并联电容补偿装置的过负荷保护。差电压保护:主要用于保护电容器于电抗器连接点和电抗器绕组对地的短路故障。谐波过电流保护:主要用于谐波过流跳闸。过电压保护:电压过高使电容器的功耗和发热增加,影响电容器
2018-03-12 11:36:50
电容降压式电源中电容器的选择在常用的低压电源中,用电容器降压(实际是电容限流)与用变压器相比,电容降压的电源体积小、经济、可靠、效率高,缺点是不如变压器变压的电源安全。通过电容器把交流电引入负载中
2009-02-10 12:21:48
二极管整流出来的电压Ui是脉动指流年,其中既有直流成分,也有交流成分,由于输出端接有滤波电容器C,交流成分被C旁路到地,输出电压U0就是较纯净的直流电压了。(3) 移相。 由于通过电容器的电流大小取决于
2017-03-29 22:19:23
电容器频繁投切产生过电压将会有什么危害为了将功率因数控制在较高水平,有些输油泵站安装了无功自动补偿装置,高压输油电机无功经常性波动引起了电容器频繁投切。电容器投入电网时形成振荡回路,产生过电压和过电
2017-12-21 14:59:20
过电压是指电路中因瞬间发生的电压超过额定工作电压而引起的短暂电压骤升,可能损坏设备或者影响其正常工作。为了保护设备不受到过电压的伤害,需要进行过电压防护。 过电压防护主要是针对那些对电压变动敏感
2024-01-18 15:49:37
概述西安凯跃电子科技有限公司高电压并联电容器主要用于工频(50Hz或60Hz)1kV及以上的交流电力系统中,提高功率因数,改善电网质量。■ 威廉希尔官方网站
性能及要求1、电容偏差:-5%~+10%,三相中在任
2012-08-13 10:38:41
%。 4、氧化锌避雷器并接在电容器组线路上,以限制投切电容器组所引起的操作过电压。 放电线圈并接于电容器的两端,当电容器组断开电源时,能将电容器两端残余电压在5秒内的电压峰值降至0.1倍额定电压或
2018-02-28 15:46:55
请问各位大神高压脉冲电源中的电容选型应考虑那些问题,容值、耐压值这些我都知道,想知道是否要考虑du/dt这些参数,我的负载电容电压要在1.5us之内从零上升到10KV以上,想知道有没有这样的电容,求各位大神解释或者推荐合适的电容器。
2015-03-16 15:37:56
高压陶瓷电容器的脚距或螺距多少合适呢?要知道,在高压状态,空气也是导电的! 按照国家电网标准的要求,10KVAC的电压,空气间距是125MM.也就是说,在这个距离以内,电容器的两个极间将会产生
2015-04-24 11:49:33
其因承受过高雷电过电压而击穿。当高频振荡的操作过电压侵入时,则按虚线路径,经阻容回路Ⅰ流通,限幅降频;同时减少避雷回路的动作次数,保护阀片,延长产品寿命。 阻容回路采用具有自愈功能的干式高压电容器
2014-02-11 13:53:36
。 5.小容量UPS的电源过电压防护方案 过电压防护措施的效果和成本与其器件和方案的选择有着重要的关系。选择较低动作电压和较大通流容量的SPD器件可以降低其残压,但动作电压太低会由于电源的不稳造成
2011-04-14 09:59:46
时,可用合适的避雷器来进行大气过电压保护。 ④在高压网络中,短路电流超过20A时,并且短路电流的保护装置或熔丝不能可靠地保护对地短路时,则应采用单相短路保护装置。 (3)正确选择电容器组的保护方式
2018-03-17 21:25:05
的并联谐振或串联谐振及谐波的成倍放大,使并联电容补偿装置中的电容器和串联电抗器产生谐波过电流、过电压和过负荷,致使电容器异常发热,并使电容器的局部放电性能下降,加速绝缘介质的老化,经过一段时间的积累
2020-12-14 17:00:37
造成注入谐波的并联谐振或串联谐振及谐波的成倍放大,使并联电容补偿装置中的电容器和串联电抗器产生谐波过电流、过电压和过负荷,致使电容器异常发热,并使电容器的局部放电性能下降,加速绝缘介质的老化,经过
2022-06-27 09:15:04
电源电容器组可以在断开输入电压的短时间(假设50ms)内进行补偿。此设置中的电容器(输入和电源输出之间)是否先开始充电,然后保持充电状态直到输入电源断开呢?之后,电容器会在输出负载处释放能量。如果输出负载是放电电容器,为什么需要与电容器组并联的电阻?
2018-09-27 15:21:25
理?快来今天的文章中了解一下吧! 电容器过电流的原因 电力补偿电容器出现过电流的原因一般有两个:过电压运行引发的过电流;高次谐波引发的过电流。 1. 过电压运行引发过电流 由于电容器的无功功率
2023-03-09 17:09:37
电解电容器与上述三种电容器相比,额定电压低,通常的上限只有数十伏。电容用于电源线等场合时,不仅会被加载一定的电压,还可能由于某些原因而一时被加载高压。比如,因电路的寄生电感成分而产生的过冲和尖峰等脉冲状电压,这些电压被称为电容器异常电压。
2011-11-17 14:30:34
电容器放电一分钟后,两端的残余电压不大于65伏; 5.保护电容器的熔断器,其熔体的额定电流不超过电容器额定电流的130%;6.高压电容器和总容量在30千乏及以上的低压电容器组,应每相加装电压、电流表
2017-09-25 09:19:38
补偿、分散补偿、就地补偿三种。无论采用那种补偿方式,都要面临补偿电容器补偿过程中因过电压而影响补偿效果的现象。那么,了解补偿电容器过电压的原因势在必行,在分析电容器过电压原因之前,先来了解下电容器耐压水
2019-12-10 10:39:44
回路滤波电容器寿命有直接影响,严重时会引起电容器爆裂。因而变频器厂家一般将中间直流回路过电压值限定在DC800V左右,一旦其电压超过限定值,变频器将按限定要求跳闸保护。三 、产生变频器过电压的原因3.1
2014-05-09 09:34:55
冲击过电压、雷电引起的过电压、补偿电容在合闸或断开时形成的过电压可能发生的情况下,可以采用在输入侧并联浪涌吸收装置或串联电抗器等方法加以解决。 2)从变频器已设定的参数中寻找解决办法,在工艺流程中如不
2019-08-08 16:44:50
通过考试。1、【判断题】电力系统过电压分成两大类:外部过电压和内部过电压。(?)(√)2、【判断题】 外部过电压是指外部原因造成的过电压,它与气象条件有关,因此又称大气过电压。(√)3、【判断题】 感抗XL与线圈的电感L和交流电频率f成反比。(×)4、【判断题】 线路维护...
2021-09-16 07:31:23
电容器极易发生击穿现象,使整个电路无法正常工作。电容器的额定电压一般是指直流电压,若要用于交流电路,应根据电容器的特性及规格选用;若要用于脉动电路,则应按交、直流分量总和不得超过电容器的额定电压来选用
2009-02-10 14:57:01
通公众号结合国家电工(高级)考试最新大纲及电工(高级)考试真题出具,有助于电工(高级)作业模拟考试考前练习。1、【判断题】变电所拉合开关的单一操作中可以不用操作票。(√)2、【判断题】为防止并联电容器过负荷,应装设过负荷保护装置。(×)3、【判断题】阀型避雷器的工频放电试验,试验电...
2021-09-02 07:32:14
效地保护母线、真空开关、电动机、发电机、电容器组等电力设备的绝缘不受损害,对相间和相地的过电压均起到可靠的限制作用。从原理上讲1台三相组合式过电压保护器可起到6台普通避雷器的作用。义安矿业部分变电站高压
2018-09-03 11:28:04
停电、电容性设备的充放电、电动机的启停、开关电源的启停、焊接设备、其他加工设备的原因等。二、浪涌过电压的危害1、电子设备损坏:增加维修和更换成本;2、会出现故障;(1)设备会出现临时停机;(2)设备
2019-11-08 16:07:56
因过电压引起的局部电击穿能在瞬间自动恢复到原来的完好状态,使产品的抗过电压能力和工作可靠性大为提升。内装防爆安全装置在电容器发生故障时,能自动切断电源防止发生爆炸起火,使运行绝对安全可靠。内装放电电阻
2020-11-06 15:31:27
电容器则会导致触电事故,严重时可能会危害生命。 二、放电装置的作用 1. 保证电力电容器完全放电,避免电容残留电荷危害人体安全。 2. 可以有效避免电力电容器再次投运时出现过电压的情况,防止合闸
2023-03-14 17:16:22
出现内、外过电压和系统谐振的情况下导致绝缘击穿,表面放电,造成瓷瓶套管闪络破损。 (3)值班人员未能及时发现故障隐患 如未能及时发现处理电容器瓷套管及外壳渗漏油,导致套管内部受潮、绝缘电阻降低造成击穿
2017-12-21 14:47:03
的监测威廉希尔官方网站
不能发现内部发生局部放电等。(2)保养不到位如电容器温度过高,未采取降温措施,致使绝缘油产生大量的气体使得箱壁变形鼓肚;未定期清洁设备卫生,瓷瓶表面污秽严重,在电网出现内、外过电压和系统谐振
2009-09-04 13:55:33
; b.电容器内部故障及其引出线短路; c.电容器组中,某一故障电容器切除后所引起的过电压; d.电容器组的单相接地故障; e.电容器组过电压; f.所联接的母线失压。 2 对电容器组和断路器之间连接线
2018-03-22 14:35:15
电阻器失效模式与机理压力释放装置动作瞬时过电压的产生电解液干涸是铝电解电容器失效的最主要原因电解液干涸的时间就是铝电解电容器的寿命影响铝电解电容器寿命的参数与应用条件半导体器件失效分析
2021-02-24 09:21:41
一些事故,如补偿装置投不上、电容器使用寿命降低、电容器保护熔丝熔断,甚至发生串并联谐振,引发电容器的谐波过电压与过电流,导致电容器爆炸等。另外用户电容器的管理目前仍按平均功率因数进行考核,电容器很少按
2009-10-22 16:49:04
时,设计工程师需要考虑单元之间的平衡和充电情况。任何超级电容器都会在通电的情况下,通过内部并联电阻放电,这个放电电流就称为漏电流,它会影响超级电容器单元的自放电。同某些二级电池威廉希尔官方网站
相似,超级电容器的电压
2022-04-09 16:27:59
由电容器“发出”的无功电力供给,这就是并联补偿。并联补偿减少了线路能量损耗,可改善电压质量,进步功率因数,进步系统供电能力。假如把电容器串联在线路上,补偿线路电抗,改变线路参数,这就是串联补偿。串联
2018-03-22 14:56:58
抗老化,体积小重量轻,耐碰撞,便于安装和维护。避雷器是一种过电压保护器,主要用于保护电力系统、铁道电气化系统、通讯系统中的各种电气设备(变压器、开关、电容器、阻波器、互感器、发电机、电动力、电力电缆等
2019-08-29 17:55:19
电工考试最新大纲及高压电工考试真题汇总,有助于高压电工模拟考试软件考前练习。1、【判断题】 电源中性点经消弧线圈接地方式,其目的是减小接地电流。(√)2、【判断题】 在过电压作用过去后,阀型避雷器中流过雷电流。(×)3、【判断题】 验电前后应在有电的设备上或线路上进行试验,以检验所...
2021-09-16 09:00:28
”的基本性能。但是有时候电力电容器也是容易被损坏的 一般原因有如下几种电容器损坏的主要原因是重燃过电压和熔断器质量不佳。鉴于此因,建议采取以下威廉希尔官方网站
措施。采用单台熔丝保护。它是防止油箱爆炸的有效措施。试验表明
2018-04-10 15:34:50
TBB 型高压并联电容器装置(以下简称装置),主要用于 3 ∽ 110kv , 50Hz 的三相交流电力系统中,用以提高功率因数,调整网络电压,降低线损耗,改善供电质量,提高供配电设备的
2009-03-04 16:10:28
25 TBB型高压并联电容器装置使用说明
2009-11-14 15:13:56
17 并联电容器设计应注意的问题摘要介绍了采用并联电容器进行无功补偿的三种方式推荐采用就地补偿袁降低线路损耗袁最大程度节约能源遥介绍了电容器的接线方式6k
2009-11-16 17:07:43
16 高电压并联电容器高电压并联电容器用于工频(50Hz或60Hz)1kV 及以上交流电力系统中,提高功率因数,改善电网质量。高电压并联电容器主要由芯子和箱壳组成,其
2009-11-17 14:10:20
20 集合式高压并联电容器订货威廉希尔官方网站
条件定容量集 合 式 电容器额定容量Q(kavr)的优先值如下单相三相5001000 :::; 33341800 ::; 5000注 :根 据 用 户 特殊情况
2009-11-17 14:53:38
13 如何计算电容器的并联和串联电路?在电气工程中,当使用一个电容器不能满足电路要求时,可以把几个电容器串联或并联起来,以获得所需的电容。
2008-10-04 15:20:36
9272 
通信系统过电压产生的原因与防护
摘要:叙述在通信系统中过电压产生的原因、雷电的形成、防护的措施以及各种防护器件。
关键词:过电压雷电防护器
2009-07-11 08:30:07
904 
高压并联电容器再投入的最小时间间隔
2009-11-26 10:23:45
2206 高压并联电容器的过电压及防护威廉希尔官方网站
电网中装设高压并联电容器以改善功率因数,维持运行电压,提高输变电设备输送容量和降低线路损耗。但如
2009-12-07 10:13:55
1692 |电容器故障的预防措施
随着农村电气建设事业的不断发展,静止并联电容器在农村供电网络中使用也越来越多。怎样降低电容器
2009-12-07 10:26:33
793 并联电容器组配套装置及应用威廉希尔官方网站
摘 要:阐述高压并联电容器组的配套装置断路器、串联电抗器、放电装置、氧化锌避雷器及熔
2009-12-07 10:29:43
1455 并联电容器的故障判断及处理技巧
1、并联电容器的故障判断及原因分析(1)渗漏油。并联电容器渗漏油是一种常见的现象,主要
2009-12-07 10:36:13
777 并联电容器过电压和过电流的判断条件分析
1 前言
并联电容器是电力系统的重要无功电源,具有成本低、便于维护和运行、经济效益好等特点。电容
2009-12-07 10:43:34
2905 本文结合实际,针对UPS应用当中的过电压防护需求,提出适当的解决方案。
1.过电压防护概念的变化
当远处发生雷击时,雷电浪涌通过电网或通讯
2010-08-31 10:16:56
681 电容器过电压阻尼装置参数的设计研究_吴细秀
2017-01-04 17:05:57
9 并联电力电容器组常用基本接线为星形.还有由星形派生出的双星形接线。每个星称为一个臂,两个臂的电容器规格、电容值及数量相等,其接线如图9-5和图9-6所示。单台并联电容器的额定电压不能满足电网正常工作
2017-11-13 14:21:20
44674 
,在电容器的端子上就会出现数倍操作过电压。在如此高的操作过电压的作用下,薄膜电容器的内部就会发生强烈的局部放电和介质损伤,甚至导致电容器击穿。因而用于投切电容器的断路器的质量与电容器的实际使用寿命是紧密相关的。
2018-06-19 10:12:50
3967 切断并联电容器组时,可能引起电感一电容回路的振荡过程。从而产生操作过电压,切断过程中,如果断路器发生电弧重燃,将引起强烈的电磁振荡,出现更高的过电压值。这一过电压的幅值,与被切电容和母线侧电容的大小有关,也与电弧重燃时触头间的电位差有关。
2018-08-08 15:34:37
2977 本文阐述了软启动器在运行过程中产生的过电压对晶闸管的影响,分析了产生过电压的原因,并提出了几种解决过电压的保护措施。
2018-10-06 16:58:00
6129 
,这些过电压都是工频过电压,也就是其电压波形的频率还是维持50HZ没变。
避雷器是保护雷电过电压的,这种过电压波形前端很陡,频率很高,但后续电流很小,避雷器可以将雷电波的峰值泄放从而保证其后面的电器安全。
2018-10-06 09:30:00
15440 并联电容器,shunt capacitor,原称移相电容器。主要用于补偿电力系统感性负荷的无功功率,以提高功率因数,改善电压质量,降低线路损耗。单相并联电容器主要由心子、外壳和出线结构等几部分组成。本视频主要详细介绍了并联电容器的优点。
2018-12-08 10:17:41
13053 当两个端子连接到另一个电容器的每个端子时,电容器并联连接在一起。连接所有电容器的电压( Vc )并联连接相同。然后,并联的电容器在它们之间有一个“公共电压”电源。
2019-06-23 11:03:30
26406 
在电路设备中我们能经常听到并联电容器和串联电容器,并联和串联之间有哪些区别呢?
2019-06-19 14:05:15
69282 在电力电容器的运行中,应注意以下问题:工作电压下的电力电容器对电压非常敏感,因为电容器的损耗与电压的平方成正比,过电压会导致电容器发热严重,加速老化。
2019-07-22 16:49:35
6981 过电压保护器的作用相当于避雷器,但与传统的避雷器不同,避雷器只能是相地保护,而过电压保护器即可以相地保护也可以相间保护。
2019-08-13 14:38:05
12442 双电层电容器与铝电解电容器相比内阻较大,因此,可在无负载电阻情况下直接充电,如果出现过电压充电的情况,双电层电容器将会开路而不致损坏器件,这一特点与铝电解电容器的过电压击穿不同。
2020-01-15 10:58:03
4889 高压电容器是指出线瓷套管、电容元件组和外壳等组成的一类电容器。高压电容器具有耗损低、质量轻的特点。
2020-08-17 17:28:46
21573 高压电容器是什么 高压电容器是指出线瓷套管、电容元件组和外壳等组成的一类电容器。高压电容器具有耗损低、质量轻的特点。 高压电容器主要由出线瓷套管、电容元件组和外壳等组成。外壳由薄钢板密封焊接而成
2021-01-28 14:25:47
3643 的作用下,会加速电容器绝缘的老化 2.操作过电压引起电容器的损坏, 切断并联电容器组时,可能引起电感一电容回路的振荡过程。从而产生操作过电压,切断过程中,如果断路器发生电弧重燃,将引起强烈的电磁振荡,出现更高的过电压值。
2021-01-28 13:51:06
922 当电网中的谐波电流流入电容器,就会叠加在高压电容器的基波电流上,使其运行电流增大,同时也会使高压电容器基波电压上的峰电压有效值增大。如果电容器容抗与系统感抗相匹配,会对高次谐波产生放大作用而产生过电流和过电压,引起电容器内部绝缘介质局部放电,使电容器产生鼓肚、熔丝群爆等故障。
2021-03-16 14:57:01
2554 带负荷产生过电压而损坏。另外,当变电所失去电压恢复时不拆除电容器,可能会产生谐振过电压,使变压器或电容器损坏。因此,电容器应设置失压保护装置,保证电容器在所接母线失压后可靠动作,又可在母线电压恢复正常后可靠接
2021-04-13 14:57:50
645 AN88-陶瓷输入电容器可能导致过电压瞬变
2021-04-14 19:35:11
20 保定众邦主要生产避雷器、过电压保护器等中性点产品和防雷产品。随着我国电力事业的发展和真空开关柜的日益广泛使用,其强大的分段能力导致各种操作过电压,这对其他电力设备的保护提出来新的课题。由于我国中压电
2021-04-20 17:17:38
1153 问题?当然有问题,而且问题大着呢! 当以30KV高压电容器为例:额定电压30KV,实际工作电压是多少,要看应用环境。如果是在变压器油里(或者SF6气体,环氧包封等绝缘措施到位的环境中)应用30KV,引线型电容器实际工作电压建议在10KV左右。也就是三分之一
2021-06-16 01:35:12
1205 带负荷产生过电压而损坏。另外,当变电所失去电压恢复时不拆除电容器,可能会产生谐振过电压,使变压器或电容器损坏。因此,电容器应设置失压保护装置,保证电容器在所接母线失压后可靠动作,又可在母线电压恢复正常后可靠接
2021-06-16 01:37:39
834 接上文,变频器过电压产生的原因主要是电源过电压和再生过电压。那么防止变频器过电压的措施有哪些?涉及到具体的解决方法又有哪些?
2022-03-24 09:01:11
1143 不同电力电容器厂家生产的低压并联电容器,其保护措施也有不同。常见的电力电容器保护措施有过压力拉断、过电流保护,智能电容器的过温警告等等。
2022-04-18 15:14:09
3445 在电力系统中,受到分合闸、谐波等其他因素的影响,无功补偿电容器运行时会出现过电压现象。长期过电压运行,会对无功补偿电容器的使用寿命产生影响。那么究竟是哪些因素,导致无功补偿电容器运行时过电压呢?
2022-08-23 14:52:34
1410 电力电容器作为无功补偿的主要装置,其安全稳定运行是十分重要的。但是谐波会使电力电容器过电压、过电流运行,甚至造成电力电容器损坏。 电力谐波对电力电容器的影响,主要体现在绝缘介质、热效应和机械效应
2023-02-28 16:14:17
956 的影响。 谐波导致电容器过电流 当用电系统中存在谐波时,谐波会产生大量谐波电流。谐波电流会涌入并联电容器,使并联电容器处于过电流的状态下运行。假如并联电容器在满载情况下工作,再加上谐波电流后,可达到额定电压的1.3倍
2023-03-07 14:50:54
668 使用并联电容器进行无功补偿,可以提升功率因数、充分利用供电设备的容量、减少输电线路上的损失。不过在安装并联电容器时,需要保障其安装环境,避免并联电容器因为环境问题而出现故障。那么并联电容器对安装环境
2023-03-17 16:13:12
817 
哪些问题,成为了众多企业的烦恼。 额定电压的重要性 额定电压,是指电力电容器可连续运行的最高电压。如果企业选择的额定电压过低,电容器会过电压运行。电力电容器长期过电压运行,会增加电容器介质损耗、影响电容器使用寿命,甚至
2023-03-23 15:18:37
912 
并联电容器是重要的无功补偿元件,它的安全可靠运行对企业电网有重要意义。但是在并联电容器实际运行中,往往会因为电容器质量、系统设计、运行环境等因素出现故障。 库克库伯电气 将会在接下来的文章中介
2023-03-24 11:35:21
565 
将会在接下来的文章中,详细地为大家介绍。 注意电容器电压、电流等参数 如果并联电力电容器长期过电压、过电流运行,将会加速电容器介质损耗,影响电容器的使用寿命。另外过电流运行还会导致电容器过热,严重时可能会直接
2023-04-26 16:12:19
376 
由于大多数企业存在无功严重的情况,因此会使用并联电容器进行无功补偿。但是并联电容器进行无功补偿时,往往会因为各种因素出现故障,导致并联电容器、无功补偿装置和企业电网的安全受到影响。那么影响并联电容器安全运行的因素有哪些呢?小库会为大家详细介绍。
2023-05-23 14:30:12
359 电网中无功功率供不应求,会导致电压质量降低,影响设备的运行。而电力电容器,可以提高功率因数、补偿无功功率,对电网的意义重大。电容器的低电压保护和过电压保护,是为了确保电力电容器稳定运行,提高企业的经济效益。
2023-05-24 14:38:10
2290 当工业电网中存在大量非线性负荷时,会引起严重的谐波污染。而电网谐波的存在,会产生谐波电压和谐波电流,对并联电容器产生影响。在多数情况下,并联电容器会因为谐波电流的放大而产生过载。那么防止并联电容器因谐波过载有哪些措施呢?
2023-05-30 15:08:00
435 在工业企业的电网中,大量非线性负荷被应用。而非线性负荷运行时,会产生大量谐波注入电网,进而导致并联电容器、变压器等温升异常,甚至出现故障损坏。那么在谐波严重的用电场景中,我们应该如何选择并联电容器
2023-05-31 14:16:24
455 串联电容器和并联电容器的区别 电容器是电路中常用的一种电子元器件。它能在电路中存储电荷并释放电荷,实现对电路中电压和电流的调节。根据电容器的连接方式,可以将其分为串联电容器和并联电容器两种
2023-09-04 14:21:30
3944 电容器串联和并联特点 电容器是一种存储电荷的元件,在电路中被广泛地使用。电容器的串联和并联是电路中最常见的拓扑结构之一。在这篇文章中,我们将详细讨论电容器串联和并联的特点,以及它们在实际电路
2023-09-04 14:21:33
7083 并联电容器和串联电容器的作用 电容器是一种存储电荷的器件。它的工作原理是在两个电极之间建立电荷。电荷的大小取决于电极之间的电压和电容器的电容量。电容器是电子电路中最基本的组件之一,广泛用于滤波、耦合
2023-09-04 14:21:40
2352 一、补偿电容器的运行标准 1、电压 补偿电容器在正常电压下运行是发挥其无功补偿作用的重要条件。电容器组允许在1.1倍额定电压下长期运行。运行中,由于倒闸操作、电压调整、负荷变化等因素可能会引起过电压
2023-09-21 14:15:50
493 一、补偿电容器的运行标准 1.电压 补偿电容器在正常电压下运行是发挥其无功补偿作用的重要条件。电容器组允许在1.1倍额定电压下长期运行。运行中,由于倒闸操作、电压调整、负荷变化等因素可能会引起过电压
2023-10-12 10:53:41
472 为了防止过电压对变电设备的危害,变电站装有避雷器、避雷针、接地装置、避雷线、消弧线圈、放电间隙等过电压保护设备。本课件着重介绍避雷器、避雷针、接地装置相关知识。
2023-10-12 15:17:48
217 
在电力传输和电子制造中,电容起着至关重要的作用。然而,它也可能引发一些危机。当电容器内的电能被突然切除时,就会引起过电压问题,甚至引发电器烧毁、火灾等一系列不可挽回的后果。那么,切除电容为什么会引起过电压,并如何进行安全排除?
2023-11-02 11:16:25
431 
电容器并联这个问题,似乎并不难。但如果你手头的电容器电压各异,能否随意组合,一起发挥作用?
2023-12-18 14:12:25
487 
时应采取的应急处理措施。 首先,电容器爆炸的一个常见原因是过电压。当电容器受到超过其额定电压的电压应力时,它们无法承受这种过载并导致爆炸。过电压可能是由于电源供应的故障、过流、闪电等原因引起的。此外,操作错误、设
2023-12-20 17:05:43
1470 断路器断口并联电容器的作用是为了保护电路及相关设备免受过电压的损害。在电力系统中,经常会出现过电压现象,例如突发的电压波动、雷击、电网故障等原因都会造成电压超过额定值,对电路和设备造成损坏甚至灾难性
2024-02-21 16:24:52
311 在电力系统中,电容器是一种重要的电气设备,常用于提高功率因数、改善电网稳定性等方面。然而,电容器作为一种电压敏感的元件,对于电压波动非常敏感,特别是在短时间内的过电压情况下,可能引发严重的问题。为什么电力电容器不允许短时间内过电压运行?
2024-02-26 14:30:26
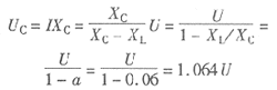
119 串联谐振为什么是过电压?并联谐振为什么是过电流? 串联谐振和并联谐振是电路中常见的谐振现象。在理解为什么串联谐振是过电压而并联谐振是过电流之前,我们先来了解一下什么是谐振。 谐振是指电路中电感和电容
2024-03-08 17:07:45
202
评论