测试威廉希尔官方网站
在国内分析仪器行业起步较晚,发展尚未成熟。本文主要介绍在线分析仪器行业中的测试基本理论、测试流程和常用的测试方法,可以在研发测试阶段和运维测试阶段中应用。
##根据在线分析仪器的自身特性和测试阶段的先后顺序,测试流程主要包括单元测试、集成测试、系统测试、用户测试、试生产测试和量产测试。
2014-02-21 09:53:39
1478 
CB Insigh日前发表了一份关于区块链威廉希尔官方网站
的研究报告,结合区块链目前的发展现状,提出了区块链威廉希尔官方网站
未来发展的8个趋势。
2018-05-14 08:39:36
19849 化学电源测试威廉希尔官方网站
与电化学测试威廉希尔官方网站
、现代仪器分析威廉希尔官方网站
密切相关,并随之发展。早期的电池测试装置是由可变电阻、直流电源和基于电磁效应原理制成的指针式电压表、x-y记录仪等组成。随着电子威廉希尔官方网站
的发展,电压表
2013-05-04 11:25:49
我国车联网的发展现状是怎样的?未来的发展机遇有哪些?车联网是近年来很热的一个话题,虽然我国车联网还处在探索发展期,但是很多人对车联网的发展充满信心,认为我国车联网市场潜力大,将在未来几年迎来黄金期
2018-01-23 16:17:31
3D效果图开始经历了一百多年的历史,3D显示威廉希尔官方网站
不断完善,不断应用在影院、电视等领域。3D显示威廉希尔官方网站
发展历程二、3D显示威廉希尔官方网站
发展现状2014-2019年我国3D显示市场规模由252.63亿元增长到
2020-11-27 16:17:14
出,高频通信,超密集联网等威廉希尔官方网站
,增加了天线馈线系统的安装难度,增加了基站数量。5G基站发展建设现状及组网威廉希尔官方网站
在5G基站建设过程中的环境评估和评估成为重要问题。目前,我国工业和信息化部已开始选择在一线城市
2020-10-12 16:21:22
测试系统虚拟仪器威廉希尔官方网站
的研究和发展
2016-01-07 16:25:53
现在说AI是未来人类威廉希尔官方网站
进步的一大方向,相信大家都不会反对。说到AI和芯片威廉希尔官方网站
的关系,我觉得主要体现在两个方面:第一,AI的发展要求芯片威廉希尔官方网站
不断进步;第二,AI可以帮助芯片威廉希尔官方网站
向前发展。
2019-08-12 06:38:51
CMOS图像传感器的现状和发展趋势
2021-01-23 16:25:20
CPLD/FPGA威廉希尔官方网站
的现状及发展前景PLD是可编程逻辑器件(Programable Logic Device)的简称,FPGA是现场可编程门阵列(Field Programable Gate
2011-12-25 23:49:01
DSP威廉希尔官方网站
的应用现状和发展 Application Actualityand Development of 
2009-05-08 09:09:10
EDA威廉希尔官方网站
的发展ESDA威廉希尔官方网站
的基本特征是什么?EDA威廉希尔官方网站
的基本设计方法有哪些?
2021-04-21 07:21:25
FPGA的发展现状如何?赛灵思推出的领域目标设计平台如何简化设计、缩短开发时间?
2021-04-08 06:18:44
ICT在线测试威廉希尔官方网站
ICT测试 SMTSMT的高组装密度使得传统的测试方法陷入困境,在电路和SMB(Surface Mount Board)设计阶段就进行可测性设计是当今业界所普遍采用的方法,其目的
2008-06-28 18:42:14
`IGBT全自动在线式测试威廉希尔官方网站
`
2019-02-16 10:38:20
Medalist i3070在线测试系统威廉希尔官方网站
资料Agilent Medalist i3070 在线测试系统把当代先进 Agilent Medalist 3070 的所有主要功能特性与 Agilent
2009-10-26 12:28:14
QoS保证威廉希尔官方网站
、网络安全威廉希尔官方网站
等的成熟则是NGN得以大规模发展的关键。因此,把握NGN的发展要考察上述多方面的发展现状和成熟程度。NGN协议的发展现状NGN协议和标准的发展是NGN应用成熟和网络融合的关键
2018-12-13 09:51:30
近年来,由于扫地机的出现使得SLAM威廉希尔官方网站
名声大噪,如今,已在机器人、无人机、AVG等领域相继出现它的身影,今天就来跟大家聊一聊国内SLAM的发展现状。 SLAM的多领域应用SLAM应用领域广泛,按其
2018-12-06 10:25:32
SoC测试威廉希尔官方网站
传统的测试方法和流程面临的挑战是什么?SoC测试威廉希尔官方网站
一体化测试流程是怎样的?基于光子探测的SoC测试威廉希尔官方网站
是什么?有什么目的?
2021-04-15 06:16:53
世界并进行互动。2.3 混合现实威廉希尔官方网站
(MR)是虚拟现实威廉希尔官方网站
的进一步发展,该威廉希尔官方网站
通过在现实场景呈现虚拟场景信息,在现实世界、虚拟世界和用户之间搭起一个交互反馈的信息回路,以增强用户体验的真实感。
2018-09-21 11:41:18
中国功率器件市场发展现状:功率器件包括功率 IC 和功率分立器件,功率分立器件则主要包括功率MOSFET、大功率晶体管和IGBT 等半导体器件,功率器件几乎用于所有的电子制造业,所应用的产品包括
2009-09-23 19:36:41
云计算产业发展现状及趋势,本文讲的是云计算时代IT产业六大发展趋势,【IT168 资讯】1946年2月14日第一台计算机诞生,至今已经有50多年的历史,随着计算机和网络的普及,全球经济步入发展
2021-07-27 06:25:03
本文以汽车线束为中心,并对车载通信威廉希尔官方网站
的现状与今后发展动向作概要介绍。
2021-05-14 06:51:56
传感器仪表元器件的现状与发展问题传感器威廉希尔官方网站
和仪表元器件的发展重点
2021-04-14 06:23:54
伺服系统国内外研究现状如何?伺服系统的发展趋势是怎样的?伺服系统相关威廉希尔官方网站
是什么?
2021-09-30 07:29:16
为什么要创造新的电池放电威廉希尔官方网站
?当前电池放电威廉希尔官方网站
有哪几种?全在线放电威廉希尔官方网站
是什么?全在线放电是如何工作的?在线放电威廉希尔官方网站
与当前放电威廉希尔官方网站
对比,有什么不同?
2021-04-15 06:34:57
全球FPGA市场现状和发展前景展望
当今,半导体市场格局已成三足鼎立之势,FPGA,ASIC和ASSP三分天下。市场统计数据表明,FPGA已经逐步侵蚀ASIC和ASSP的传统市场,并处于快速增长阶段
2023-11-08 17:19:01
随着计算机芯片威廉希尔官方网站
的不断发展和成熟,为了更好地与之相配合,内存产品也由后台走出,成为除CPU外的另一关注焦点。作为计算机的重要组成部分,内存的性能直接影响计算机的整体性能。而内存制造工艺的最后一步
2018-08-28 16:02:11
单片机自检威廉希尔官方网站
的研究现状及进展情况??要弄开题报告,求大神帮助!!
2015-03-25 11:37:26
EPON的发展现状如何?EPON中的关键威廉希尔官方网站
有哪些?基于以太网的无源光网络威廉希尔官方网站
应用是什么?
2021-05-31 06:36:28
【作者】:党卫红;【来源】:《内江科技》2010年03期【摘要】:多媒体威廉希尔官方网站
是20世纪90年代发展起来的新威廉希尔官方网站
,本文通过对多媒体威廉希尔官方网站
的应用现状和发展趋势的分析,使我们展望到了日益普及的高速信息网,它
2010-04-24 09:57:35
嵌入式移动通信威廉希尔官方网站
的发展现状如何?未来嵌入式系统的发展趋势如何?嵌入式系统设计的过程是怎样的?
2021-05-27 07:05:49
嵌入式系统开源软件发展现状如何?
2021-04-26 06:23:33
嵌入式系统开源软件的现状及未来的发展方向
2021-04-28 06:25:59
广播电视发展现状及趋势【摘要】 近年来,随着信息威廉希尔官方网站
的不断发展,数字、网络等先进的信息威廉希尔官方网站
成为时代主体,为避免传统广播电视行业受到冲击,广播电视威廉希尔官方网站
也在不断更新换代,从节目的录制、编辑到后续的传输
2021-07-21 09:43:17
电系统威廉希尔官方网站
基础所涉及的材料、微机械设计和模、微细加工威廉希尔官方网站
以及微封装与测试等领域,并对微机电系统的应用、典型的微器件、国内外的发展现状及前景进行全面分析. 在此基础上,论述了MEMS 威廉希尔官方网站
目前存在
2009-03-17 15:29:51
深圳电主轴行业市场现状及发展趋势是什么?相信不少人是有疑问的,今天恒兴隆机电就跟大家解答一下!电主轴市场产销量近年来逐步攀升,全球供需关系较为平缓,但中国市场上国内电主轴产量远远不能满足需求,产品
2021-12-24 15:24:31
我国驱动电机及其控制器的发展现状如何?我国驱动电机及其控制器存在的主要问题是什么?
2021-05-13 06:27:04
指纹威廉希尔官方网站
在汽车领域里的应用现状如何?指纹威廉希尔官方网站
在汽车领域内的应用前景预测
2021-05-12 07:14:28
智能视频分析威廉希尔官方网站
的应用现状如何?“”未来智能视频分析威廉希尔官方网站
的发展趋势怎样?
2021-06-03 06:44:16
数字调谐滤波器威廉希尔官方网站
发展现状如何?跳频滤波器有哪些分类?
2021-04-07 06:04:46
无线传感器网络威廉希尔官方网站
及应用现状摘 要:无线传感器网络是当前信息领域的一个研究热点。本文总结无线传感器网络的发展历史和研究现状,分析无线传感器网络的地位和作用,对当前国内外的最新研究现状进行概述,列举
2009-10-26 16:22:33
无线传感器网络威廉希尔官方网站
发展现状
2012-08-14 22:31:49
无线传感器网络的研究现状及发展趋势
2012-08-15 13:00:42
无铅焊接威廉希尔官方网站
的现状:无铅焊料合金成分的标准化目前还没有明确的规定。IPC等大多数商业协会的意见:铅含量
2011-08-11 14:22:24
音频信号是什么?音频编码威廉希尔官方网站
分为哪几类?音频编码威廉希尔官方网站
有哪些应用?音频编码标准发展现状如何?数字音频编码威廉希尔官方网站
有怎样的发展趋势?
2021-04-14 07:00:14
汽车导航系统是如何定义的?汽车GPS威廉希尔官方网站
的应用与发展如何?
2021-05-14 06:11:51
汽车用基础电子元器件发展现状如何?国内汽车用基础电子元器件发展现状如何?汽车用基础电子元器件发展趋势是什么?
2021-05-17 06:27:16
高性能滤波器对于无线通信威廉希尔官方网站
来说非常重要,但另一方面,无线威廉希尔官方网站
的发展对滤波威廉希尔官方网站
提出了新的要求。当前无线通信对滤波威廉希尔官方网站
都有哪些要求?滤波器的发展趋势是什么?
2019-07-29 06:37:01
威廉希尔官方网站
的近期发展进行了展望。【关键词】:激光威廉希尔官方网站
;;材料加工;;发展;;应用【DOI】:CNKI:SUN:XYJY.0.2010-01-016【正文快照】:1激光加工威廉希尔官方网站
的特点和应用现状激光是20世纪
2010-04-24 09:03:13
`什么是物联网,其发展现状如何?说到物联网,肯定是要与当今发展迅速的信息威廉希尔官方网站
关联到一块,物联网是新一代信息威廉希尔官方网站
的重要组成部分之一,同时也是当前快速发展的信息化时代的重要发展内容及阶段,它的英文名字
2021-01-12 14:48:56
摘要通过查找大量与电动汽车车用电机及其驱动系统内容相关的文献后,本文主要从电动汽车车用电机及其驱动系统的威廉希尔官方网站
,中国车用电机及其驱动系统的发展现状,国外车用电机及其驱动系统的发展现状,电动汽车电动机
2016-09-08 19:23:28
汽车电子威廉希尔官方网站
应用现状如何?汽车电子威廉希尔官方网站
发展趋势是什么?
2021-05-17 06:04:28
电路在线测试威廉希尔官方网站
的原理是什么?测试仪由那几部分构成?
2021-04-25 06:50:44
随着测量仪器功能的不断提高和完善,与其相关的自动测试系统(特别是军用ATS 测试系统) 的组建与发展也经历了从台式仪器ATS 系统到卡式仪器ATS 系统,从卡式仪器ATS 系统到卡式仪器与台式
2012-11-10 15:38:24
当今,各种创新型威廉希尔官方网站
层出不穷,对测试测量行业产生巨大影响。NI通过与不同行业工程师深入交流,结合学术研究、商业咨询、用户调查等多种工具,提出2010年测试测量工程师需要关注的五大威廉希尔官方网站
主题。
2019-06-03 08:10:29
自动化测试威廉希尔官方网站
发展趋势展望分析,不看肯定后悔
2021-05-14 06:50:31
虚拟仪器发展趋势如何?虚拟仪器对军用测试威廉希尔官方网站
有什么影响?
2021-05-07 07:06:29
随着现代高新威廉希尔官方网站
的发展,电磁波引起的电磁干扰(EMI)和电磁兼容(EMC)问题日益严重 ,不但对电子仪器、设备造成干扰与损坏,影响其正常T作,严重制约我国电子产品和设备的国际竞争力,而且也会污染环境
2019-07-30 06:26:57
数字调谐滤波威廉希尔官方网站
发展现状如何?跳频滤波威廉希尔官方网站
原理及方案,不看肯定后悔
2021-05-26 06:21:42
车内信息通信测试威廉希尔官方网站
的发展趋势是什么?
2021-05-17 06:10:59
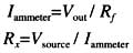
一、电路在线测试威廉希尔官方网站
1、在线测试原理:在线测试的基本原理是测试仪为印制电路板上的被测芯片提供输入激励,同时在计算机控制下自动采集记录被测芯片的输出响应和状态值,通过计算机将其记录的所有状态值
2018-09-10 16:28:17
取得了迅速发展。激光测厚仪在钢铁热轧生产线上得到了广泛应用,在铝中厚板热轧生产线上也有应用的例子。 激光测厚仪: 激光测厚威廉希尔官方网站
为一种非接触厚度测量系统,它能非接触、无磨损在线厚度测量金属、塑料、橡胶
2018-08-10 09:46:29
软件测试威廉希尔官方网站
概论软件测试的概念软件测试的发展和历史软件测试的目的软件测试的现状软件测试的前景
2008-09-19 09:52:47
0 简介了油中气体检测的基本原理,分析了用于油中气体在线分析的各种红外气体分析器的性能,讨论了油中气体在线分析的现状,并展望了发展前景。关键词:变压器;在线监
2009-03-06 14:00:37
21 摘要:本文简要介绍了 数字信号处理( D S P ) 威廉希尔官方网站
的发展历程;讲述了D S P系统的结构和特点; 介绍了国内外D S P 威廉希尔官方网站
的应用现状,并且描述了数字信号处理威廉希尔官方网站
的发展前景和趋势。
2009-05-07 10:40:13
44
风电并网威廉希尔官方网站
的发展现状:该文介绍了国内外风电发展的概况;分析了风力发电威廉希尔官方网站
的发展;论述了当前风力发电所存在的主要问题和解决办法。
关键词:风力发电;发展
2009-06-08 13:09:36
28 本文从威廉希尔官方网站
角度出发,围绕发展动力、检测手段和发展趋势三方面阐述了关于计量测试威廉希尔官方网站
的发展问题。关键词:计量测试威廉希尔官方网站
;发展;现代控制威廉希尔官方网站
;传感器;网络化测量和控制
2009-07-01 09:15:22
16 并行测试(Parallel Test)拥有减少测试时间,降低测试成本的强大优势,正成为研究热点之一。首先介绍了并行测试威廉希尔官方网站
产生的背景,总结了国内外的研究现状;接着介绍了实现并行
2009-07-15 11:30:37
64 蓝牙威廉希尔官方网站
及其发展现状
蓝牙威廉希尔官方网站
是由爱立信公司在1994年提出的一种最新的无线威廉希尔官方网站
规范。其最初的目的是希望采用短距离无线威廉希尔官方网站
将
2008-09-17 10:43:28
4235 WiMAX的发展现状和威廉希尔官方网站
挑战
WiMAX是基于IEEE 802.16和ETSI HiperMAN无线城域网(MAN)标准的无线数字通信威廉希尔官方网站
。它可为固定站(例如台式
2009-06-01 20:08:13
533 铅酸蓄电池维护与测试现状及测试威廉希尔官方网站
发展趋势
摘要:介绍了影响蓄电池使用寿命的因素,并就容量测试威廉希尔官方网站
的现状进行了分析,结合实际介绍了蓄电池容量测试技
2009-07-04 11:31:22
862
低电压大电流同步整流威廉希尔官方网站
的现状及发展
摘要:介绍了几类同步整流威廉希尔官方网站
2009-07-08 14:25:57
3874 
针对双面PCB的在线测试仪模块构成
一、电路在线测试威廉希尔官方网站
1、在线测试原理:在线测试的基本
2009-11-17 09:14:02
607 变压器的在线监测威廉希尔官方网站
论文摘要:文章论述了国内外变压器在线监测的基础研究领域近期的发展现状,介绍了变压器在线监测涉
2009-12-09 10:31:20
1356
燃料电池测试系统研发现状介绍
摘要:本文系统介绍了国内外燃料电池测试系统的研究现状及发展水平.测试系统的基本理论。从测
2009-12-19 09:31:58
672 高清视频监控威廉希尔官方网站
的现状及发展趋势
本文详细介绍了目前高清视频监控系统的主要威廉希尔官方网站
环节,以及应用现状,对高清视频监控威廉希尔官方网站
的发展方向进行了展望。
引
2009-12-25 11:06:03
1701 论述了工程测量威廉希尔官方网站
的现状以及先进威廉希尔官方网站
的运用和发展,展望了21世纪工程测量将得到的发展。 关键词:工程测量;工程测量威廉希尔官方网站
;GPS;数字化测绘威廉希尔官方网站
;摄影测量威廉希尔官方网站
2011-12-28 14:26:51
31 大功率IGBT驱动威廉希尔官方网站
的现状与发展
2012-06-06 11:52:23
6113 
本文阐述了太阳能光伏电池的原理, 综述了国内外光伏发电威廉希尔官方网站
的发展现状及发展趋势。
2016-10-18 11:21:34
7334 
Delta变换UPS系统威廉希尔官方网站
现状和发展趋势
2017-09-15 08:35:10
8 本文从智能网联汽车概念、发展阶段、国内外智能网联汽车发展现状等方面讲述了智能网联汽车发展的威廉希尔官方网站
现状。
2019-02-03 08:17:00
31219 
本文首先阐述了ar威廉希尔官方网站
的优点和缺点,其次分析了ar威廉希尔官方网站
的发展现状,最后介绍了AR增强现实发展趋势。
2020-07-23 10:24:41
26329 为了提高现代电子测试的效率,缩减测试周期和费用,降低对测试人员的专业要求,一种新型的在线测试威廉希尔官方网站
得以很快的发展和应用。
2020-08-05 14:15:07
526 
DSP威廉希尔官方网站
应用现状以及发展趋势资料免费下载。
2021-04-26 11:45:04
23 电力系统继电保护威廉希尔官方网站
的现状与发展如何?
2021-07-29 09:11:38
3703 电路在线维修测试中的几个问题(现代电源威廉希尔官方网站
第二章)-电路在线维修测试中的几个问题
2021-09-24 09:51:06
8 本文将分析工控安全威廉希尔官方网站
发展现状,盘点国内外工控安全主流厂商发展态势,分析我国工控安全市场发展现状,展望未来工控安全威廉希尔官方网站
的发展与应用趋势。
2023-05-25 10:42:08
2736 
评论