开关电源节材、省电、高效率已基本上取代了传统的变压器变压、二极管整流、晶体管稳压的电源。由于开关电源电路复杂,保护电路多,维修困难,要迅速排除开关电源的故障,对维修人员来讲,熟练掌握开关电源的基本组成和工作原理非常重要。##开关电源的维修方法与技巧
2014-01-17 17:29:36
65537 
双管正激式开关电源是一种常见的电源拓扑结构,采用了两个功率开关管进行功率调节。在这篇文章中,我将详细解释双管正激式开关电源的原理、工作方式以及其应用领域。 首先,让我们来了解一下什么是开关电源
2023-12-08 16:25:23
2020 `` 本帖最后由 gk320830 于 2015-3-5 14:43 编辑
开关电源详解,给大家分享``
2012-07-09 11:49:02
开关电源设计过程中的一些注意事项开关电源出现问题的时候,如何快速的查找出开关电源的问题所在
2021-03-16 11:56:55
开关电源原理及各功能电路详解
2012-08-20 13:48:05
`开关电源原理及电路详解 新手必备资料回复可下载[hide][/hide] 开关电源的主要电路是由输入电磁干扰滤波器(EMI)、整流滤波电路、功率变换电路、PWM控制器电路、输出整流滤波电路组成
2016-01-05 14:29:22
本人菜鸟一只,想用芯片实现低噪声电源,需要1A左右驱动能力的电源,目前打算用开关电源后接LDO设计。总电源输入是24V电源适配器,目前还不知道电源适配器的纹波和噪声性能,但是看到大部分高驱动
2014-04-22 22:30:52
定制的一个开关电源,使用后,系统噪声稍大,用手接触开关电源金属外壳,系统噪声就正常了。开关电源外壳是接大地的。感觉是可能EMI导致的噪声,目前无好的测试方案,无法证明。各位坛友有好的建议么?开关电源输入接了一个电源滤波器。
2019-10-28 05:43:03
开关电源常用电路详解资料分享【众筹活动】每天学习1小时 张飞带你两个月精通半桥LLC开关电源!(最后7天)
2019-02-19 22:17:38
开关电源电路详解
2012-08-29 07:52:34
(EMI)、整流滤波电路、功率变换电路、PWM控制器电路、输出整流滤波电路组成。辅助电路有输入过欠压保护电路、输出过欠压保护电路、输出过流保护电路、输出短路保护电路等。 开关电源电路图详解 一、主
2016-02-23 16:33:42
)、整流滤波电路、功率变换电路、PWM控制器电路、输出整流滤波电路组成。辅助电路有输入过欠压保护电路、输出过欠压保护电路、输出过流保护电路、输出短路保护电路等。 开关电源电路图详解 一、主电路
2018-10-15 13:26:40
一些开关电源拓扑结构分享
2021-03-16 10:03:53
输入过欠压保护 - 开关电源各功能电路详解
2019-03-26 10:59:53
反激电源的占空比 - 开关电源的系统设计详解
2019-03-20 16:40:08
开关电源纹波的种类和产生原因怎么对开关电源纹波进行测量如何抑制开关电源的纹波?
2021-03-11 06:04:23
开关电源设计详解
2012-08-04 09:42:38
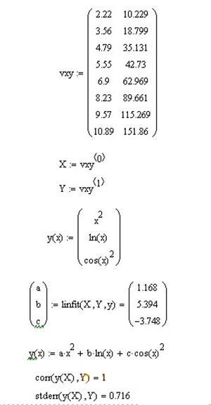
Mathcad在我们平常的电源设计中,起到了非常重要的作用,有时甚至被工程师们称为“办公计算利器”Mathcad渐渐成了一个必不可少的工具,它可以使我们的工作效率提高。对于Mathcad,大多
2018-10-08 15:17:07
=oxh_wx3、【周启全老师】开关电源全集http://t.elecfans.com/topic/130.html?elecfans_trackid=oxh_wx 详解一步一步设计开关电源资料来自网络资源
2019-06-20 20:14:39
高频开关电源,高频开关电源是什么意思
2019-04-30 12:23:18
开关电源的原理是什么?怎样更好地去理解开关电源的各部分电路?
2021-07-11 06:46:29
DC/DC开关电源中接地反弹的详解
2021-01-28 06:17:31
什么叫开关电源?开关电源和普通电源的区别
2021-03-16 12:54:09
、· * mathcad编辑计算书、Pcb Layout的设计、实际电源的调试与测试等等。三、本次活动回报包含哪些内容?支持者可获得如下回报:· 完整视频教程一套· 一:详细解析及证明开关电源软开关威廉希尔官方网站
2018-12-19 15:04:49
开关电源的工作过程是怎么样的?直流开关电源内部结构如何?开关电源主要有什么工作方式?
2021-03-11 06:06:05
学习开关电源你必须知道的电路详解
2020-05-23 11:40:20
LLC谐振开关电源:· * 半桥LLC原理图的设计、相关参数的计算、· * mathcad编辑计算书、Pcb Layout的设计、实际电源的调试与测试等等。三、本次众筹回报包含哪些内容?支持者可获得如下
2018-12-19 15:30:56
新型开关电源优化设计与实例详解---- 内容全面,翔实,难得的好书
2012-04-08 17:42:38
新型开关电源优化设计与实例详解
2012-04-16 00:18:04
新型开关电源优化设计与实例详解
2012-04-09 11:09:35
新型开关电源优化设计与实例详解
2012-04-11 11:38:21
新型开关电源优化设计与实例详解
2012-04-13 01:10:40
新型开关电源优化设计与实例详解
2012-04-12 23:13:46
新型开关电源优化设计与实例详解
2012-04-14 19:05:09
新型开关电源优化设计与实例详解
2012-04-16 00:48:48
新型开关电源优化设计与实例详解
2012-04-16 00:58:52
新型开关电源优化设计与实例详解
2012-04-16 01:15:26
新型开关电源优化设计与实例详解
2012-04-16 01:39:31
新型开关电源优化设计与实例详解完
2012-04-16 02:32:24
新型开关电源优化设计与实例详解
2012-04-10 00:54:01
新型开关电源优化设计与实例详解 ( 五 )
2012-04-09 15:12:31
新型开关电源优化设计与实例详解 (五 )
2012-04-09 18:30:30
新型开关电源优化设计与实例详解 (六 )
2012-04-09 20:02:48
新型开关电源优化设计与实例详解
2012-04-10 01:14:31
新型开关电源优化设计与实例详解
2012-04-11 11:01:28
新型开关电源优化设计与实例详解 (四 )
2012-04-09 12:46:24
新型开关电源优化设计与实例详解
2012-04-10 00:23:25
新型开关电源优化设计与实例详解
2012-04-12 00:16:20
新型开关电源优化设计与实例详解
2012-04-10 00:40:38
新型开关电源优化设计与实例详解
2012-04-09 23:34:36
新型开关电源优化设计与实例详解
2012-04-10 01:02:41
新型开关电源优化设计与实例详解
2012-04-11 00:23:14
新型开关电源优化设计与实例详解
2012-04-10 23:41:43
新型开关电源优化设计与实例详解
2012-04-10 01:23:42
新型开关电源优化设计与实例详解
2012-04-10 19:32:01
新型开关电源优化设计与实例详解
2012-04-11 00:03:13
新型开关电源优化设计与实例详解
2012-04-10 23:53:52
新型开关电源优化设计与实例详解( 二 )
2012-04-08 17:57:39
新型开关电源优化设计与实例详解
2012-04-13 01:33:06
新型开关电源优化设计与实例详解
2012-04-13 01:45:55
如题此软件适合开关电源的设计么?此软件适合开关电源的设计么?此软件适合开关电源的设计么?此软件适合开关电源的设计么?此软件适合开关电源的设计么?此软件适合开关电源的设计么?此软件适合开关电源的设计么?
2015-08-13 23:27:20
开关电源电路组成及原理详解
一、 开关电源的电路组成 开关电源的主要电路是由输入电磁干扰滤波器(EMI)、整流滤波电路、功率变
2009-12-30 11:56:55
6012 
开关电源,开关电源的分类和原理是什么?
开关电源的基本概念
随着电力电子威廉希尔官方网站
的告诉发展,电力电
2010-03-23 13:46:05
2517 开关电源工作时会产生大量的热量,如果不能把这些热量及时地排出并使之处于一个合理的水平将会影响开关电源的正常工作,严重时会损坏开关电源。为提高开关电源工作的可靠性,
2012-12-21 10:26:23
12341 ATX开关电源维修详解内部构造,帮你快速掌握电源
2015-11-30 17:38:26
47 开关电源各功能电路详解开关电源各功能电路详解开关电源各功能电路详解
2015-12-14 18:00:50
181 文件详细讲解开关电源的设计,计算每个元件参数,带图分析等。
2016-04-13 16:01:19
29 开关电源MATHCAD设计指南,感兴趣的可以看看。
2016-06-22 15:56:11
106 反激式开关电源设计详解(上),新手需要可以看看。
2016-07-12 15:29:43
54 开关电源的相关知识学习教材资料——开关电源电路组成及各部分详解
2016-09-20 15:44:26
0 开关电源原理及各功能电路详解
2017-01-14 12:13:58
69 开关电源的系统设计详解
2017-01-14 11:18:45
22 开关电源拓扑结构详解
2017-01-14 11:18:14
68 开关电源是利用现代电力电子威廉希尔官方网站
,控制开关管开通和关断的时间比率,维持稳定输出电压的一种电源,开关电源一般由脉冲宽度调制(PWM)控制IC和MOSFET构成。随着电力电子威廉希尔官方网站
的发展和创新,使得开关电源
2017-05-05 14:55:46
3651 
开关电源某些参数做得不好会造成EMC难过关、待机功耗大、效率不高。如何减小开关电源的待机功耗、提高开关电源的效率是全球电源行业共同关注的问题。本文配图讲述绿色开关电源设计要点。 随着现代科学威廉希尔官方网站
2017-12-11 10:31:40
45 开关电源电路图详解,快来浏览学习吧!
2018-08-18 10:26:20
20471 
本文以丰富的开关电源案例分析,介绍单端正激式开关电源,自激式开关电源,推挽式开关电源、降压式开关电源、升压式开关电源和反转式开关电源。
2019-08-31 12:03:31
233749 本文档的主要内容详细介绍的是反激开关电源电路原理图和标注详解资料合集免费下载。
2020-07-20 08:00:00
176 突然手头接到一个开关电源项目,比较简单就一个几十瓦的开关电源,就用普通的反激拓扑就可以。
2021-03-22 15:08:17
6079 
本资料主要介绍典型单片开关电源、 同步整流威廉希尔官方网站
的低压大电流开关电源、移动电子设备电源集成电路、和特殊用途开关电源。1. 可调五端单片开关电源LM2576ADJLM2576ADJ为一种典型的单片
2020-11-02 10:22:53
17 介绍了开关电源原理及输入电路详解说明。
2021-06-22 09:30:49
106 开关电源的工作原理及电路组成详解
2021-08-06 17:04:30
249 移相全桥为主电路的软开关电源设计详解(电源威廉希尔官方网站
审稿费多少)-移相全桥为主电路的软开关电源设计详解
2021-08-31 19:20:43
117 开关电源电路图详解(通信电源威廉希尔官方网站
审稿费)-开关电源电路图详解,有需要的可以参考!
2021-09-16 09:38:27
561 开关电源原理及各功能电路(通信电源威廉希尔官方网站
是国家级期刊吗)-开关电源原理及各功能电路详解,有需要的可以参考!
2021-09-16 09:43:14
46 开关电源的好资料,开关电源各部电路祥解(村田电源威廉希尔官方网站
(上海有限公司深圳分公司)-是一本设计开关电源的好资料,开关电源各部分电路详解,详细介绍开关电源的组成原理。
2021-09-22 17:52:34
653 正激、反激式、双端开关电源高频变压器设计参数及对应公式(通信电源威廉希尔官方网站
期刊级别是EI嘛)-正激、反激式、双端开关电源高频变压器设计详解
2021-09-27 10:36:39
289 开关电源详解(肇庆理士电源威廉希尔官方网站
公司)-关于开关电源的各部分详解,大家可以去看看
2021-09-29 17:44:19
141 关于同步开关电源和异步开关电源,关于同步开关电源和非同步开关电源,关于开关电源同步和异步,关于开关电源同步和非同步,关于开关电源同步升压和异步升压,关于开关电源同步升压和非同步升压,如下图所示:...
2021-10-21 14:06:06
62 开关电源的电感选择和布局布线详解
2021-12-28 10:10:35
19 开关电源原理及各功能电路详解
2022-01-04 14:22:44
71 图片详解12V3A开关电源的电路中各个部件的作用和功能
2022-07-12 14:27:09
10 开关电源工作原理详解90页,非常详细的开关电源原理图讲解,开关电源入门必备书籍。
2022-10-24 14:43:19
43 开关电源原理图详解,开关电源又称交换式电源、开关变换器,是一种高频化电能转换装置,是电源供应器的一种。其功能是将一个位准的电压,透过不同形式的架构转换为用户端所需求的电压或电流。
2022-11-03 22:38:40
1487 开关电源是电子电路中广泛使用的一种 电源拓扑结构 。 无论是复杂的数控机床还是紧凑的电子设备,只要设备连接到某种电源,开关电源电路就是必不可少的。
2023-03-29 09:12:13
2347 
开关电源电路原理详解 开关电源是一种高效率、小体积的电源形式,应用范围非常广泛,特别是在电子、通信等领域中,开关电源的应用越来越多。开关电源电路的核心是开关器件和控制电路,能够快速地开关电源的开关
2023-08-18 11:14:06
1455 开关电源常用拓扑电路详解 开关电源是一种通过高频开关器件将输入电源转化为稳定输出电源的电力转换威廉希尔官方网站
。它已经被广泛应用于计算机、通讯、工业控制、新能源等领域。开关电源拓扑电路是开关电源的核心,它决定
2023-08-18 14:07:16
1712 电子发烧友网站提供《开关电源原理及各功能电路详解.pdf》资料免费下载
2023-10-20 11:50:36
28 、元件更换等。这些步骤旨在逐步缩小故障范围并最终找到问题所在,以便进行修复。 二、开关电源维修步骤详解 观察故障现象 首先,观察开关电源的故障现象。例如,设备是否无法开机、有无异常响声、有无烧焦气味等。这些现象
2024-01-17 16:51:16
371 
评论