资料介绍
1 数字前端
该低功耗数字接收机主要是针对语音信号的,要处理的信号都是窄带的。对数字前端中的混频器送出的interwetten与威廉的赔率体系 窄带中频信号进行采样,产生数字窄带中频信号。对该信号进行解调之前,先将频谱搬至零中频处,再进行滤波,降采样率等处理,如图1所示。

图1中A/D表示模数转换器,LPF表示低通滤波器,fs表示采样率,fo表示最靠近零频处镜像的中频。其中LPF实现如图2所示的功能。设滤出的复数信号采样率降为f‘s=fs/M。
图2中,细线表示上边带(USB),粗线表示下边带(LSB)。

说明一点,在实际中,上下边带的位置关系要根据模拟信号的中频及采样率fs才能确定,这里为了方便解释,就认为LSB在左,USB在右。
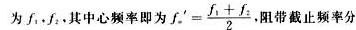
2 解调方案一
以解调上边带为例,如图3所示,设计一个数字带通滤波器,其频响关于中心频率fo’对称,
别为f3,f4,截止频率处的衰减至少为-20 dB。
该低功耗数字接收机主要是针对语音信号的,要处理的信号都是窄带的。对数字前端中的混频器送出的interwetten与威廉的赔率体系 窄带中频信号进行采样,产生数字窄带中频信号。对该信号进行解调之前,先将频谱搬至零中频处,再进行滤波,降采样率等处理,如图1所示。

图1中A/D表示模数转换器,LPF表示低通滤波器,fs表示采样率,fo表示最靠近零频处镜像的中频。其中LPF实现如图2所示的功能。设滤出的复数信号采样率降为f‘s=fs/M。
图2中,细线表示上边带(USB),粗线表示下边带(LSB)。

说明一点,在实际中,上下边带的位置关系要根据模拟信号的中频及采样率fs才能确定,这里为了方便解释,就认为LSB在左,USB在右。
2 解调方案一
以解调上边带为例,如图3所示,设计一个数字带通滤波器,其频响关于中心频率fo’对称,
别为f3,f4,截止频率处的衰减至少为-20 dB。
下载该资料的人也在下载
下载该资料的人还在阅读
更多 >
- GB/T 15960-1995 短波(HF)广播单边带制式威廉希尔官方网站 规范 0次下载
- GB/T16946-2017 短波单边带通信设备通用规范 3次下载
- AN-302:在单边带接收机中发挥数字优势
- DN482-一种低功耗、可变增益的直接数字中频接收机
- 单边带调幅对讲机设计 25次下载
- 如何利用软件无线电实现的单边带锁相解调算法 16次下载
- 短波单边带收发信机的原理及其相关知识的解析 71次下载
- DSP低功耗接收机单边带解调系统设计方案 0次下载
- 一种用于低功耗GNSS接收机的新型正交LMV电路_熊智慧 0次下载
- 一种超低功耗IR_UWB接收机射频前端 0次下载
- 数字卫星电视接收机调谐解调器中的零中频方案 22次下载
- 单边带威廉希尔官方网站 0次下载
- 基于AT642的便携式GPS接收机的设计
- 低功耗接收机中频子系统芯片AD608的原理、特点与应用
- 低功耗接收机中频子系统芯片AD607
- 接收机的工作原理和主要构成 1921次阅读
- 射频接收机的架构学习 405次阅读
- 雷达接收机的噪声洗漱和灵敏度解析 5020次阅读
- 基于FPGA-DSP平台实现GPS卫星导航接收机的设计 2170次阅读
- EMI测试接收机的抗干扰设计 2173次阅读
- 浅析:采用PLL威廉希尔官方网站 的接收机射频前端的设计方案 1826次阅读
- EMI接收机与频谱仪的区别在哪里?EMI测试要选用接收机的目的 1.1w次阅读
- 雷达数字中频接收机系统设计方案详细解析 7190次阅读
- 一文看懂单边带和双边带的波形及区别 14.1w次阅读
- 采用片上系统(SoC)威廉希尔官方网站 的星载微型GNSS接收机的设计 1955次阅读
- 基于分集接收机实现高性能系统 1451次阅读
- 接收机中的射频前端结构及英国威廉希尔公司网站 7292次阅读
- RAKE接收机的合并方式 7523次阅读
- 基于DSP的新型汉字NAVTEX系统接收机的设计 1769次阅读
- 婴儿报警载波接收机 2063次阅读
下载排行
本周
- 1电子电路原理第七版PDF电子教材免费下载
- 0.00 MB | 1489次下载 | 免费
- 2单片机典型实例介绍
- 18.19 MB | 91次下载 | 1 积分
- 3S7-200PLC编程实例详细资料
- 1.17 MB | 27次下载 | 1 积分
- 4笔记本电脑主板的元件识别和讲解说明
- 4.28 MB | 18次下载 | 4 积分
- 5开关电源原理及各功能电路详解
- 0.38 MB | 9次下载 | 免费
- 6基于AT89C2051/4051单片机编程器的实验
- 0.11 MB | 4次下载 | 免费
- 7基于单片机和 SG3525的程控开关电源设计
- 0.23 MB | 3次下载 | 免费
- 8基于单片机的红外风扇遥控
- 0.23 MB | 3次下载 | 免费
本月
- 1OrCAD10.5下载OrCAD10.5中文版软件
- 0.00 MB | 234313次下载 | 免费
- 2PADS 9.0 2009最新版 -下载
- 0.00 MB | 66304次下载 | 免费
- 3protel99下载protel99软件下载(中文版)
- 0.00 MB | 51209次下载 | 免费
- 4LabView 8.0 专业版下载 (3CD完整版)
- 0.00 MB | 51043次下载 | 免费
- 5555集成电路应用800例(新编版)
- 0.00 MB | 33562次下载 | 免费
- 6接口电路图大全
- 未知 | 30319次下载 | 免费
- 7Multisim 10下载Multisim 10 中文版
- 0.00 MB | 28588次下载 | 免费
- 8开关电源设计实例指南
- 未知 | 21539次下载 | 免费
总榜
- 1matlab软件下载入口
- 未知 | 935053次下载 | 免费
- 2protel99se软件下载(可英文版转中文版)
- 78.1 MB | 537791次下载 | 免费
- 3MATLAB 7.1 下载 (含软件介绍)
- 未知 | 420026次下载 | 免费
- 4OrCAD10.5下载OrCAD10.5中文版软件
- 0.00 MB | 234313次下载 | 免费
- 5Altium DXP2002下载入口
- 未知 | 233045次下载 | 免费
- 6电路仿真软件multisim 10.0免费下载
- 340992 | 191183次下载 | 免费
- 7十天学会AVR单片机与C语言视频教程 下载
- 158M | 183277次下载 | 免费
- 8proe5.0野火版下载(中文版免费下载)
- 未知 | 138039次下载 | 免费
电子发烧友App





创作
发文章
发帖
提问
发资料
发视频
上传资料赚积分
评论