通常情况下为了更好的接收GNSS信号,导航定位天线需要设计成圆极化天线。天线要实现圆极化辐射特性,在辐射阵子、天线基材、馈电方式等方面有诸多严苛的要求,这也是导航定位天线尺寸很难做小的原因。
2023-02-02 17:14:25
920 在《天线基础理论》一文中,我们详细介绍了天线的基本理论,里面提到了天线极化的这个概念。关于电磁波的极化,我们在《电磁波极化》一文中详细进行了描述,并且整理了一些生动形象的图片说明。在实际应用中,电磁波是由天线发出的,因此电磁波的极化也就是天线的极化。
2023-09-19 15:37:02
1202 
平面波的极化被定义为在一个固定点处瞬时电场的轨迹图,是描述天线辐射电磁波矢量空间指向的参数。雷达和通信中最常遇到的极化方式有:线极化(垂直/水平),圆极化(左旋/右旋)和椭圆极化(左旋/右旋)。天线在给定方向处的极化定义为天线在那个方向上所辐射的波的极化。
2023-12-22 10:34:36
795 
在RFID系统中,标签摆放姿态的不固定要求读取其信息的阅读器天线是圆极化,而小型圆极化天线在RFID中有重要应用且成为研究热点。文中设计并研究了一款902~928 MHz的6 dBi小型圆极化天线,轴比
2019-08-22 07:09:35
`8DBi UHF超高频圆极化外置天线简介: 远距离RFID外置天线,RFA915-8R90,性能稳定,与ThingMagic RFID超高频读写器搭配,效果极佳 Electrical
2016-07-01 10:14:37
`8dBi UHF超高频 圆极化定向 RFID天线 简介: 远距离RFID外置天线RFA915-8H UHF频段RFID终端场合的通用型天线,具有定向性,窄波束,高增益、小型化,等特点。因其
2016-07-04 11:42:36
过去的20余年,为了适应移动通信系统发展的需求,天线产品形态不断的演进,由全向天线到定向天线,由单极化天线到双极化天线,由机械下倾天线到电调下倾天线。目前,基站场景复杂化、天面资源稀缺以及深度覆盖
2019-06-13 08:13:11
,为什么我们在设计和仿真的时候要有目的性的选择线极化/圆极化/椭圆极化 等不同形式的天线? 我想了想,是否和所要发出/接收的信号形式有关?比如我们在射频信号中学过,不同频率、振幅、相位的信号包含不同的信息
2018-03-18 17:34:45
单元的射频信号与馈电给水平极化单元的射频信号在时间上不同相),这时天线的极化方式为椭圆极化。圆极化是椭圆极化的一个特例。圆极化波(经过固定观察者时)看起来是在旋转的,每个周期变化360°。在每一时
2023-05-15 17:12:14
方向,很容易看出极化方式。 圆极化判定主要的是看轴比,轴比小于3dB就可以看成是圆极化,但是这儿所说的小于3dB不是指的天线360°上都小于3dB,而是指的辐射范围内的轴比小于3dB。 轴比的定义
2021-03-01 11:31:08
,这个圈是椭圆圈,就是椭圆极化。
2. 极化的意义
天线的极化是非常重要的一个参数,前面的文章讲了一些参数,在总的来看,S参数决定我们能不能辐射这个电磁信号,增益则是我们能把这个信号用多大
2023-05-08 17:02:50
天线极化方式的测量
2015-09-30 13:49:04
按极化方式分类: 线极化天线、 圆极化天线按波束宽度分类:窄波束天线、宽波束天线按天线场分布分类:近场天线、远场天线
2018-11-17 09:27:36
在不断变化。此时,从原点向传播方向去看电场,看到的就是一个圆,这种极化就是圆极化。当然,向左旋转就是左旋极化,向右旋转就是右旋极化。(通常螺旋结构的天线为圆极化) 只有收信天线的极化方向与所接收电磁波
2018-07-05 16:32:18
2.4GHz和5GHz双频天线的WiFi信号差别较大,一般情况下2.4GHz和5GHz的双频天线是独立的,为保障WiFi性能最优,让相同频段的天线之间相隔地尽可能远。
2.4GHz频谱的范围
2023-05-09 14:19:23
;nbsp; 圆极化circle输入阻抗  
2009-06-17 15:58:15
,GPS天线是右旋圆极化天线,但是考虑到小型化的要求,为了满足辐射特性,采用线极化天线可以减小3dB的损耗。所以本文设计出了一种采用线极化方式的小型化GPS锥面共形天线阵,在减小天线尺寸的同时提高了天线的性能。
2019-06-13 07:37:05
损耗小,所需加工精度较低,非常适合批量生产,所以毫米波介质透镜天线正在被广泛应用到宽带无线通信。卫星接收天线多采用圆极化形式的设计,由于圆极化波的抗干扰特性,即反射回来的电磁波极化方向相反,引入的损耗
2019-06-13 07:02:06
传输型谐振腔理论谐振腔的概念重点是谐振波长?和品质因数Q.[hide][/hide]
2009-11-03 08:47:26
传输线腔理论 矩形腔和圆柱腔都属于一类传输线腔。我们可以把它作为一类模型总结出来。 [/hide]
2009-11-02 17:47:32
波导的作用是固定极化方向,以便于高频头连接。由于卫星电视发射信号具有极化性质,接收天线必须与发射天线具有相同的极化和旋向特性,以实现极化匹配,从而接收全部能量。若部分匹配,则只能接收部分能量。根据数学理论
2009-08-17 13:13:03
L1L5双频多模亚米级高精度GNSS定位模块——Air551G天线一体化开发板了解更多>>
2022-01-12 11:31:13
最近在做毕业设计,第一次接触天线,所以有很多不太懂的地方。我做的是单馈点圆极化天线,采用的是切角的办法。接下来要对其进行展宽带宽,采用开U型槽的办法。但是开了槽之后,驻波比就一直处于很大的一个值,调不下去。怎么调馈电点位置和其他参数都不管用。所以,想来问问大家,这种情况大概要怎么办呢?
2017-04-28 13:08:25
怎样去设计一种十字缝隙口径耦合馈电的右旋圆极化微带天线?
2021-06-04 06:05:06
方向 极化特性是指天线在最大辐射方向上电场矢量的方向随时间变化的规律。 极化方向,就是天线电场的方向。天线的极化方式有线极化方式有线极化(水平极化和垂直极化)和圆极化(左旋极化和右旋极化)等方式
2011-12-19 16:22:42
本文设计了一种中心频率为1.8 GHz的宽带90°功分移相器,并通过L型探针结构给微带贴片馈电,从而提高了这种天线的圆极化带宽。
2021-06-07 06:02:12
电磁场理论视频教程“电磁场理论”视频-电磁波 “电磁场理论”视频-线极化波 “电磁场理论”视频-圆极化波[hide][/hide]
2009-07-09 23:21:28
,又称天线极化波,或偏振波。通常可分为平面极化(包括水平极化和垂直极化)、圆极化和椭圆极化。极化方向极化电磁波的电场方向称为极化方向。
2019-07-02 06:13:00
怎样去设计一种新型宽带圆极化微带天线?
2021-05-31 06:10:06
0 引言螺旋天线是一种宽带行波天线,辐射圆极化波。按结构来分有立体螺旋和平面螺旋两种。立体螺旋天线的辐射特性主要取决于螺旋直径D与波长λ的比值。当D/λ
2019-07-17 07:48:44
“电磁场理论”视频-圆极化波
2009-07-09 23:16:28
231 本文设计了一种双频双极化第三代移动通信基站天线,可以使GSM与3G,CDMA 与3G两个频段在同一支天线上同时工作,并且这种天线制作简单,性能优良,具有很高的性价比,能够降
2009-09-25 15:47:27
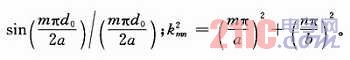
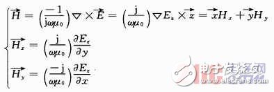
21 微带天线馈点的位置决定天线辐射波的模式和天线与馈线的匹配情况。本文以矩形微带天线形成圆极化波为研究对象,利用k 平面相位关系,从理论上推导其馈电点的轨迹方程,通
2009-10-06 10:08:47
15 圆极化微带天线及其阵列的研究与设计:本文结合天线阵的设计研究了两种不同形式的圆极化微带天线单元并对其性能进行了比较,优化得到一种采用微带线边馈方式的天线单元改善
2009-10-24 15:14:25
23 天线的极化
2006-04-16 20:04:09
1487 
新型宽带圆极化微带天线设计方案
与普通微波天线相比,微带天线剖面薄,体积小,重量轻,易共形,便于获得圆极化,但是频带窄,性能受基片
2010-05-12 10:01:45
2615 
O 引言
近年来,随着现代微波通信的发展,宽带圆极化微带天线的发展越来越受到研究者的重视,各种形式的宽带圆极化微带天线层出不穷。而左手材料则以其基于
2010-08-17 11:30:42
1007 
提出了一种新颖的用于微波能量传输的圆极化接收整流天线。用内环开槽的圆环形微带天线作为接收天线,在工作频率5.8cHz时得到的轴比为1.2dB,使用肖特基势垒二极管作为整流部分
2011-05-23 11:35:47
60 随着金属膜片式回波导园极化器在卫星通信中的应用越来越广泛,针对国波导中金属膜片电磁特性严格求解上的困难,提出一种采用多次拉格郊日插值和最佳一致多项式退近的分析和优
2011-05-23 11:36:54
35 在腔模理论基础上利用微扰方法分析与设计了单馈点圆极化微带贴片天线。通过对用于GPS 的单馈点圆极化微带贴片天线测试表明, 结果与设计预估十分一致。天线除结构紧凑, 易于微波
2011-05-23 11:56:06
79 对于一个成功的天线设计来说,极化是一个重要特性。对于空间应用,通常使用圆形极化(CP),如右旋圆极化(RHCP)或左旋圆极化(LHCP),用于发射、接收及同一频谱范围内的复用,以增加系
2011-05-24 09:48:27
2450 
本文叙述的是一种仿真结果很好的单馈电圆极化天线。该天线的轴比带宽达到3.5%,前后瓣比大于20 dB,具有很好的阻抗匹配特性(回波损耗大于18 dB)和增益特性(大于5.68 dBi)
2011-06-18 11:17:41
3046 
本文提出了一种新型微带天线的设计方法,采用圆贴片和圆环贴片相结合,工作在高次模来实现双频圆极化。该天线具有极宽的波束、较高的低仰角增益和波束范围内有较好的圆极化性
2011-09-07 19:01:48
49 对于一个成功的天线设计来说,极化是一个重要特性。对于空间应用,通常使用圆形极化(CP),如右旋圆极化(RHCP)或左旋圆极化(LHCP),用于发射、接收及同一频谱范围内的复用,以增加系
2011-12-08 15:40:05
1614 研究了圆极化微带阵列天线的设计方法。重点讨论了用双馈电正方形单元天线实现圆极化、高增益阵列天线的实现方法,并利用Ansoft HFSS 软件进行仿真分析,仿真结果显示,在工作频带内天
2012-02-07 11:54:03
79 CST天线右旋圆极化半空间效率计算
2013-09-12 16:17:40
46 双频带印刷振子天线选择双T单极天线作为模型,将其极化分集到规定大小的FR_4的介质板上;通过HFSS仿真分析对分集后两个天线之间的影响,天线顶端水平带加载螺旋线对5GHz频带的影响
2013-09-12 16:38:14
45 对一种具有正多边形结构的圆极化微带贴片天线进行了研究, 利用寄生的调谐支节, 对设计结果进行了有益的补偿, 有效地消除了各种误差对设计结果的影响. 最后给出了实验调整方法及
2013-09-12 17:43:04
96 本文提出了一种小型圆极化三角形贴片天线的设计方法。通过在辐射贴片和接地板上刻两个尺寸相等的十字形槽来实现尺寸缩减和圆极化。HFSS仿真结果表明,当十字形槽的长度与三角形贴片的边长之比为0.25
2015-12-31 09:25:13
14 一种新型UHFRFID阅读器圆极化天线_袁泉
2017-01-07 21:45:57
4 1 引言 圆极化威廉希尔官方网站
作为天线理论和应用的一个重要分支,在通信及电子对抗等领域中得到广泛应用。目前的圆极化天线主要以微带天线为主,但微带天线由于近似处理较多,所以设计的准确性并不太好,另外微带天线
2017-11-09 10:24:48
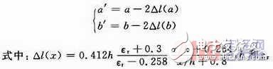
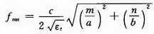
3 文中设计了一种小型化薄型微带圆极化天线。应用HFSS仿真软件和理论计算公式分别对微带天线谐振频率与基片介电磁常数的关系进行了仿真分析和理论计算分析。结果表明,通过选取高介电磁常数,尤其是介磁常数
2017-11-13 10:24:52
13 为了提高低截获概率雷达系统的性能,针对低截获概率设备对发射天线的需求,文中设计了一种宽频带、高增益、共口径双圆极化天线,通过控制端口馈电方式实现左右旋圆极化捷变。同时,该天线可通过频率变化实现波束
2017-11-13 15:19:14
7 1 引言 微带天线由于其低成本、低轮廓、小体积、易于集成和共形,以及能方便地实现线极化和圆极化等优点在各种通信系统中得到了广泛的应用。单馈点圆极化微带天线由于其简洁、紧凑的结构,得到了研究人员的广泛
2017-11-14 15:29:13
1 发射电磁波可以使得地面接收站以任何姿态或角度接收,而不需要像线极化天线那样进行极化方位角度的对准,便于移动中的卫星地面通信。 2 辐射单元结构与设计理论 在波导顶面有许多圆极化的辐射单元,天然的圆极化单元大致有两种:
2017-11-17 16:35:01
0 和差网络实现天馈系统一体化,利用介质覆铜板加工出圆极化栅,并利用HFSS对整体天线进行了仿真调试。仿真结果与实物测试结果基本一致,验证了软件仿真的准确性和设计的可行性。该天线成本低、一致性高、圆极化性能好,同时可以改善传统波导缝隙天线成品率低、成本高和工作带宽窄的缺点,并将工作频带展宽至700MHz。
2019-03-07 09:56:48
4472 
设计了一种用于UHF频段射频识别系统的小型右手圆极化四臂螺旋天线。天线由印制在微带介质板的4个长条形臂组成,通过微带功分器馈电。天线在进行4个端口的单独匹配和功分器相连时,需采用一种新的匹配
2017-12-05 18:18:10
595 
圆极化天线具有很多独特的优点,如可接收任意线极化来波,辐射波可由任意线极化天线收到;入射到对称目标旋向逆转等优点。波导缝隙天线具有高增益、高效率等优点,己广泛应用于通信、雷达等领域。因此,圆极化波导
2018-01-26 16:53:00
2 圆极化威廉希尔官方网站
作为天线理论和应用的一个重要分支,在通信及电子对抗等领域中得到广泛应用。目前的圆极化天线主要以微带天线为主,但微带天线由于近似处理较多,所以设计的准确性并不太好,另外微带天线的频带也较窄
2018-04-16 16:36:00
4796 
微带天线由于其低成本、低轮廓、小体积、易于集成和共形,以及能方便地实现线极化和圆极化等优点在各种通信系统中得到了广泛的应用。单馈点圆极化微带天线由于其简洁、紧凑的结构,得到了研究人员的广泛关注
2018-04-13 12:13:00
9512 
由于印刷宽缝隙天线具有宽带阻抗、单金属层和易与有源电路集成等优点,因而在设计轴比带宽增强的圆极化天线中被越来越多地选用。通过在方形缝隙中设计微扰结构,这类天线可以实现一个较宽的轴比带宽。微扰结构包括
2018-05-03 15:08:00
3151 
可以推广到任意形状的贴片。这类天线我们把它称为正交模式双频贴片天线,其特征是利用两个极化正交的谐振模。这类天线根据馈电方式的不同又可分为单馈和双馈两类。具体馈电方式包括:探针馈电,缝隙馈电和电磁耦合馈电等。
2018-06-29 09:17:00
17562 
微带天线由于独特的结构和多样化的性能,在各种无线电设备上得到了广泛的应用。和常用的微波天线相比,微带天线具有体积小、重量轻、低剖面、能与载体(如飞行器)共形等优点。其中圆极化微带天线,由于它能
2018-08-20 09:10:00
2871 对水平或垂直极化天线产生相同的响应。圆极化天线分为右旋极化和左旋极化两种,以满足各种无线连接应用的需求。针对不断移动的远程线性极化链路,在固定接入点上使用圆极化天线可获得较好的效果。
2019-10-12 15:39:34
8739 
介绍了一种结构新型的双频双极化共口径缝隙耦舍微带天线,天线工作的中心频率分别为2.1GHz(L波段)和8.6GHz(x波段),在两个工作频率采用了底馈的馈电方式。用时域有限差分法分别对L波段乖x波段双极化的微带辐射单元进行了模拟分析,制作了L波段的2×2元即x波段的8×8元阵天线,同时给出了测量结果。
2019-11-04 08:00:00
1 和差网络实现天馈系统一体化,利用介质覆铜板加工出圆极化栅,并利用HFSS对整体天线进行了仿真调试。仿真结果与实物测试结果基本一致,验证了软件仿真的准确性和设计的可行性。该天线成本低、一致性高、圆极化性能好,同时可以改善传统波导缝隙
2020-11-05 10:40:00
4 过去的20余年,为了适应移动通信系统发展的需求,天线产品形态不断的演进,由全向天线到定向天线,由单极化天线到双极化天线,由机械下倾天线到电调下倾天线。目前,基站场景复杂化、天面资源稀缺以及深度覆盖要求等新形势,要求天线产品在形式、兼容性等方面继续适应网络的应用需求。
2020-08-21 18:50:00
0 ,随着天线威廉希尔官方网站
的不断发展出现了微带天线,具有低剖面、重量轻、成本低,可与各种载体共形,适合印刷电路板威廉希尔官方网站
批量生产、易于实现圆极化、双极化、双频段工作等优点,但其致命的缺点是窄带性,从而限制了它的广泛应用。
2020-08-21 18:50:00
0 通常情况下为了更好的接收 GNSS 信号,导航定位天线需要设计成圆极化天线。天线要实现圆极化辐射特性,在辐射阵子、天线基材、馈电方式等方面有诸多严苛的要求,这也是导航定位天线尺寸很难做小的原因。
2020-08-25 14:05:45
3355 
通常情况下为了更好的接收 GNSS 信号,导航定位天线需要设计成圆极化天线。天线要实现圆极化辐射特性,在辐射阵子、天线基材、馈电方式等方面有诸多严苛的要求,这也是导航定位天线尺寸很难做小的原因
2023-11-09 16:34:26
732 通常情况下为了更好的接收 GNSS 信号,导航定位天线需要设计成圆极化天线。天线要实现圆极化辐射特性,在辐射阵子、天线基材、馈电方式等方面有诸多严苛的要求,这也是导航定位天线尺寸很难做小的原因。实现
2020-12-01 02:42:00
20 Laird Connectivity Mini GNSS具有覆盖1559MHz – 1606MHz频率的圆极化功能,并且其2级滤波可对蜂窝频段进行80dB以上的隔离,从而实现出色的带外抑制。
2021-03-23 15:21:36
1831 近年来,随着现代微波通信的发展,宽带圆极化微带天线的发展越来越受到研究者的重视,各种形式的宽带圆极化微带天线层出不穷。而左手材料则以其基于集总电容、电感周期加载结构的形式更被广泛地应用到宽带
2021-06-21 16:03:12
4361 
面向OMA电磁波的圆极化螺母型贴片天线
2021-06-25 14:34:21
5 的获取与接收天线的正交极化方式无关。理论上,我们有无数种紧缩极化成像模式,如常用的线性pi/4模式、左/右旋圆极化模式等。在紧缩极化SAR图像解译和应用中,很多方法(尤其是极化特征提取方法)只适用于一种
2022-04-15 17:27:32
1667 折叠透射阵天线(Folded transmitarray antenna)通常由馈源、底层转极化表面以及顶层相位调制阵列结构组成。相较于传统的反射阵或透射阵天线,折叠透射阵天线通过引入两次光路折叠极大地降低了天线的剖面尺寸
2022-04-29 11:10:43
2361 通常情况下为了更好的接收GNSS信号,导航定位天线需要设计成圆极化天线。天线要实现圆极化辐射特性,在辐射阵子、天线基材、馈电方式等方面有诸多严苛的要求,这也是导航定位天线尺寸很难做小的原因。
2022-06-12 15:30:05
1974 介绍了一种新型256元的 Ka 波段圆极化贴片天线阵列。该天线阵具有多波束扫描、扫描范围广等特点。利用切比雪夫加权方式,实现多种波束的多状态扫描。设计结果表明,在中心频率31GHz 处,扫描范围可达到±40°,波束宽度可控。
2022-10-13 15:20:48
11 前几天在知乎上回答了一个关于天线极化的问题,这些都是天线领域的最基本的概念,但是写出来的时候,很多东西又是捉摸不透,天线的极化归根到底是电磁波的极化。
2023-05-29 10:50:39
289 
同样,水平极化天线,就是指波的方向是水平的,也就是说其发射的波的电场方向,与大地平行。
2023-06-19 11:18:39
8043 
我就会这样想啊,那既然圆极化可以由两个有相位差的线极化叠加得到。那我就把圆极化分解成两个线极化呗,一个水平极化,一个垂直极化。
2023-06-19 15:51:46
681 
随着卫星导航的迅速发展,人们对天线的性能也提出了更高的要求,如接收圆极化信号并且满足频带需求的特性。此外,根据不同的应用场景,还需要考虑设计小型化、宽带化的天线。本文主要一款宽波束左旋圆极化的印刷
2023-06-30 10:25:20
1806 
通过改变馈电位置来控制模式权重系数,进而决定了天线带宽和极化。基于单层U槽贴片的模式分析结果,将贴片划分成5个馈电区域。
2023-09-29 07:20:00
252 
提出了一种工作在 S 波段和 C 波段的宽频透射型线-圆极化波转换器, 其由五层超表面级联而成。
2023-10-18 10:05:59
491 
电子发烧友网站提供《一种工作于X波段的弹载宽带圆极化四元阵设计.pdf》资料免费下载
2023-10-19 11:50:01
0 圆极化天线在通信、雷达、电子对抗等领域都有着广泛的应用,其优势在于抗干扰能力强、易于调整、全向性强和抗多径干扰等。
2023-11-17 15:43:14
350 
GNSS天线的分类 影响GNSS天线的因素 GNSS天线的分类 GNSS(全球导航卫星系统)天线是接收卫星信号并将其转化为导航和定位信息的关键设备。根据其设计和用途,GNSS天线可以分为不同的分类
2023-11-28 15:39:22
846 天线的圆极化概念 八木天线如何实现圆极化? 天线的极化是指电磁波的电场矢量或者磁场矢量的方向。常见的天线极化有水平极化、垂直极化以及圆极化。在无线通信中,圆极化有着广泛的应用,因为它能够提供更好
2023-11-28 15:45:16
781 从2G到4G,移动基站天线经历了全向天线、定向单极化天线、定向双极化天线、电调单极化天线、电调双极化天线、双频电调双极化到多频双极化天线,以及MIMO天线、有源天线等过程。
2023-12-19 10:33:08
271 
评论