傅里叶变换(Fourier Transform)是一种数学工具,用于将一个函数(通常是时间域函数)转换成另一个函数(通常是频域函数),以分析该函数的频率特性。
2023-09-17 15:20:03
447 
傅里叶变换和离散傅里叶变换的关系 傅里叶变换(Fourier Transform)是一种将时间域(或空间域)的信号转换为频率域(或波数域)的信号的数学工具。而离散傅里叶变换(Discrete
2023-09-07 17:04:15
330 如何由傅里叶变换推出傅里叶反变换 傅里叶变换和傅里叶反变换是信号处理和通信领域中的两个重要概念,是数字信号和连续信号的重要数学分析方法之一。傅里叶变换可以将时间域信号转化为频率域信号,而傅里叶反
2023-09-07 17:04:09
356 傅里叶变换的实现方法 傅里叶变换是一种将信号在时间域和频率域之间相互转换的数学工具。它的实现方法有很多种,其中最常见的是离散傅里叶变换(DFT)和快速傅里叶变换(FFT)。 离散傅里叶变换是一种将
2023-09-07 16:47:52
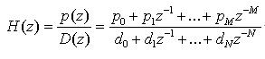
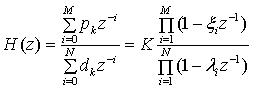
173 (s)域表示;z变换用于将一个离散时间信号转换为z平面域表示。虽然它们有各自不同的应用领域,但它们之间有一些联系。在本文中,我们将详细介绍傅里叶变换、拉普拉斯变换和z变换的联系和区别。 一、傅里叶变换 傅里叶变换是一
2023-09-07 16:38:58
319 DTFT和Z变换之间的关系。 DTFT是时域离散信号的连续频域表示,它将时域离散信号转换为连续的角频率域。这种变换通常用于分析周期或无限长的离散时间信号。 即使信号是有限长度的,也可以将其视为无限周期信号进行处理。DTFT的数学表达式如下所
2023-09-07 16:38:55
485 傅氏变换和傅里叶变换的区别联系 傅氏变换和傅里叶变换是信号处理中常用的两种变换方法,它们有着不同的作用和特点。傅氏变换主要应用于连续时间信号的频域分析,而傅里叶变换则主要用于离散时间信号的频域分析
2023-09-07 16:35:05
195 一个时间函数转换为它的频率域表示,更具体的说,是将连续时间函数和离散时间函数转换为连续频率函数和离散频率函数。傅里叶变换的应用十分广泛,包括音频处理、图像处理、视频处理、通信系统等领域。 傅里叶变换的意义是将时域
2023-09-07 16:14:33
252 重点1:对照连续时间周期信号的FS的思想,理解离散时间周期信号的FS,对照二者的相同之处(离散谱)和不同之处。
2023-07-17 16:28:10
776 
在异步电机矢量控制系统中,普遍采用在连续时间域内分析并随后离散化的方法进行电流调节器的设计
2023-07-11 14:31:39
148 
导读:本期文章主要介绍的是基于离散域下设计PI电流调节器,之后与传统的d、q轴的电流环的性能做仿真对比分析。
2023-06-16 13:58:45
431 Z变换主要用于分析离散系统的输出响应。对于离散信号,通常采用计算机采样的方式将模拟信号进行采样来得到,17世纪发展起来的经典数值分析威廉希尔官方网站
奠定了这方面的数学基础。对于连续系统,通常采用微分方程来描述
2023-03-10 10:53:09
470 
从事开关电源研发的工程师,尤其是模拟控制的电源设计师,比较熟悉连续时域、连续频域的传递函数分析。那如何把模拟控制变成数字控制呢?因为计算机或者CPU它本质上是一个采样系统,只能处理离散系统,所以要把
2022-12-23 18:05:00
2032 
连续时间LTI系统的复频域分析.ppt用拉氏变换法分析电路的步骤一.微分方程的拉氏变换 二.基于 s 域模型的电路分析
2009-09-16 08:38:24
本文档的主要内容详细介绍的是信号与系统学习课件资料合集免费下载包括了:信号与系统,系统数学模型(微分方程)的建立,周期信号傅里叶级数分析,拉普拉斯变换的定义收敛域,利用系统函数 H (j ω )求响应,信号的正交函数分解,离散时间信号——序列,z 变换及其收敛域,信号流图
2020-05-21 08:00:00
27 掌握序列的概念及其几种典型序列的定义,掌握序列的基本运算,并会判断序列的周期性。掌握线性/移不变/因果/稳定的离散时间系统的概念并会判断,掌握线性移不变系统及其因果性/稳定性判断的充要条件。
2020-04-13 08:00:00
0 应用离散傅里叶变换(DFT),分析离散信号x[k]的频谱。深刻理解DFT分析离散信号频谱的原理,掌握改善分析过程中产生的误差的方法。
2019-08-06 17:16:55
11 当然能!因为只要满足抽样定理,抽样后的离散数值就可以完全代表原来连续时间信号的信息。但问题是,离散时间信号的频谱,已经是数字域频率,携带的频率信息,需要转换为模拟频率,如何转换?
2019-04-16 09:46:02
8989 
频域分析法:信号处理和系统分析与设计的基础
局限性:一些信号的傅里叶变换不存在
复频域分析法:扩展了对输入信号的使用范围
2019-03-19 08:00:00
7 本文档的主要内容详细介绍的是数字信号处理教程之离散信号的资料分析免费下载包括了:1.离散信号的时域描述和分析,2.离散信号的频域分析,3.快速傅里叶变换,4.离散信号的Z域分析
2019-03-07 15:16:36
18 的基本概念及应用领域,第2、3章介绍连续时间信号的时域与变换域(傅里叶变换和拉普拉斯变换)分析,第4、5章介绍连续时间系统的时域与变换域分析,第6章介绍傅里叶变换的应用,第7、8章介绍离散时间信号与系统的时域与变换域分析,
2019-01-14 08:00:00
16 一般数字信号处理的内容,包括离散时间信号与离散时间系统的基本概念、Z变换及离散时间系统分析、离散傅里叶变换、傅里叶变换的快速算法、离散时间系统的相位与结构、数字滤波器设计(IIR、FIR及特殊形式的滤波器)、信号的正交变换(正交变换的定义与性质、K-L变换、DCT及其在图像压缩中的应用)
2018-10-29 10:46:41
4463 )。
(3) 单边Z变换的定义、性质、常用序列的单边Z变换、单边Z逆变换,要求熟练掌握(7.4节)。
(4) 离散信号的Z域分解
2018-08-23 08:00:00
10 本章主要内容
周期离散信号的傅立叶级数 (DFS)
非周期序列的离散时间傅立叶分析(DTFT)
离散傅立叶变换及其快速算法 (DFT)
离散系统的频域分析 (FFT)
2018-08-23 08:00:00
11 连续系统:传输和处理连续时间信号的系统。
离散系统:传输和处理离散时间信号的系统。
例:数字计算机
优点:高精度、可靠、可集成化。
前景:理论研究发展迅速,应用范围日益扩大
在实际工作中,人们根据需要往往把连续系统与离散系统组合起来使用,这种系统统称为 混合系统。
2018-08-23 08:00:00
6 电路问题的变换域求解
2018-06-30 10:50:10
1737 
分析:可见,离散序列的DTFT变换是周期的,这也符合Nyquist采样定理的描述,连续时间信号经周期采样之后,所得的离散信号的频谱是原连续信号频谱的周期延拓。
2018-06-14 14:15:23
4227 
连续的时间域信号变换到复频率域(整个复平面,而fourier变换此时可看成仅在jΩ轴);z变换则是连续信号经过理想采样之后的离散信号的laplace变换,再令z=e^sT时的变换结果(T为采样周期),所对应的域为数字复频率域,此时数字频率ω=ΩT。
2017-12-25 17:06:49
31378 
Mukundan在2001年提出一种基于离散Tchebichef多项式的离散正交矩。随后,Yap 提出另一种基于Krawtchouk多项式的离散正交矩。离散正交矩的基函数与数字图像域完全匹配,定义
2017-11-30 11:21:58
4 CCSDS图像数据压缩标准中采用9/7整形离散小波变换为核心算法,该算法结构简单,易于硬件设计实现。文中基于FPGA设计实现了9/7整数离散小波变换系统,设计中使用内部RAM存储方式,减小了对存储器
2017-11-25 03:41:01
361 
CCSDS图像数据压缩标准中采用9/7整形离散小波变换为核心算法,该算法结构简单,易于硬件设计实现。文中基于FPGA设计实现了9/7整数离散小波变换系统,设计中使用内部RAM存储方式,减小了对存储器
2017-11-24 14:26:23
770 
单水印算法在图像保护中功能较为单一,文中提出了一种基于分块的离散余弦变换DCT和离散小波变换DWT相结合的双水印算法。小波域水印算法基于人类视觉特性HVS对图像进行分解,具有较好的鲁棒性,可作为图像
2017-11-14 10:27:32
11 基于HVS的离散小波变换信息隐藏算法_王国才
2017-03-19 11:38:26
1 变采样率滤波的硬件离散小波变换,下来看看
2017-01-08 15:59:09
13 混合域实现图像块矩阵变换的CIS像素读出噪声分析_姚素英
2017-01-05 15:24:15
1 线性离散系统的分析与校正
2016-12-30 15:04:31
2 第三章-离散傅里叶变换-作业
2016-12-28 14:23:30
0 第三章-离散傅里叶变换及其快速计算方法
2016-12-28 14:23:30
5 第三章-离散傅里叶变换
2016-12-28 14:23:30
3 第3章--离散傅里叶变换(DFT)
2016-12-28 14:23:30
2 第三章 离散傅里叶变换及其快速计算方法
2016-12-28 14:23:30
1 第2章-离散傅里叶变换(DFT)及其快速算法(FFT)
2016-12-28 14:23:30
6 离散傅里叶变换及其快速计算方法
2016-12-28 14:23:30
2 《OpenCV3编程入门》书本配套源代码:离散傅里叶变换
2016-06-06 15:39:44
5 三相电压型SVPWM整流器离散域控制模型的构建
2016-03-30 14:59:59
25 为解决宽带OFDM系统易受传统窄带信号干扰的问题,采用基于变换域通信(TDC)的OFDM系统,通过在变换域中的电磁环境采样结果,对OFDM信号进行设计,避免使用受干扰频谱传送信息。
2012-02-13 15:35:38
22 该文针对Mallat快速离散小波变换,提出了一种利用变换平移不变性的离散小波变换的彩色图像分割方法。首先对原始图像进行平移不变性的小波变换,然后提取颜色和纹理特征,并采用
2011-10-12 16:00:58
19 针对 离散时间 系统变结构控制器的设计问题,提出了滑模控制器设计方法. 该方法不仅改善了系统到达阶段的品质,能够使系统快速趋向滑模面,且有效消除系统的抖振. 理论分析和仿真结
2011-06-09 17:57:32
38 本内容为美国著名教授奥本海姆等人所著。系统的论述了离散时间信号处理的基本理论和方法, 1999年修订后推出了第二版。
2011-03-09 18:33:29
147 第一章 时间-频率分析 第二章 连续子波变换 第三章 子波与时间尺度分析 第四章 一维子波实例 第五章 离散子波变换. .........................
2011-02-25 15:43:15
15 本书内容包括连续信号与系统、离散信号与系统、确定信号与随机信号、线性系统与非线性系统、时域与变换域的基本理论与基本分析方法。
2011-02-25 15:40:10
215 离散傅里叶变换是一种在时域和频域均离散的傅里叶变换.
2011-02-23 09:30:10
49 美国空间数据系统咨询委员会(简称CCSDS)于2005年推出一套适用于空间领域的图像压缩标准,标准使用了离散小波变换为核心算法,推荐使用9/7整数离散小波变换实现无损图像压缩,由于该算法结构简单,易于硬件设计实现,因此可以用FPGA来实现提升小波算法。
2011-01-25 21:33:33
1419 
美国空间数据系统咨询委员会(简称CCSDS)于2005年推出一套适用于空间领域的图像压缩标准,标准使用了离散小波变换为核心算法,推荐使用9/7整数离散小波变换实现无损图像压
2010-09-08 10:25:46
1178 
基于离散小波变换的数字水印威廉希尔官方网站
(matlab源代码):提出了一种基于小波分析的简单有效的数字水印嵌入和盲检测的算法。先将嵌入的水印信息加密,然后将加密后的水印信息嵌到相
2010-02-10 10:04:44
317 本文介绍了离散小波变换的原理及其在处理非平稳信号时的优势。通过使用离散小波
变换对输入的带有间断点的信号进行分析,给出了经过小波变换的结果的图形并进行了分
2010-01-07 14:41:27
35 7-1 离散系统的基本概念7-2 信号的采样与保持 7-3 Z变换与Z反变换 7-4 离散系统的数学模型 7-5 稳定性与稳态误差7-6 离散系统的动态性能
2009-11-24 09:19:45
34 离散时间系统的时域分析学习指导这一章的内容实际上有两个方面:首先,它通过一些实例介绍了离散时间系统的一些基本概念;介绍了连接连续时间信号和离散时间信号
2009-10-04 09:26:54
39 用z变换解差分方程: 描述离散时间系统的数学模型为差分方程。求解差分方程是我们分析离散时间系统的一个重要途径。 求解线性时不变离散系统的差分方程有两种
2009-09-30 19:39:40
51 离散时间系统的频率响应特性:离散系统频响特性的定义频响特性的几何确定法一.离散系统频响特性的定义正弦稳态(正弦序列作用下系统的稳态响应)由系统函数得
2009-09-30 19:36:53
31 连续时间LTI系统的复频域分析:连续时间LTI系统的复频域分析一、用拉普拉斯变换法求解微分方程 1.拉普拉斯变换法的优点 2.微分方程的拉氏变换二、基于s域模型的电路分析 1.电阻元
2009-09-03 11:59:58
18 连续时间信号与系统的傅立叶分析§3.1 引言 §3.2 周期信号的傅立叶级数展开 §3.3 傅立叶变换§3.4 傅立叶变换的性质§3.5 周期信号的傅立叶变换§3.6
2009-08-26 09:06:01
45 离散控制系统:10.1 Z变换10.2 Z逆变换 10.3 Z变换求差分方程 10.4 脉冲传递函数10.5 有零阶保持器的开环脉冲传递函数 10.6 闭环脉冲传递函数 10.7 脉冲系统的稳定性分
2009-07-28 10:30:48
22 1)付里叶变换的四种形式(2)离散付里叶级数(3)离散付里叶变换(4)离散付里叶变换的有关性质(5)频率抽样理论(6)离散付里叶变换的应用(7)DFT逼近连
2009-07-25 11:42:30
14 信号与系统的分析方法有时域、变换域两种。一.时域分析法1.连续时间信号与系统:信号的时域运算,时域分解,经典时域分析法,近代时域分析法,卷积积分。2.离散时间
2009-07-25 10:31:11
58 离散时间信号与系统:一.序列的表示法1.信号及其分类(1).信号信号是传递信息的函数,它可表示成一个或几个独立变量的函数。如,f(x); f(t); f(x,y)等。(2). 连续时间信号
2009-07-25 10:26:52
41 针对聚类分析中隐私数据保护的问题,提出一种基于离散余弦变换矩阵的隐私数据保护方法(DCBT),对随机选择的k个属性向量实施变换,直到所有属性都至少被变换一次且变换的次数
2009-03-31 10:31:30
11 离散傅立叶变换:一.DFT是重要的变换1.分析有限长序列的有用工具。2.在信号处理的理论上有重要意义。3.在运算方法上起核心作用,谱分析、卷积、相关都可以通DFT在计算
2008-12-07 12:08:41
19 离散傅里叶变换及其快速算法离散傅里叶变换 (Discrete Fourier Transform,DFT)是时间函数是离散的,而且频谱函数也是离散的变换。3. 1 讨论周期序列的 傅里叶级数及其性质。
2008-10-30 12:54:54
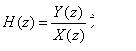
33 离散时间信号和离散时间系统离散时间信号和系统的频域描述离散时间信号的傅里叶变换众所周知,连续时间信号f(t)的傅里叶变换定义为下图而f(jΩ)的傅里叶反变换定
2008-10-30 12:53:10
29 离散时间信号分析和处理系统地介绍了离散时间信号分析和处理的基本概念、基本分析方法和处理威廉希尔官方网站
。全书共9章,内容包括离散时间信号和系统的基础理论,离散傅里叶变换(DFT
2008-10-02 10:57:17
64
评论