剥皮天线是一种取材容易、制作简单、携带方便的天线。如果你能找到一根同轴电缆和适合你的电台用的天线插头,我们就可以动手了。同轴电缆可以使用闭路电视用的馈线,选质量好
2012-03-28 17:18:12
36337 制作12dBi线极化天线最常采用微带天线组阵,其尺寸较大为580 mm×260 mm×50 mm。而本文采用了一种新颖的形式即单极天线组阵进行设计。
2019-08-30 08:25:06
这是一款简单易制的高增益定向天线,经典八木天线结构,如下图: 注:这种天线是日本人八木发明的,故称八木天线。 图中直线振子用Φ10mm铝管,折合振子用截面为10×3mm的铝条制作。其中
2021-05-11 06:07:06
如果手头没有制作天线的合适材料,可以尝试用同轴电缆制作简单的天线。本文介绍用同轴电缆制作偶极子天线(二分之一波长天线)和单极子天线(四分之一波长天线)的方法。
2021-04-23 07:52:14
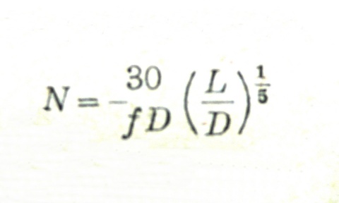
螺旋天线的辐射能力是美国科学家 JohnD.Kraus于1947年在实验中发现的,自此之后,螺旋天线以其在宽频带上具有近乎一致的电阻性输入阻抗和在同样的频带上按“超增益”端射阵的波瓣图工作特点很快在各领域得到了广泛的应用。许多学者对螺旋天线的辐射特性进行了研究,给出了螺旋天线辐射设计多经验公式。
2020-04-03 09:01:27
一般可以认为,电磁波沿金属螺旋线以光速C作匀速运动。 从Ⅰ点到Ⅱ点即进行一个螺旋,所需时间为: t = πD/C 而对螺旋天线而言,其轴向电磁波只运动行进了一个螺距ρ,其轴向等效速率: υ=ρ/t
2021-05-11 06:14:13
FM三单元八木天线制作: 制作材料可选直径为6~8mm的铜、铝或不锈钢管,俺就是选用了最容易取材的不锈钢管制作,整副天线闪闪发亮,很漂亮,永不生锈,接收效果不错。有兴趣的朋友可以试试哟。 天线与馈线
2021-05-10 07:35:28
垂直半波的特色是辐仰角很低,非常适合 DX 通讯。如果你有办法架设一支 28M Hz 的 J Ant ,你将会发现它相当凶悍,不亚於 3-Ele Yagi。 为了在有限空间增加天线的效果,J-Ant
2021-05-12 06:23:24
RFID天线制作威廉希尔官方网站
有哪几种?RFID印刷天线有哪些应用价值?
2021-05-26 06:45:08
螺旋天线由于具有体积小,定向型高的特点,在电话、电视和数据空间通信中广为应用。但是,目前的仿真威廉希尔官方网站
对螺旋天线的仿真存在一定的困难。采用有限元法(FEM)的仿真软件,如安捷伦的EMDS,对于螺旋天线
2019-07-17 06:00:54
初步设想,天线分成上下二截三大部分,上面一截为垂直振子,下面一截包括加感线圈和螺旋线圈。对加感部分不进行屏蔽,这样考虑一是加感线圈参与发射,提高天线效率,二是制作也比较容易一些。 接下来是选材
2021-05-11 07:49:48
许多人在成功的制作完定向天线后, 其野心也越来越大, 因为既然一个阵列的定向天线已经成功, 何不做做双排的定向天线呢? 没错! 我们就是要本着一颗庞大的野心, 朝着想要达到的目标前进, 这样我们
2021-05-10 06:10:01
的是好多年前的油管(铜管,直径在0.8毫米以上的)然后参照FMA9901A调频天线尺寸制作。 这是天线振子接头,用锡焊好,然后用防水胶带缠好,接300殴-75殴转换器。 以下是装在房顶的天线,还算漂亮吧? 这是天线的尺寸。
2021-05-11 07:21:02
第一种简易天线的制作方法:首先在易拉罐开口的外侧用钉子扎一个孔,穿过一个螺丝,把两个易拉罐分别固定在一个绝缘的板条上(这种板条可以用学生用的塑料尺代替),再取—段300Ω的馈线(长短根据需要而定
2021-05-11 07:44:37
的长度(乘上缩短参数96%)进行修剪。 没动过手的HAM可以把它当做一个入门训练,但别妄想它会有很高的增益,但在很多情况下,它会比手持机用的橡皮天线、拉杆天线的效果要好!但和高增益的八木、J型等是不能
2021-05-11 06:09:17
,把三脚架的底部用8号铁丝互相固定,压牢即可。 可以说,这种手动极轴座制作成功的关键是找到极轴的方向,一旦调整固定好后,所有其他角度一概不用调整。天线将会随着你的转动,自动的调整仰角和极化角。
2021-05-11 06:44:33
双线J极子天线有容易制作、便于携带、便于隐藏等特点。以下详细介绍其制作步骤:计算真空波长:L=300/f 米,其中f是发射频率(兆赫) 计算长度A、B、C:A=0.5*0.94*L,B=0.25
2021-05-12 06:50:21
在较高位置,如楼顶、山上。对于FM频率, 发射功率不是影响传送范围的最重要因素, 比较重要的是,应该能从接收者比较清楚地看到发射天线,而中间没有大树和高大的建筑阻碍信号。但天线可用在微波炉里加热而不发热的材料掩盖起来。如果你投入一点努力来发现一个好地点, 你可以用一个小发射机把信号发送相当远。
2021-05-12 07:04:55
(1) 喇叭天线简介喇叭天线简介常见的喇叭天线主要由角锥喇叭(矩形喇叭)和圆锥喇叭,分别如图1.1、1.2 所示:图1.1 角锥喇叭实物图图1.2 圆锥喇叭实物图从阻抗匹配的角度来理解, 天线其实
2019-06-13 07:07:20
你好!如何制作 ICODE ILT-M 天线? 我已经做了一个,但感觉好像行不通。请告诉我如何测试我的标签现在是否正常工作?
2023-03-17 08:12:30
我正在尝试使用 ST25DV04K 部件设计一个应用程序。我无法获得足够小的天线以适合我的电路板。我如何制作小型 NFC 天线?
2022-12-29 09:48:08
电容”。而许多污染性的电磁波频率都比较低,反而不容易通过这个“电感电容”,起到了很好的阻隔作用。同时由于是做成了螺旋环管状,又起到了对室内电磁污染的屏蔽作用! 收听效果: 原来外接10米波段倒v天线来
2021-05-11 07:48:30
怎么制作的802.11b/g垂直极化全向天线?该天线非常坚固耐用,大约有5-6dBi的增益。
2019-08-13 06:04:48
[无线发射][图文]μpc1651制作的调频无线话筒[无线接收][组图]一摸就响的收音机[无线发射][图文]Q5337教学用调频无线话筒[无线接收][组图
2010-05-27 10:20:43
及其变形。从使用来看,GP天线主要用于近距离—中距离通讯,尤其是近距离通讯依靠地波传送,效果非常好。而DP天线的近距离通讯效果很不好。由于高度的限制,不可能架设很高的天线,一般来说5-10米高度的GP
2019-08-13 06:54:59
一种简易、方便的收音机天线制作方法,效果很好,现贴出来与大家共享。 条件:如果你家有铝合金的窗户,阳台窗或着金属的防盗窗,就可以开始准备了。 准备:手钻或电钻、钻头(Φ3mm)、起子、圆头自攻螺丝
2021-05-12 06:19:50
用木架做支撑,然后用普通导线就可以制作出性能良好的双菱天线。双菱天线增益优于四单元八木天线,若加装反射板则优于六单元八木天线,并且双菱天线频带宽度比八木天线更宽,用木架加导线制作双菱天线如下图所示
2021-05-13 06:43:18
0 引言螺旋天线是一种宽带行波天线,辐射圆极化波。按结构来分有立体螺旋和平面螺旋两种。立体螺旋天线的辐射特性主要取决于螺旋直径D与波长λ的比值。当D/λ
2019-07-17 07:48:44
是一个工字形的绝缘支架,左右插一根金属管构成基本半波振子天线。螺旋线覆盖在半波振子天线外部,两端用绝缘材料固定在半波振子天线两端。两根半波振子用直径5毫米长350毫米的铜管或铝管制作,中间相隔30毫米
2021-05-13 06:15:17
天线原理与设计论述了天线的基本原理,3类天线的基本分析方法及环行天线,螺旋天线等的工作原理、电性能、设
2008-09-11 17:42:39
1300 袖珍耳聋助听器电路及制作
2009-04-14 15:17:04
25 袖珍报晓器电路及制作
2009-04-14 16:28:56
61 两种新型球面螺旋天线的数值分析摘要:将平面等角螺旋天线投影到半球面和部分球面上,可得到两种新型球面螺旋天线,采用基于曲线基函数的矩量法对其辐射特性进行了分析
2009-10-23 08:46:43
9 平面螺旋天线计算结果:双臂平面螺旋考题计算结果1.模型概述此模型是一个双臂螺旋天线,每个悬臂为10圈。最外圈半径为43毫米,内圈半径为3毫米,线宽1毫米,线间距1毫米
2009-10-23 16:33:18
33 L波段径向线螺旋阵列天线的优化设计:以提高阵列天线的口径效率为目标,对辐射单元及阵列布局进行了优化,设计了中心频率为1.57GHz的6元单圆环径向线螺旋阵列天线,
2009-10-26 17:29:08
34 很多网友都制作过不少发射电路版,也用过很多天线,但是发烧友们总是寻求高效率的发射天线,
2006-04-15 21:07:06
2082 FM三单元八木天线制作:制作材料可选直径为6~8mm的铜、铝或不锈钢管,俺就是选用了最容易取材的不锈钢管制作,整副天线闪闪发亮,很漂亮,永不生锈,接收效果不错
2006-04-15 21:10:15
11878 
业余制作抛物面天线的要点---抛物面天线的F/D与馈源的辐射方向角Q的关系
2006-04-15 21:11:05
2811 
收音机有源天线的制作
这里介绍一个有源天线,它可以作为中波,调频和短波的天线,在短波段,该有源天线接收性能相当于20-30英尺的无源天线。
这个天线可以附加
2008-12-24 20:01:03
7942 
什么是螺旋天线
螺旋天线是一种具有螺旋形状的天线。它由导电性能良好的金属螺旋线组成,通常用同轴线馈电,同轴线的心线和螺旋线的一端相连接,
2009-02-24 17:23:32
2606 双环电视发射天线制作
2009-03-19 14:29:38
2915 
螺旋天线
螺旋天线是一种具有螺旋形状的天线。它由导电性能良好的金属螺旋线组成,通常用同轴线馈电,同轴线的心线和螺旋线的
2009-10-20 16:33:37
6162 
双臂圆锥对数螺旋天线的研究
本文利用曲线段三角基展开,伽略金法检验的矩量法对一种非频变天线——双臂圆锥对数螺旋天线进行了分析.通过曲线段拟合天线结构以
2009-10-20 16:36:44
1774 
宽带平面螺旋天线的研究与设计
1.1 天线辐
2009-10-20 16:47:52
3155 
袖珍通讯机用天线的设计和制作
袖珍通讯机由于体积小,重量轻,使用方便等优点而被广泛应用于社会各部门,
2009-10-20 16:50:49
504 
便携式7MHZ天线的制作
**看着配合10瓦频合使用的那根中部加感的五叶天线,心中好羡慕,由此也萌生了要DIY一根用于7MHZ波段的便
2009-10-21 09:40:12
2649 
新型谐振式螺旋天线的设计
本文介绍了一种适用于全球定位系统和卫星移动通信的新型谐振式螺旋天线,阐述了它的工作原理和设计过程中的关键
2009-10-21 15:54:45
1287 
GPS的平板天线与螺旋天线的区别
GPS接收天线的作用,是将卫星来的无线电信号的电磁波能量变
2009-10-23 08:41:35
2941 用AMDS进行螺旋天线仿真
螺旋天线由于具有体积小,定向型高的特点,在电话、电视和数据空间通信中广为应用。 但是,目前的仿真威廉希尔官方网站
2009-10-23 08:43:50
1572 新型球面螺旋天线的特性分析
将平面等角螺旋天线投影到半球面和部分球面上,得到半球面螺旋天线和部分球面螺旋天线两种新型球面螺旋天线.
2009-10-23 08:53:29
2043 J型天线的制作
J型天线因制作简单,取材容易,一直受我们调频发射机爱好者青莱,制作时选用1MM左右的空调铜管,按照计算的尺寸制作无需专业工具制作就能获很好
2009-12-22 09:58:59
7487 
自制2.4G全向天线的制作方法
本文介绍一个容易制作的802.11b/g垂直极化全向天线,该天线非常坚固耐用,大约有5-6dBi的增益。
2010-04-14 09:36:14
31813 
天线的基本概念及制作
我将介绍一些常见而且容易自制的天线,这些天线能够用我们日常生活中容易得到的材料制作。我会逐一制作这些天
2010-01-04 09:48:12
1297 框行天线的制作方法
如附图所示,这款天线的参数都标在图上。制作的材料可用7股的电力线。考虑到天线的稳定性和强度,应把天线固定在与其大
2010-01-04 10:09:52
1191 
J型天线的制作原理
请看看这款天线的示意图美不美,据网友讲,比流行的GP天线的效果还要好,并且在高空稳定,容易安装。
2010-01-04 12:12:27
6197 
总结: 1.该天线的确适合初学者业余制作,大家不要被未尝试过的制作而难倒,要相信自己相信科学。mr7也是新手,之前也没抱多 少希望制作天线的,当果断迈出第一步之后,你会尝试
2011-04-09 17:22:17
2547 通过HPSS 仿真软件设计车载短波螺旋天线, 计算出该天线的电参数和辐射方向图, 将所设计的天线模型架设在卡车车顶, 进行远距离通信实验, 实验表明圆极化的螺旋天线接收水平极化天线
2011-05-20 15:12:35
89 平面阿基米德螺旋天线具有极宽的工作频带,然而其匹配平衡电路的宽频带实现则较难,尤其是在加反射腔以使其单向辐射时。在4~6GHz 范围内仿真并实际制作出了用于某S 波段雷达系统单
2011-05-20 15:35:59
96 本文详细阐述了移动双工电台天线的选择,螺旋天线的特点,原理设计及分析计算方法
2011-09-16 16:24:03
241 基于螺旋天线的无线能量传输系统的设计
2011-11-03 18:11:16
73 平板增益天线的评测及制作方法大全,看来成品天线还是比较有优势的。天线看上去很美观。提一些改进意见: 1、天线后面的铝板和外壳是胶在一起的,不便于拆卸。建议用螺丝和橡
2011-12-13 10:22:41
166 天线制作威廉希尔官方网站
秘技是一本台湾出的 天线 设计的书,电子发烧友网在这里分享给大家。
2012-02-10 15:12:12
0 四螺旋天线GPS很好的资料,快来下载吧
2016-03-29 10:45:43
0 一种Ku频段螺旋阵列天线的设计_赵亮
2017-01-03 18:00:37
0 本文详解了天线结构及天线的制作方法。
2017-11-15 15:50:42
42 HFSS电磁场仿真软件对天线进行建模和仿真计算,并结合仿真结果实际制作了该螺旋天线,给出了实测结果,表明天线可以在工程实际中应用。 任何无线电设备都需要Ⅲ到天线。天线的基本功能足能量转换和电磁波的定向辐射或接收,天线的性能
2017-11-15 16:12:41
8 蚊香盘定向天线制作资料
2017-11-15 17:29:26
19 本文详细介绍了无线网络基础知识、无线路由器天线的制作和其他几款无线网络天线的制作。
2017-11-15 17:29:23
15 0 引言
螺旋天线是一种宽带行波天线,辐射圆极化波。按结构来分有立体螺旋和平面螺旋两种。立体螺旋天线的辐射特性主要取决于螺旋直径D与波长λ的比值。当D/λ《0.18时,天线最大辐射方向垂直于螺旋轴线,称为法向模辐射或基模辐射,而当3/4π
2019-03-18 14:14:46
1134 
本文设计制作了一种PCB螺旋天线,并进行了测试实验研究,结果表明这种天线具有良好的全向性,体积小重量轻,满足TPMS对天线小型化的需求。同时这种结构的天线还有着制作工艺简单、成本低、易与器件和电路集成等优点。但是由于带宽的限制,只能用作固定频率的发射天线。TPMS中的接收天线需要另行设计。
2017-12-09 07:33:30
2148 
,损耗低,极化为圆极化,俯仰面要宽和方向图为全向方位面。虽然单臂螺旋天线和四臂螺旋天线经常被采用,然而单臂螺旋天线增益比双臂螺旋天线低2 dB,四臂螺旋天线要求各线的馈电相位分别为0°,90°,180°,270°,这就势必要求比较复杂的馈电网络,而双臂螺旋天线正好弥补了它们的缺点。
2017-12-12 09:15:02
2001 有很多朋友对怎么样制作天线,怎么样把天线振子和馈线进行焊接,怎么选择馈线等这些细节问题比较模糊。今天我们来介绍一款13DB的双菱形天线,在此也感谢作者vodka的精彩作品,他很详细的介绍了天线馈线的选择,振子和馈线的焊接方法。独乐乐不如众乐乐。希望大家也能做出一款好的双菱天线。
2018-08-21 15:43:46
15356 DNA螺旋台灯制作详解
2018-09-10 17:18:08
3447 今天我心血来潮又做了一个收音机的天线,接着给大家来个详细的制作教程。体积缩小了好几倍,接收头的放置位置更加有利于电磁波的接收。给大家看个电磁波谱:
2018-09-24 17:24:00
158949 
图解无线路由器天线制作,Router Antenna DIY
关键字:图解无线路由器天线制作
刻录光盘盒用完了就没什么用了,我们可以
2018-09-20 18:31:59
3397 八木三单元调频接收天线制作,FM antenna
关键字:八木三单元调频接收天线制作
制作一款灵敏度好的调频室外天线是许多FMDX迷的愿望
2018-09-20 18:32:22
3401 发射天线的制作,tranmission antenna
关键字:发射天线的制作
发射天线的制作
电台的发射天线尤为重要。一个5W的发射器
2018-09-20 18:54:01
1623 锅盖卫星接收天线制作,Satellite Antenna
关键字:锅盖卫星接收天线制作
本文来自南方卫星网http
2018-09-20 18:54:16
5911 袖珍通讯机用螺旋天线的原理,设计与制作,Helical antenna
关键字:螺旋天线
袖珍通讯机由于体积小,重量轻,使用方便等优点
2018-09-20 19:14:17
1143 图所示的单管电视天线放大器所用元件少、成本低、制作简单、无需调整、性能指标高,尤其适合于无线电爱好者业余制作。
2019-02-07 09:27:00
5006 
带双臂的螺旋天线的设计优势是匹配阻抗能力更强。单螺旋天线在法向模式下产生谐振时,其阻抗低得多。若添加第二个接地短路天线,就相当于增加一个折叠式天线,它的输入电阻比同尺寸的偶极天线大三倍,这意味着你可以对接近于同轴电缆参考阻抗(50Ω)的低阻抗进行调整。
2018-11-30 17:42:42
5344 平面螺旋天线和平面槽螺旋天线最早是在上世纪六十年代提出来的。由于其具有宽波束,宽频带,圆极化等特性而被广泛地应用在GPS,PCS等领域。当用同轴线等非平衡传输线对平面螺旋天线馈电时需要巴伦来平衡电流
2018-12-28 15:27:45
2464 
偶极天线,在实际制作和使用时也有很多变化,常见的有水平天线、倒V天线(单波段和多波段)、斜拉双极天线,陷波器天线等。
2020-04-11 11:47:21
30576 
10米频段是HF频段中频率最高的频段,这个频段有着许多神奇的特性,在传播开放时由于电离层的衰减很小,即使只用很小的发射功率就能进行出人意料的远距离的通讯。10米频段因频率较高,天线的尺寸较小,容易
2020-08-20 18:50:00
0 本文介绍一个容易制作的802.11b/g垂直极化全向天线,该天线非常坚固耐用,大约有5-6dBi的增益。很多网站都有制作2.4GHz全向天线的详细说明,但是,这些天线做起来相当复杂,要用很多切割非常
2020-08-19 18:50:00
5 及其变形。从使用来看,GP天线主要用于近距离—中距离通讯,尤其是近距离通讯依靠地波传送,效果非常好。而DP天线的近距离通讯效果很不好。由于高度的限制,不可能架设很高的天线,一般来说5-10米高度的GP天线适合自己架设。通常GP天线用于
2020-08-21 18:50:00
6 螺旋天线由于具有体积小,定向型高的特点,在电话、电视和数据空间通信中广为应用。但是,目前的仿真威廉希尔官方网站
对螺旋天线的仿真存在一定的困难。采用有限元法(FEM)的仿真软件,如安捷伦的EMDS,对于螺旋天线
2020-08-12 18:51:00
0 螺旋天线是一种宽带行波天线,辐射圆极化波。按结构来分有立体螺旋和平面螺旋两种。立体螺旋天线的辐射特性主要取决于螺旋直径D与波长λ的比值。当D/λ《0.18时,天线最大辐射方向垂直于螺旋轴线,称为
2020-07-29 18:51:00
0 本文详细介绍一个容易制作的 802.11b/g 垂直极化全向天线,该天线非常坚固耐用,大约有 5-6dBi 的增益。
2022-10-13 15:24:50
16 常见的平面螺旋天线可分为平面对数螺旋天线和阿基米德平面螺旋天线,本期我们主要学习阿基米德平面螺旋天线,这样的天线并不是一个真正意义上的非频变天线。
2023-03-13 11:04:19
953 BR-500多星多频螺旋天线
2022-03-22 09:42:38
2
评论