整流、滤波电路—示波器的使用
示波器是一种常用的电子仪器,主要用于观察和测量各种电信号。配合各种传感器把
非电量转换成电量,示波器也可以用来观察各种非电量的变化过程。示波器有多种类型和
型号,但它们基本原理是相同的。本实验是利用示波器观察周期性改变信号和测量其主要
参数。
交流电的电压(或电流)随时间作周期性变化。实际上,所谓交流电包括各种各样的
波形,如正弦波、方波、锯齿波等。本实验中,我们主要讨论正弦交流电。其原因在于,
正弦交流电在工业中得到广泛的应用,它在生产、输送和应用上比起直流电来有不少优点,
而且正弦交流电变化平滑且不易产生高次谐波,用傅里叶分析法可知各种非正弦的交流电
都可由不同频率的正弦交流电叠加而成,可用正弦交流电的分析方法来分析非正弦交流电。
通过交流和滤波电路,可以把交流电转换成直流电,在本实验中我们也通过实验了解整流
滤波电路。
【实验目的】
1.熟悉示波器的使用;
2.掌握交流电路的基本特性及交流电各参数的测量方法;
3.了解整流滤波电路的基本工作原理。
【实验原理】
1.交流电
正弦交流电的表达式如下,其曲线如图所示。

因此,把频率(或周期)、振幅和初相位称为正弦量的三要素。在实际应用中,交流电路中
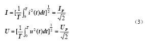
的电流或电压往往是用有效值而不是用幅值来表示的。许多交流电流或电压测量设备(如
万用表)的读数均为有效值。有效值为电流或电压对时间均方值,定义为:
需要指出的是:同频率正弦交流电的和或差均为同一频率的正弦交流电。此外,正弦交流电对时间的导数
也仍为同一频率的正弦交流电。这在威廉希尔官方网站
上
具有十分重要的意义。
2.变压器原理
在变压器中,将两个线圈绕在同一铁芯上,若一个线圈加上交流电压,则另一线圈上
将产生感应电动势。如图2 所示,在变压器中初级线圈所加的电压为E1(V),次级线圈产
生的电压为E2(V)。如初级线圈的匝数为N1,次级线圈的匝数为N2,则E1与E2的大小正比
于两个线圈的匝数。
由于两个线圈是通过互感相互作用,故E1(V)和E2(V)之间存在一定的相位差。
另外,不仅电压,电流也按一定的比例变化。设初级线圈流过的电流为I1(A),次级
线圈流过的电流为I2(A)。则I1(A)和I2(A)之间也存在一定的相位差。其大小与匝数
成反比,即
变压器的基本电路
3.整流和滤波
整流电路的作用是把交流电转换成直流电,严格地讲是单一方向的脉动电流,含有较
大的交流分量,会影响负载电路的正常工作;例如交流分量会混入输入信号被放大电路放
大。为减小电压的脉动,需通过低通滤波电路滤波,是输出电压平滑。
(1)整流原理
利用二极管的单向导电性可实现整流。
(a)半波整流
图3 中D是二极管,RL是负载电阻。若输入交流电为
图3 半波整流电路及其波形图
(b)全波桥式整流
前述半波整流只利用了交流电半个周期的正弦信号。为了提高整流效率,使交流电的正负半周信号都被利用,则应采用全波整流,现以全波桥式整流为例,其电路和相应的波形如图4 所示。若输入交流电仍为

图4 桥式整流电路和波形图
(2)滤波电路
经过整流后的电压(电流)仍然是有“脉冲”的直流电,为了减少波动,通常要加滤
波器,常用的滤波电路有电容滤波、电感滤波等。现介绍最简单的滤波电路。
(a)电容滤波电路

图5 全波整流电容滤波器 图6 全波整流电容滤波电路波形图
电容滤波器是利用电容充电和放电来是脉动的直流电变成平稳的直流电。我们已经知
道电容器的充、放电原理。图5 所示为电容滤波器在带负载电阻后的工作电路。设在t = 0
时刻接通电源,ui由0 开始上升,对电容器进行充电。由于整流元件的正向电阻很小,可
略去不计。在t = t1时,uC达到峰值为2ui 。此后ui以正弦规律下降,电容电压通过负载电
阻RL放电,在t2以前,二极管D1和D3因受反向电压而截止。当达到ui负半周的t2时,二极管
D2和D4导通,在次对电容和对负载供电。到达t3时,电容又充电至uC = i 2u ,以后每半
个周期如此循环下去。负载上的波形图如图6 中实线所示。由电容两端的电压不能突变的
特点,达到输出波形趋于平滑的目的。
(b)π 型RC 滤波
前述电容滤波的输出波形脉动系统仍较大,尤其是负载电阻RL较小时,除非将电容容
量增加(实际应用时难于实现)。在这种情况下,要想减少脉动,可利用多级滤波方法,即
再加一级RC低通滤波电路,如图7 所示,这种电路也称π型RC滤波电路。
由图7 可见,π型RC 滤波是在电容滤波之后又加了一级RC 滤波,使得输出电压更平
滑(但输出电压平均值要减少)。

图7 π 型RC滤波电路
【实验仪器】
双踪示波器,函数信号发生器,数字万用表,接线板,变压器1 个(1000 匝和500 匝),
整流二极管(4 个),电容三个:C1 = C2 =47 μF,C = 2200 pF,电阻两个:R1 = 300 Ω,
R2 = 1 kΩ,短接桥6 个,接线等。
【实验内容】
1.示波器的使用
(1)熟悉示波器和信号发生器各旋钮的作用,可参见实验室提供的仪器使用说明;
(2)调节信号发生器,使输出波的电压大小为5 V,频率为1 kHz(信号发生器所显示的
电压值为峰值),计算其电压有效值;
(3)调节示波器,要求能观察到稳定的交流波形,在附表1 中记录最高峰与最低峰之间的
时间和电压差值,计算电压有效值;
(4)用数字万用表测量信号发生器输出波的电压有效值并记录在附表1 中;
(5)对上面三个电压有效值值进行比较。
2.观测变压器的输入、输出波(升压、降压电路选作一)
(1)将变压器连接成升压电路或降压电路,保持信号发生器输出波不变(5 V,1 kHz),
利用示波器观察并测量输出电压的峰值,计算其有效值,并记录在附表2 中;
(2)将初级线圈和次级线圈的电信号分别输入示波器的CH1和CH2,观察并记录两波形(毫
米方格纸上),同时标出此时的相位差。
3.整流波形的测量
(1)将电路连接成半波整流电路(如图3),保持信号发生器输出波不变(5 V,1 kHz),
RL取1 kΩ;
(2)用示波器观察半波整流ui和输出信号uo,分别画出ui、uo的图形;
(3)用示波器测量输出波电压,记录在附表2 中;
(4)将电路连接成全波整流电路(如图4)RL =1 kΩ,重复以上实验。
4.滤波电路
(1)实验电路图按图5 接线,RL =1 kΩ,C = 2200pF,调节信号发生器使输出信号为5 V,
200 Hz;
(2)用示波器观察输入信号和输出信号,分别画出输入和输出波的图形;
(3)用示波器测量输出波电压,记录在附表2 中;
(4)将电路按图7 接线,成为π 型RC滤波电路,C1 = C2 = 47 μF,RL =1 kΩ, R1 =300Ω,
重复以上的实验。
【思考题】
1.峰-峰值为1 V 的正弦波,它的有效值是多少?
2.整流、滤波的主要目的是什么?
电子发烧友App
















































评论