大功率直流电机过流保护电路
2010-03-06 11:52:18
5779 
采用软件控制。 2.2 系统整体设计 系统硬件部分由输入输出整流滤波电路、功率变换部分、驱动电路、单片机系统和辅助电路等几部分组成。图1为单片机控制功率直流电源结构框图。 图1 单片机控制功率
2018-10-16 13:31:39
`大功率直流电子负载 Model 63200 seriesWeChat:何R *** 曹R 13580800393Tel: 86-769-81283426 Fax
2017-09-25 14:26:25
控制要求:单片机根据系统按键设定值控制24V直流电机移动相应的位置;直流电机功率不小于500瓦,即直流电机的工作电流能达到20A左右,这种大功率直流电机选什么驱动芯片?
2013-11-19 09:57:20
大功率直流电源在使用的过程中会遇到哪些问题呢?如何解决的?好有个心里准备啊
2017-07-20 11:27:41
在我们的日常生活中,交流用的比较多,而在一些科研机构、实验室和电子生产线中,经常使用直流,因为这些领域要求电路中的电流比较稳定,所以直流电源,特别是大功率直流电源,应用广泛。PinTech品致高压直流电源
2021-12-30 06:55:59
求合作生产大功率直流电源的工程师
2020-10-15 16:11:53
本人有35V 15A的直流电源,想通过程控方式实现通断控制,不知道用什么方式实现,继电器、接触器、MOS管还是别的什么方式?求高手指导
2016-01-12 14:45:58
体积小、重量轻、效率高等优点,同时也为大功率直流电源减小体积创造了条件,此电源又称高频可调式开关电源。可调直流稳压电源保护功能齐全,过压、过流点可连续设置并可预视,输出电压可通过触控开关控制。
2020-10-27 09:49:40
想请教一下大家,直流电源的功率因数怎么用单片机测量?
2017-04-01 14:43:13
我将两个直流电源串联,然后做成一个-12V—+12V的直流电源,可是为什么我接入电路之后就会出现电压指针全部打到最右边的情况,不明白请求解答!、附上原理图一战,希望各位大神尽快解答
2015-04-18 22:13:23
/6U系列的大功率直流电源,进行测试模式的操作。本次实操主要针对的人群是用于生产测试的工程师们。可以让大家轻松进行测试,具体操作内容如下:在电源主界面设置电压与电流输出参数,并点击【Enter】键确认
2022-10-25 14:30:48
什么是大功率可编程直流电源?大功率直流电源的正极电势大,负极电势小。当两个电极连接到电路时,它们可以保持两个电极之间的电位差恒定,从而在外部电路中形成正负电流。一个稳定的水流不能仅仅靠水位差来维持
2021-11-12 06:56:12
什么是大功率直流电源?大功率直流电源是各种电子设备都不可缺少的设备,其功能会影响整体产品的使用效果,通常在选择不同功率的电源会根据产品的性能以及要求,大功率直流电源能够很好的为大功率设备供电
2021-12-29 06:52:58
` 在我们使用大功率直流电源的时候,会将它放到任何环境中,所以我们应该知道在什么样的环境中会对我们的直流电源有影响,有很多用户说直流电源的寿命不长,或者说使用了没有太好的效果,其实有时候是因为外界
2019-10-09 14:18:54
出售/回收 致茂Chroma 63204A 66202 66203 66204 66205 大功率直流电子负载--深圳科瑞仪器品牌:致茂Chroma型号:63204A名称:大功率直流电子负载成色
2021-10-18 14:25:45
可打包回收安捷伦E3631A直流电源可打包回收安捷伦E3631A直流电源详细请咨询:***同微信)/在线QQ:141235979625-50W、直流系统电源、GPIB、多路输出型号总体最大功率输出1
2019-05-08 10:30:37
时,进⼊单机界⾯。单机界⾯包含电压电流的基本设置与测量功能。 *当通讯⼝连接的电源超过⼀台时,进⼊多机界⾯。多机界⾯⽀持切换控制或者显⽰当前控制电源的设置。 全天可编程直流电源SP-1U/2U系列
2022-07-21 14:22:35
深圳全华电子有限公司李瑰雄***东莞市长安镇霄边社区丰源大厦KXN-6050D:大功率开关型直流电源供应器LED显示 单路输出0-60V 0-50A特点:●输出电压和输出电流从0到标称值连续可调
2019-09-02 14:50:49
。对该电源装置进行了仿真和实验,获得了较为满意的动静态性能。 随着电力电子威廉希尔官方网站
的发展,很多场合需要大功率大电流的直流电源。EAST的磁约束核聚变装置使用的直流快控电源即是一种大功率直流电源,其威廉希尔官方网站
要求为
2018-11-29 11:35:22
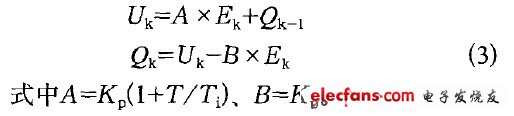
本文基于高性能单片机设计了数字控制的功率直流开关电源。首先介绍了该电源的原理及整体设计方案,其次介绍了部分关键电路的硬件设计,采用软件方式来实现功率直流电源的数字控制,给出了主程序及部分关键部分的程序流程图。该电源具有输出电压连续可调、精度高、电路简单、操作灵活等优点。
2020-10-29 07:24:37
BTS7960大功率直流电机驱动有何特点呢?如何去实现BTS7960大功率直流电机驱动调试程序呢?
2021-12-21 06:12:38
,模拟不同阻值的大功率电阻,但始终无法消除波纹给检测结果带来的影响,经过几年的探索研究,研制了有源大功率直流电阻器,用其做为标准器进行检定直流电阻,接线简便,同时能够消除大电流引起的发热和波纹影响,使
2021-07-16 14:01:37
请教各位怎么样将单直流电源变成双直流电源,比如将+24V的直流电变成±12V的直流电
2014-10-15 21:29:10
大家谁有大功率直流电路这方面的资料啊,相关电路图最好啊 ,输出电压时直流270V,输出功率是40千-60千,谢谢啊,本人qq909962004
2010-05-24 16:21:35
单片机根据系统按键设定值控制24V直流电机移动相应的位置;直流电机功率不小于500瓦,即直流电机的工作电流能达到20A左右,这种大功率直流电机选什么驱动芯片?有没有这么大的的?
2016-01-22 15:04:04
高频开关直流电源可以分为极性保护和程序保护、过电流保护、过电压保护、欠电压保护、过热保护。高频开关直流电源模块中所使用的大功率开关器件价格较贵,其控制电路亦比较复杂,另外,开关电源的负载一般都是用
2022-06-22 18:27:03
由于直流稳压电源的不断发展,目前的直流稳压电源被广泛用于国防,科研,大学,实验室,工矿企业,电解,电镀和充电设备的直流电源。但是,随着使用稳压直流电源使用范围增加,其种类也会增加,那么,稳压直流电源
2021-01-18 16:23:42
索伦森 SGA 60x250 ,Sorensen 可编程 大功率直流电源 SGA 60-250广州精讯科技有限公司--出售二手可编程直流电源SGA 60X250(可出租)品牌:索伦森Sorensen
2019-03-11 17:27:22
10KHz的PWM控制MOSFET驱动中功率直流电机,该直流电机额定工作电压为12V,最大功率250W,在调试过程中发现,在电源输入端已加TVS管、电感、电容滤波等处理下,电源纹波仍然极大,原因应该是直流电机通断瞬间对电源产生了影响!不知道大家可有较好的办法?
2019-09-20 04:18:57
大功率DCDC, 大功率双向DCDC, 大功率直流电源, 大功率直流变换器应用场合:1、电机类:电动车电机、电动车控制器、直流马达测试老化等2、电具类:LED测试及老化
2022-04-01 14:41:08
直流电源威廉希尔官方网站
要求:大功率直流电源,基于12脉精密相控整流威廉希尔官方网站
。--------------------------------------------------------------------------------------------------- 1 威廉希尔官方网站
参数●输出容量:&n
2009-11-01 00:07:45
28 WWL-LSX精密线性大功率直流稳压稳流电源使用说明
2010-06-03 11:24:15
22 WWWL-SS可控硅超大功率直流稳压稳流电源使用说明书
2010-06-04 08:07:38
41 用这种可靠的大功率直流电源,把您测试的停机时间减到最小低纹波和噪声快速的上编程和下编程高精度的电流编程和读回工业标准SCPI程序命令模拟编程模拟监视
2010-06-27 21:58:09
6 【名称】 单相桥式半控电镀直流电源的单片机恒流装置 【公开(公告)号】 CN1671034
2011-07-11 09:34:17
1008 大功率直流电机驱动电路图,是一种大功率直流电机的驱动电路.该电路能提供200A左右的峰值电流.
2017-06-30 17:12:26
6311 
一种大功率直流固态电子开关
摘要:介绍了一种
2009-07-09 11:00:47
4092 
基于高性能单片机的功率直流开关电源的设计
1 引言
直流稳压电源已广泛地应用于许多工业领域中。在工业生产中(如电焊、电镀或直流电机的调速等),
2009-11-11 10:21:37
945 
本文论述了一种基于51单片机的 数控直流电源 的设计原理和实现方法,该方法具有电压可预置、输出的电压信号和电流信号可同时显示功能
2011-08-16 17:40:36
657 以N 沟道增强型场效应管为核心,基于H 桥 PWM 控制原理,利用光电隔离器设计了一种大功率直流电机驱动控制电路,该电路能够很好地满足直流电机正反转控制和调速的需要。实验表明该驱
2011-08-17 17:08:07
388 介绍一种基于AVR单片机(Atmegal28)实现的直流电源监控系统的设计方案及其软、硬件设计思路。该监控系统能检测直流电源系统的各种实时运行数据及状态,自动监测各种故障并发出声光
2012-02-14 15:02:44
53 设计制作了一款基于LT1083/LT1033 系列大功率低压差三端稳压芯片的高稳定度低纹波直流电源,介绍了降压、整流滤波、线性稳压、LC 低通滤波等主要构成模块。测试结果表明,本电源具有
2012-02-19 12:47:28
6639 
2015年4月,深圳费思科技推出了重磅产品:高性能的大功率可编程直流电源FTH系列。该电源具有目前国际上最先进的威廉希尔官方网站
水平和威廉希尔官方网站
指标,是国产测试测控电源领域的重大突破。
2015-04-08 16:51:37
1627 2016年6月,艾德克斯电子为广大工程师带来了本年度的第三个新品系列——IT6000大功率直流电源。超高功率密度,3U的体积内最大可输出功率达15KW,尤其适用于工作台和自动测试系统,让工程师在实际使用中更加简易有效。
2016-07-14 17:16:47
1973 AT89S52单片机数控直流电源原理图程序
2022-05-11 16:54:39
0 进口IGBT模块功率器件及全桥变换技尸具体高效能、高精度、高稳定性、小体积等特性,优化于线性电源和硅整流电源的高效率,产品可长时间运行可靠,过载能力强。别名:可调开关电源,可调直流稳压电源,大功率直流稳压电源,直流可调稳压电源,直流电源供应器,大功率直流电源。
2017-11-18 12:20:21
5137 引言 在大功率直流电源中,主电路一般采用晶闸管三相全控桥式整流电路,其关键在于如何准确、可靠、稳定地控制晶闸管的导通角。 目前,大功率直流电源现场应用中最为普遍的控制方式大都采用KC或KJ系列
2017-12-04 08:55:48
2278 随着电力电子威廉希尔官方网站
的发展,很多场合需要大功率大电流的直流电源。EAST的磁约束核聚变装置使用的直流快控电源即是一种大功率直流电源,其威廉希尔官方网站
要求为:电压响应时间1ms峰值电压50V;最大电流20kA
2017-12-06 13:59:52
6 机得到了广泛的应用。
许多半导体公司推出了直流电机专用驱动芯片, 但这些芯片多数只适合小功率直流电机, 对于大功率直流电机的驱动, 其集成芯片价格昂贵。 基于此, 本文详细分析和探讨了较大功率直流电
2018-06-11 05:31:00
23362 
本人最近一直想用51单片机来设计制作一个“大功率直流有刷电机PWM调速控制器”。由于平时工作忙,没时间。所以,这个东东花了我很长时间。
2018-02-07 16:51:19
13447 当前大功率直流电源普遍采用直流链接威廉希尔官方网站
和无源功率因数校正方案,电网侧电流谐波较大、功率因数较低且尺寸较大。基于高频交流链接( HF AC link)威廉希尔官方网站
的变换器具有优异的电网侧性能,且不需要大容量
2018-03-28 15:21:58
1 一种基于AVR单片机的直流电源监控系统参考文献资料
2018-05-07 16:12:44
10 本文主要介绍了基于单片机的小功率直流电机调速设计。
2018-06-25 08:00:00
34 大功率无刷直流电机主要应用在智能家厨、工业设备、医疗设备等领域。其中家电设备的应用最为广泛,主要应用的产品是料理机、破壁机,此款无刷直流电机是含控制器一体化的产品,可根据性能和应用要求设计电机和控制器
2019-04-28 20:19:03
3643 介绍了一种已投运的大功率直流电源的数字控制系统,它用多台单片机完成晶闸管整流系统的控制,详细介绍了控制系统的性能、特点以及各控制环节的工作过程。
2019-04-02 15:16:04
8 垃圾处理器电机中如何选择适合的电机这才是关键,垃圾处理器的暴增很大一定程度上跟电机有关,下面我们来介绍为什么选择大功率直流电机。1. 从转速选择,大功率直流电机空转转速较高2000-4000rpm/min
2019-07-30 18:41:45
3810 直流电源是一种常用的电源类型,它是一种能量转换装置,它把其他形式的能量转换为电能供给电路,以维持电流的稳恒流动。现代很多电子产品也是采用了直流电源,直流电源的特性倍受人们关注,那么目前市场上直流电源品牌有哪些呢?
2020-08-19 15:24:56
24062 003-BTS7960大功率直流电机驱动产品使用手册(电源滤波电容能否使用钽电容)-BTS7960大功率直流电机驱动产品使用手册
2021-07-26 13:34:01
15 002-BTS7960大功率直流电机驱动DXP资料(开关电源降压电路原理图)-BTS7960大功率直流电机驱动DXP资料
2021-07-26 13:37:31
30 BTS7960大功率直流电机驱动板ALTIUM设计硬件原理图+PCB文件 2层板设计 大小为66 7(电脑电源线烧了为什么)-BTS7960大功率直流电机驱动板ALTIUM设计硬件原理图+PCB文件
2021-07-26 14:24:39
53 直流电源基础(电源威廉希尔官方网站
期刊版面费多少)-直流电源基础,有需要的可以参考一下!
2021-09-16 09:21:07
60 恒流直流电源设计(开关电源威廉希尔官方网站
支持)-电子设计集训题目,恒流直流电源设计。包括原理图与PCB板
2021-09-22 17:54:03
75 AT89S52单片机数控直流电源原理图程序资料下载
2021-11-05 09:45:10
24 什么是大功率可编程直流电源?大功率直流电源的正极电势大,负极电势小。当两个电极连接到电路时,它们可以保持两个电极之间的电位差恒定,从而在外部电路中形成正负电流。一个稳定的水流不能仅仅靠水位差来维持
2021-11-07 17:21:04
12 基于51单片机数控直流电源设计LCD1602液晶仿真DIY电子
2021-11-13 10:36:02
23 在我们的日常生活中,交流用的比较多,而在一些科研机构、实验室和电子生产线中,经常使用直流,因为这些领域要求电路中的电流比较稳定,所以直流电源,特别是大功率直流电源,应用广泛。 PinTech品致高压直流电源
2021-11-16 11:20:49
1131 什么是大功率直流电源?大功率直流电源是各种电子设备都不可缺少的设备,其功能会影响整体产品的使用效果,通常在选择不同功率的电源会根据产品的性能以及要求,大功率直流电源能够很好的为大功率设备供电
2022-01-07 11:48:35
2 在我们的日常生活中,交流用的比较多,而在一些科研机构、实验室和电子生产线中,经常使用直流,因为这些领域要求电路中的电流比较稳定,所以直流电源,特别是大功率直流电源,应用广泛。PinTech品致高压直流电源
2022-01-07 15:27:30
6 想要拥有安全性、可靠性以及使用时效性长久的电池,就需要对电池进行“360°”的测试,因此,测试仪器必须稳定可靠,功能强大。为了满足电池充放测试需求,博宇讯铭推荐全天SP-3U/6U系列大功率可编程直流电源及EL系列电子负载测量仪器,能够轻松解决电池充放测试难题。
2022-03-17 10:14:43
854 
FTP9000系列宽范围大功率可编程直流电源电压范围从80V~2250V,单机电流可达6120A,单机最大功率为180kW。
2022-06-15 15:20:36
1916 IT6522C/IT6522D宽范围大功率直流电源 IT6500系列宽范围大功率直流电源提供给用户非常宽广的选择范围,全系列包含从800W到6kW,以及高达1000V、240A的输出范围,同时拥有
2022-10-17 18:39:25
843 
IT6522C/IT6522D宽范围大功率直流电源 IT6500系列宽范围大功率直流电源提供给用户非常宽广的选择范围,全系列包含从800W到6kW,以及高达1000V、240A的输出范围,同时拥有
2022-10-17 18:40:45
1212 
使得大功率直流电源(也称为高频可调电源)的尺寸得以缩小。可调式直流稳压电源具有全面的电压保护,过压和漏电点可以连续调整和预测,输出电压可以通过接触开关控制。
2022-10-25 17:11:32
1198 大功率直流稳压电源采用高频开关电源威廉希尔官方网站
,大幅度减少发热量,同时降低机器损耗,提升电源效率,延长机器使用寿命。变压器铜线采用紫铜材质,减少铜线发热损耗。散热器采用定制高密齿散热器,提高散热效率,使用寿命,其他元器件均采用国内外优质元器件,使电源整体性能得到大幅度提升。
2023-01-09 15:37:26
714 
ITECH,IT6523D宽范围大功率可编程直流电源200V/60A/3KW ,17802099856
2023-01-30 14:18:08
400 
高压直流电源和特种直流电源都有一个相同点,就是他们的电压都很高,不同的地方也有很多,高压直流电源作为普通电源,特种电源的很多作用是高压直流电源不可替代的,今天我们主要了解一下普通高压直流电源和特种电源之间区别。
2023-03-09 11:15:10
1256 
多 台运 行 的大 功 率 直 流 电源 的输 出性能, 而 采用 数字控 制能大大提高 电源可靠性、 一致性、 精确性。 因此, 数字控制威廉希尔官方网站
也就脱颖而 出, 成为大功率直 流 电源 的最佳选择。
2023-05-23 15:49:26
2 什么是大功率直流电源?大功率直流电源是各种电子设备都不可缺少的设备,其功能会影响整体产品的使用效果,通常在选择不同功率的电源会根据产品的性能以及要求,大功率直流电源能够很好的为大功率设备供电。大功率直流电源
2021-03-27 17:22:56
1468 
交流电源是我们能够经常使用的,但是在某些专业领域,例如机械制造,实验室,电力,军工等其他高科技领域,交流电源的间断性供电是不能使用的,这时候就会用稳定的直流电源进行替代,一般就是使用大功率高频
2021-04-02 15:09:26
897 
大功率直流电源(http://www.jethley.com/product/productgoods/id/31.html)的威廉希尔官方网站
指标分为两类:特性指标,包括输入、输出电压、输出电流和输出电压
2022-09-29 16:10:42
975 
直流电源的种类很多,根据其使用场景、输出功率和功能等不同,可以将其大致分类如下: 线性稳压电源:通过线性电路对输入直流电进行稳压、降噪等处理,能够输出高稳定性,低噪声的直流电源。这种电源具有调整范围
2023-09-05 16:33:17
2115 大功率直流电子负载是一种广泛应用于电源、电池、太阳能、电动车等领域的测试设备。
2023-11-07 16:31:02
552 交直流电源功率表的原理和使用情况 交直流电源功率表是一种用于测量电源输出功率的仪器。它可以测量交流电源和直流电源的功率,以了解电源输出能力。功率表通过测量电流和电压来计算功率。本文将详细介绍交直流电源
2023-11-09 16:59:02
490 电子发烧友网站提供《多单片机直流电源控制板的设计.pdf》资料免费下载
2023-11-10 15:41:16
0 大功率直流电流的正电位电极高,负电位电极低,因此电路两端保持恒定的电位差。当两个电极都连接到电路中时,外部电路中就会产生一个由正到负的电流。
2023-11-10 10:22:40
222 电子发烧友网站提供《以单片机为核心的智能化高精度直流电源设计.pdf》资料免费下载
2023-11-13 10:47:15
0 可以在许多应用领域中发挥重要作用,包括太阳能电力系统、电动汽车充电设备、工业自动化系统以及实验室设备等等。 双向直流电源的工作原理基于功率电子器件的控制和调节。主要有两个关键组件:一个是组成电源的直流电能存储装置
2023-11-16 11:06:34
1172 等。高频高压直流电源的工作原理主要包括以下几个方面:输入电压整流、功率变换、滤波和输出电压调节。 高频高压直流电源通常需要输入交流电,所以首先需要对输入的交流电进行整流。整流器是将交流电转换为直流电的装置。
2023-11-16 14:39:30
473 大功率直流负载箱放电负载选型 大功率直流负载箱是现代电子产品测试和研发领域中常用的一种设备,它可以模拟各种实际工作情况下的高功率负载,以验证设备的性能和可靠性。在选择大功率直流负载箱时,需要考虑
2023-11-17 11:21:49
279 大功率直流电源是什么?如何对其选择? 大功率直流电源是一种能够提供大功率直流电能的设备。它主要由输入开关电源、整流电路、滤波电路、稳压电路和输出电源组成。大功率直流电源广泛应用于工业生产、科学研发
2023-11-17 11:22:08
668 艾德克斯用其创新力量重新定义了“高功率密度”的概念,推出了引领行业的IT-M3900系列大功率直流电源。想象一下,在仅仅1U机框的空间里,可以实现高达6kW的强大输出,而在2U机框内,更是达到了较高的功率范围12kW!就像魔术一样,我们在有限的空间里创造了无限的可能。
2023-12-11 17:11:03
752 大功率直流稳压电源原理 直流稳压电源是一种输出固定直流电压的电源设备,能够在负载变化和输入电压波动的情况下,保持输出电压的稳定性。大功率直流稳压电源主要是为一些需要大电流供电且要求电压稳定性较高
2024-01-23 14:48:15
334 大功率直流电源的输出是不恒定的。如直流电源在恒压状态下工作时,由于输入电压的变化或负载的变化,其输出电压会引起输出电压的轻微变化。当直流电源处于恒流工作状态时,由于输入电压的变化或负载的变化,输出
2024-02-01 17:25:22
185 
评论