dds实现正玄波,三角波,矩形波的产生
2016-01-11 14:55:21
19 DDS的FPGA实现
2016-11-15 17:36:01
14 本站提供DDS 调试心得的资料,希望能够帮你学习。
2011-05-25 15:53:06
43 DDS_AD9834 程序资料 可以测试通过的。
2016-05-19 13:41:19
23 dds-c实现程序
2016-11-15 17:47:11
9 详细介绍了直接数字频率合成器(DDS)的工作原理、基本结构。在参考DDS 相关文献的基础上,提出了符合结构的DDS 设计方案,利用DDS 威廉希尔官方网站
设计了一种高频率精度的多波形信号发生器,此设计基于可编程逻辑器件FPGA,采用Max+PlusⅡ开发平台,由Verilog_HDL 编程实现。
2016-11-22 14:35:13
8 相位噪声是制约DDS用于高稳定频率源的的关键指标。文中定量给出了DDS内部相位截断误差、幅度量化误差、DAC以及参考时钟源对相位噪声的影响,并着重分析了DDS外围电路对相位
2010-10-20 16:36:17
26 杂散抑制差和输出频率低是DDS的两大缺点,并且随着输出带宽的增加杂散性能更加恶化。传统的解决方法是采用更好的算法和改进DDS芯片本身的结构。该文在分析了DDS杂散性能和
2009-03-11 22:09:22
19 本文介绍了直接数字频率合成器(DDS)的原理及其特性,以及在卫星定时基准源中的应用。实例表明利用DDS威廉希尔官方网站
使卫星定时基准源满足通讯基准站时钟频率精确要求。DDS威廉希尔官方网站
在时钟
2010-07-30 17:55:14
13 DDS是一种图片格式,是DirectDraw Surface的缩写,它是DirectX纹理压缩(DirectX Texture Compression,简称DXTC)的产物。由NVIDIA公司开发
2017-11-05 10:12:20
4582 
DDS是直接数字式频率合成器(Direct Digital Synthesizer)的英文缩写,是一项关键的数字化威廉希尔官方网站
。与传统的频率合成器相比,DDS具有低成本、低功耗、高分辨率和快速转换时间等优点,广泛使用在电信与电子仪器领域,是实现设备全数字化的一个关键威廉希尔官方网站
。
2017-11-04 10:52:12
11233 本专题汇集了四十种DDS信号发生器各部分资料,包括信号发生器原理,DDS芯片及应用,信号发生器电路图及DDS信号发生器设计,为你免除大量自行搜索的时间,让你深入了解DDS信号发生器。
2015-06-23 10:41:36

分为以下小节进行学习,希望对做波形产生这里的朋友有所帮助
(1)DDS的基本结构
(2)在DDS系统中的别名
(3)DDS用作ADC时钟驱动
(4)幅度调制
(5)无杂散动态范围的考虑
(6)参考资料
2016-01-19 11:16:30
8
DDS方式的工作原理电路图
2009-07-14 17:08:00
3291 
实现方法:用单片机控制DDS芯片,输出模拟的波形。
2016-01-15 15:06:52
1
评论