资料介绍
1 引 言
Turbo码接近Shannon理论极限的优越性能使其在卫星通信、深空通信、多媒体通信等领域具有非常大的诱惑力,因此自提出以来一直受到广泛而持续的关注。
Turbo码的工程应用与实现是近年来研究工作的热点。Turbo码采用反馈迭代译码结构,成员译码器使用最大后验概率(MAP)译码算法译码,由于MAP算法含有大量的指数运算与对数运算,给实现带来极大的困难,在工程应用中,通常采用其对数域的简化算法——Log-MAP和Max-Log-MAP算法。相对于Log-MAP算法,Max-Log-MAP虽然损失0.5 dB的增益,但由于其大大简化了复杂度,在应用与实现中倍受关注。本文基于TMS320C6000系列DSP芯片讨论了Max-Log-MAP算法的实现与优化。
2 Turbo码的反馈迭代译码结构与Max-Log-MAP译码算法
Turbo码又称为并行级联卷积码(PCCC),编码器由两个RSC成员码通过交织器并行级联。与之对应,在译码端Turbo码则采用两个成员译码器串联构成的反馈迭代结构,如图1所示,其中DEC1与DEC2表示两个软输入软输出(SISO)的成员译码器,假设编码输出采用BPSK调制方式,xk,yk为解调器输出的受噪声污染的信息比特与校验比特,zk(zn)表示从另一个译码器经过解交织(交织)后得到的外信息。每个成员译码器有两个输出端口,分别输出信息比特的对数似然比LLR(L1(ak),L2(an))及被另一个成员译码器使用的外信息叫ω1k,ω2k,经过若干次迭代和两个成员译码器的外信息交换,对信息比特的对数似然比进行硬判决即可完成Turbo码的译码。

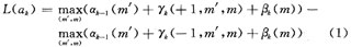
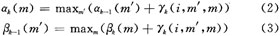
Max-Log-MAP算法下的对数似然比可以表示如下:

其中m′,m分别对应k-1和k时刻的编码器状态,αk(m),βk(m)分别称为前向和后向状态度量,可以根据RSC码的网格图由分支度量rk(i,m′,m)(i=±1)递推计算:

Turbo码接近Shannon理论极限的优越性能使其在卫星通信、深空通信、多媒体通信等领域具有非常大的诱惑力,因此自提出以来一直受到广泛而持续的关注。
Turbo码的工程应用与实现是近年来研究工作的热点。Turbo码采用反馈迭代译码结构,成员译码器使用最大后验概率(MAP)译码算法译码,由于MAP算法含有大量的指数运算与对数运算,给实现带来极大的困难,在工程应用中,通常采用其对数域的简化算法——Log-MAP和Max-Log-MAP算法。相对于Log-MAP算法,Max-Log-MAP虽然损失0.5 dB的增益,但由于其大大简化了复杂度,在应用与实现中倍受关注。本文基于TMS320C6000系列DSP芯片讨论了Max-Log-MAP算法的实现与优化。
2 Turbo码的反馈迭代译码结构与Max-Log-MAP译码算法
Turbo码又称为并行级联卷积码(PCCC),编码器由两个RSC成员码通过交织器并行级联。与之对应,在译码端Turbo码则采用两个成员译码器串联构成的反馈迭代结构,如图1所示,其中DEC1与DEC2表示两个软输入软输出(SISO)的成员译码器,假设编码输出采用BPSK调制方式,xk,yk为解调器输出的受噪声污染的信息比特与校验比特,zk(zn)表示从另一个译码器经过解交织(交织)后得到的外信息。每个成员译码器有两个输出端口,分别输出信息比特的对数似然比LLR(L1(ak),L2(an))及被另一个成员译码器使用的外信息叫ω1k,ω2k,经过若干次迭代和两个成员译码器的外信息交换,对信息比特的对数似然比进行硬判决即可完成Turbo码的译码。

Max-Log-MAP算法下的对数似然比可以表示如下:

其中m′,m分别对应k-1和k时刻的编码器状态,αk(m),βk(m)分别称为前向和后向状态度量,可以根据RSC码的网格图由分支度量rk(i,m′,m)(i=±1)递推计算:

下载该资料的人也在下载
下载该资料的人还在阅读
更多 >
- DSP软件编程与算法实现 25次下载
- 结合LoG边缘检测和ELPQ的模糊图像识别算法 3次下载
- 如何进行DSP的软件编程及使用算法实现的学习教程说明 17次下载
- 如何在DSP芯片上实现Matlab的仿真算法 33次下载
- DSP的常见算法应该如何实现 4次下载
- TMS320DSP算法标准的应用用详细举例说明 6次下载
- TMS320DSP的算法标准的详细规则和指南概述 10次下载
- Max-Log-Map算法优化 14次下载
- 改进的Max-Log-Map译码算法的DSP实现 42次下载
- 基于DSP的TURBO编译码器的设计 33次下载
- Turbo码译码算法的改进研究
- 基于DSP的Max-Log-MAP算法实现与优化
- 基于MAP的全局运动估计算法
- LOG-MAP算法的改进迭代实现及其结构
- DSP算法程序
- 如何查看GD32 Keil和IAR工程的map文件 2221次阅读
- 永磁同步电机驱动系统的效率Map图计算过程 5403次阅读
- List 转 Map的方法 1367次阅读
- 基于Rust的Log日志库介绍 3119次阅读
- 高通Camera Log Debug 906次阅读
- 什么是 map? 2576次阅读
- YOLOv5全面解析教程:计算mAP用到的numpy函数详解 2659次阅读
- 不用串口,如何打印STM32单片机log 2485次阅读
- DSP核心算法和数据价值的应用 1888次阅读
- mapreduce设置map个数_mapreduce设置map内存 1.1w次阅读
- Mapreduce和Hive中map reduce个数设定 6017次阅读
- mapreduce 中MAP进程的数量怎么控制? 1839次阅读
- 基于java的负载均衡算法解析及源码分享 2153次阅读
- 最好的辅助数据,MAP图对调速电机有什么作用? 2508次阅读
- Turbo译码研究及其DSP实现 1694次阅读
下载排行
本周
- 1电子电路原理第七版PDF电子教材免费下载
- 0.00 MB | 1489次下载 | 免费
- 2单片机典型实例介绍
- 18.19 MB | 91次下载 | 1 积分
- 3S7-200PLC编程实例详细资料
- 1.17 MB | 27次下载 | 1 积分
- 4笔记本电脑主板的元件识别和讲解说明
- 4.28 MB | 18次下载 | 4 积分
- 5开关电源原理及各功能电路详解
- 0.38 MB | 9次下载 | 免费
- 6基于AT89C2051/4051单片机编程器的实验
- 0.11 MB | 4次下载 | 免费
- 7基于单片机和 SG3525的程控开关电源设计
- 0.23 MB | 3次下载 | 免费
- 8基于单片机的红外风扇遥控
- 0.23 MB | 3次下载 | 免费
本月
- 1OrCAD10.5下载OrCAD10.5中文版软件
- 0.00 MB | 234313次下载 | 免费
- 2PADS 9.0 2009最新版 -下载
- 0.00 MB | 66304次下载 | 免费
- 3protel99下载protel99软件下载(中文版)
- 0.00 MB | 51209次下载 | 免费
- 4LabView 8.0 专业版下载 (3CD完整版)
- 0.00 MB | 51043次下载 | 免费
- 5555集成电路应用800例(新编版)
- 0.00 MB | 33562次下载 | 免费
- 6接口电路图大全
- 未知 | 30319次下载 | 免费
- 7Multisim 10下载Multisim 10 中文版
- 0.00 MB | 28588次下载 | 免费
- 8开关电源设计实例指南
- 未知 | 21539次下载 | 免费
总榜
- 1matlab软件下载入口
- 未知 | 935053次下载 | 免费
- 2protel99se软件下载(可英文版转中文版)
- 78.1 MB | 537791次下载 | 免费
- 3MATLAB 7.1 下载 (含软件介绍)
- 未知 | 420026次下载 | 免费
- 4OrCAD10.5下载OrCAD10.5中文版软件
- 0.00 MB | 234313次下载 | 免费
- 5Altium DXP2002下载入口
- 未知 | 233045次下载 | 免费
- 6电路仿真软件multisim 10.0免费下载
- 340992 | 191183次下载 | 免费
- 7十天学会AVR单片机与C语言视频教程 下载
- 158M | 183277次下载 | 免费
- 8proe5.0野火版下载(中文版免费下载)
- 未知 | 138039次下载 | 免费
电子发烧友App





创作
发文章
发帖
提问
发资料
发视频
上传资料赚积分
评论